Сбыт и энергосбытовая деятельность
ОглавлениеВведение 3
2. Сбыт тАУ один из элементов комплекса маркетинга 4
2.1. Цели, задачи и основные элементы политики распределения 4
2.1. Организация сбыта 8
2.3. Контроллинг в системе сбыта 14
3. Особенности сбыта продукции энергетики 22
3.1. Особенности энергетики и её продукции 22
3.2. Особенности сбыта в энергетике. Энергосбытовая деятельность 24
3.3. Проблемы энергосбытовой деятельности 28
Дебиторская задолженность. 29
Тарифы 29
Учет энергии. 31
Тенденции энергосбытовой деятельности. Выводы 31
Задачи в сфере энергосбытовой деятельности. 32
3.4. Тарифная политика. 35
Существующее разделение потребителей по группам: 37
4. Заключение 39
Список используемой литературы 43
1. ВведениеНаряду с товаром, продвижением и ценой каналы распределения продукции (маркетинговые каналы) тАУ один из основных элементов маркетинг-микс компании. Вызвано это тем, что для большинства рынков расстояние между изготовителями и конечными пользователями таково, что эффективное согласование спроса и предложения требует наличия сбытовой сети (т.е. маркетинговых посредников). Необходимость их существования обусловлена тем, что изготовитель неспособен принять на себя все обязанности и функции, вытекающие из требований обмена на рынке в соответствии с ожиданиями потенциальных и реальных потребителей.
Учитывая, что обращение к маркетинговым посредникам зачастую означает для фирмы потерю контроля над определенными элементами процесса коммерциализации и при этом прибыль и расходы на маркетинговые каналы составляют до 50-ти процентов цены, которую платит потребитель за продукцию компании, то становится понятным, что эффективное управление распределением продукции является решающим фактором прибыльности и конкурентоспособности фирмы в целом.
Маркетинг в электроэнергетике существенно отличается от маркетинга в других отраслях народного хозяйства, что связано с технологическими и экономическими особенностями электроэнергетики.
В проблеме сбыта энергии сконцентрировались в настоящее время определенные интересы государства, общества, энергетики в целом и отдельных ее предприятий. Переход от государственной плановой энергетики к рыночной, как и следовало ожидать, идет болезненно. В "одночасье отрасль изменила форму собственности, из государственной перешла к акционерной. На коллектив акционерные предприятий (АП) возложена ответственность за экономическую самостоятельность предприятии и акционерных объединений (АО) в энергетике. Революционный путь перехода к новым условиям недостаточно подкреплен механизмом хозяйственного функционирования, организационными решениями, методическими разработками.
В целом в энергосбытовой деятельности можно выделить следующие основные проблемы:
- преобладание неденежных расчетов
- отношения компаний электроэнергетики с потребителями далеки от принятых в мере стандартов
- неплатежи потребителей энергии
В связи с этим в курсовой работе будут рассмотрены следующие вопросы:
- сбыт в системе маркетинга, организация сбыта и сбыт-контроллинг;
- особенности продукции энергетики и особенности сбыта в энергетике;
- проблемы энергосбытовой деятельности, такие как установление тарифов, высокая дебиторская задолженность, низкий уровень учета потреблямой энергии;
- тенденции и задачи энергосбытовой деятельности;
- формирование тарифов.
Территориальная и временная разобщенность требует значительных дополнительных затрат на доставку до потребителя товаров и оказание услуг клиентам.
Совокупность стадий, действий и методов по определению, выбору и привлечению потребителей, выявлению рациональных путей и средств поставки товаров согласно условиям договора, обоснованию способов и видов складирования этих товаров представляет собой процесс распределения. С распределением связаны все решения, которые могут иметь место при организации потоков, сопровождающих движение товара от производителя до конечного потребителя и пользователя.
Политика распределения представляет собой курс действий предприятия по разработке и реализации комплекса маркетинга тАФ распределительного микса, входящих в него мероприятий по доведению продукта до конечного потребителя (рис. 1). Она нацелена на эффективное взаимодействие всех субъектов маркетинговой системы по обеспечению перемещения подготовленного для продажи конкретного товара определенного количества и качества, в конкретное время и установленное место.
В экономическом отношении достижение этой цели обеспечивает фирме получение запланированной прибыли и удовлетворение потребностей покупателей.
В качестве критериев принятия решений при осуществлении мероприятий распределительной политики могут применяться: величина товарооборота; доля рынка; расходы по сбыту; степень разветвленности сети распределения, что характеризуется уровнем сохраняемости продукта в процессе его распределения от производителя до конечного потребителя; имидж каналов сбыта, т. е. организаций, обеспечивающих распределение и сбыт товаров; уровень кооперации субъектов в системе распределения, обеспечивающий снижение конфликтности и коммерческого риска; гибкость и живучесть распределительной сети.
Распределительная сеть может включать следующих субъектов: распределительные органы фирмы-производителя; сбытовых посредников; сбытовых партнеров. В качестве сбытовых посредников, как правило, выступают оптовые и розничные предприятия, обладающие экономической и юридической самостоятельностью. Эти предприятия разрабатывают самостоятельную, независимую от фирмы-производителя распределительную политику и мероприятия по ее проведению. Тогда как органы фирмы-производителя, например отделы по продаже и реализации товара, не имеют такой самостоятельности.

- Распределительный комплекс маркетинга
Для характеристики договорных и коммуникативных связей субъектов распределительной сети используются такие понятия, как канал сбыта и путь сбыта.
Канал сбыта тАФ это совокупность организаций или отдельных лиц, которые принимают на себя или помогают передать другому субъекту право собственности на конкретные товар или услугу на их пути от производителя к потребителю.
Использование каналов сбыта производителем основывается на следующих предпосылках:
1) необходимость и возможность экономии финансовых средств при распределении продукции;
2) развитие производства за счет сэкономленных средств;
3) организация продажи товара более эффективным способом;
4) увеличение объемов реализации и более доступная продажа товара на целевых рынках.
Носители коммерческих коммуникаций, в качестве которых выступают организации или лица, составляющие канал, осуществляют следующие основные функции в системе распределения товара:
- маркетинговые исследования и сбор информации для стратегического и тактического планирования сбыта продукции и услуг;
- стимулирование сбыта;
- взаимодействие с потенциальными покупателями;
- изучение требований покупателей с целью адаптации товара к меняющимся потребностям;
- организация связи и изучение потенциальных потребителей продукции;
- планирование и организация системы товародвижения (транспорт, складирование, контроль);
- финансирование движения потоков товаров по выбранному пути распределения;
- компенсация возможных рисков, связанных с функционированием канала поставки товара.
Поскольку перечисленные функции могут быть возложены и выполнены как фирмой-производителем, так и посредническо-сбытовой организацией, выбор носителя коммерческо-сбытовых коммуникаций представляет собой вопрос об относительной эффективности канала распределения. Эффективность определяется отношением вероятного эффекта от использования того или иного канала сбыта к затратам на создание и эксплуатацию этого канала.
Путь сбыта тАФ это способ, с помощью которого товары перемещаются от производителя к потребителю. От выбранного канала зависят скорость, время, эффективность движения и качество поставки товара от производителя к конечному потребителю.
Выбор пути распределения представляет собой также технико-экономическую и социально-экологическую задачу.
Задачи системы распределения товаров и услуг могут быть стратегическими и тактическими.
Стратегические задачи связаны в основном с организационно-коммерческой функцией распределения, с формированием и организацией каналов сбыта. К ним относятся следующие задачи: прогнозирование и планирование перспективных потенциальных каналов и путей сбыта; обоснование и выбор прямого или непрямого типа сбыта товаров, т. е. без или с включением промежуточных звеньев (субъектов) на пути товара от производителя к потребителю (прямая поставка самой фирмой-производителем; оптовой или розничной организацией).
Стратегические задачи также имеют место при организации физического перемещения товара к потребителю. К ним относятся задачи маркетинг-логистики, которые связаны с выбором оптимальных каналов и путей сбыта, размещение складов (их функции, количество и емкость), а также с разработкой маркетинговых мероприятий по эффективному сопровождению товарных потоков от производителя к потребителю.
Тактические задачи распределения касаются: работы с уже существующими клиентами; реализации программ по привлечению новых покупателей; поиска и отбора коммерческих предложений на поставку товара или предоставление услуг; организации стимулирования оплаты заказов; установления путей следования коммивояжеров, их численности, мотивации и контроля; проверки деятельности внешней службы фирмы-производителя, в частности, наличия и достаточности торговых запасов, необходимости презентации товара, мероприятий по поддержке сбыта; установления структуры и величины как общих затрат, так и затрат по каждой составляющей расходов, связанных с физическим распределением товара, а также сравнения этих затрат с уровнем сервиса поставки; анализа и развития компьютерного обеспечения в системе распределения для оперативного отслеживания спроса и предложения, а также развития самообслуживания, системы учета и контроля за объемами продаж и ценами реализованных товаров для принятия оперативных маркетинговых мероприятий.
Принятие решений в системе распределения товаров тАФ достаточно сложный в отношении структуризации и формализации процесс. В качестве исходных характеристик функционирования системы распределения могут быть использованы данные, относящиеся к поведению продукта, потребителей, конкурентов, предприятия тАФ производителя товара, а также о правовой и экологической средах, в которых находится распределительная система или ее элементы (табл. 1).
- Данные, характеризующие систему распределения
Факторы системы распределения |
Характеристика данных |
Продукт |
Способность к складированию Транспортабельность Уровень непрерывности, частота потребности в продукте Отзывы о потреблении продукта |
Потребители |
Число потребителей или их групп Распределенность по территории Обычаи и культура покупок Отношение к методам продажи товара Плотность потребления товара в точках оптовой и розничной торговли. |
Основными функциями системы распределения, кроме приведенных выше, могут быть: накопление, сортировка и размещение товаров; обеспечение сохранности и защиты товара, находящегося на хранении или в процессе передачи прав на владение им; поддержание контактов, ведение переговоров и коммерческих сделок между покупателями и продавцами; передача прав собственности на товар от продавца к покупателю; концентрация и рассредоточение товаров.
В функциональном отношении деятельность в системе распределения подразделяется на работу, связанную с формированием и развитием каналов сбыта (коммерциализация), и на операции по физическому распределению товара, т. е. организацию маркетинг-логистики; возможна также интеграция этих функций.
На практике применяются различные методы сбыта в распределительной политике. Основными методами сбыта являются:
а) торговые системы, включающие централизованный и децентрализованный сбыт;
б) собственная или внешняя формы организации продажи (форма сбыта);
в) прямой и непрямой сбыт через торговые посреднические предприятия (пути сбыта).
2.1. Организация сбытаКоммерческое понимание маркетинга как метода и инструмента сбыта, означающее лишь поиск и отбор покупателя (заказчика) продукции, которую предприятие произвело или в состоянии производить, не соответствует развитому уровню рыночных отношений. Ориентация производства только на сбыт товаров является причиной постоянной несогласованности между спросом и предложением, а также кризиса перепроизводства, поскольку внешний вид и производственные характеристики товара слабо или совсем не увязаны с фактическими потребностями рынка.
Концепция маркетинга взаимодействия основывается на принципах активного вовлечения в процесс производства, распределения, реализации и потребления товара всех участников маркетинговой системы. Такой подход к бизнес-коммуникациям меняет цель и направленность организации предпринимательства, ориентируя менеджмент и всех участников производства и сбыта продукции на потребности покупателей и конечных потребителей товара. Это означает, что необходимо производить такие товары и в таком объеме, которые нужны рынку, сбыт которых предопределен с большой вероятностью благодаря предварительным маркетинговым исследованиям потребности рынка, широкому изучению и прогнозированию динамики рынка и окружающей его среды.
Принятие концепции маркетинга изменяет методы, при помощи которых фирма достигает намеченных целей производства и сбыта продукции. Однако концепция маркетинга ни в коей мере не приводит к уменьшению значения функций сбыта.
Статус и роль сбытового аппарата фирмы значительно повышаются, так как больше внимания уделяется потребностям рынка; за счет интеграции функций маркетинга осуществляется более глубокая и эффективная увязка сбыта с исследованиями рынка, планированием ассортимента продукции, инструментарием коммуникативного микса, (например, рекламы); меняется характер работы по сбыту продукции, на первый план выдвигаются потребности и удовлетворенность покупателей, а не производителя товара; производитель становится активным участником сбыта продукции благодаря широкому взаимодействию с работниками торговых организаций, включается в переподготовку персонала отдела сбыта.
С другой стороны, работники отдела сбыта благодаря тесному взаимодействию с другими подразделениями маркетинговой службы имеют доступ к более обширной репрезентативной информации о своих клиентах, что повышает эффективность коммерческих коммуникаций в бизнес-сети.
Повышение роли сбыта в деятельности фирмы вызывает необходимость некоторой реорганизации сбытового аппарата и реструктуризации в системе организации и управления его деятельностью. Интеграция службы сбыта в службу маркетинга может сопровождаться передачей этой службе отдельных функций: (реклама, изучение рынка, анализ цен, разработка новых товаров, кредитная политика), так как ответственность за эти вопросы передается другим подразделениям службы маркетинга. В этой связи функции руководителей отдела сбыта несколько ограничиваются в оперативном отношении. Их деятельность сосредоточивается в рамках своего отдела, они занимаются администрированием, формированием и контролем планов реализации товаров, оказанием услуг клиентам, заключением договоров на поставку товаров, работой с персоналом по обучению и оплате труда торгового персонала.
Организация сбыта предполагает объединение всех сотрудников, выполняющих взаимосвязанный комплекс работ в процессе обеспечения перемещения товара от производителя к конечному потребителю. Она требует также определения функций и установления служебных взаимоотношений между работниками внутри сбытовой сети и за ее пределами, координации и контроля деятельности в системе сбыта. Кроме того, организация сбыта охватывает деятельность по формированию, отбору специалистов, привлекаемых к работе в службе сбыта, оценке качества и результатов работы подчиненных, а также мероприятия по материальному и моральному стимулированию персонала.
Организация сбыта тесно связана с планированием, упорядочением всех работ во времени и в пространстве и с распределением их между сотрудниками отдела сбыта.
Основными элементами планирования сбыта являются: подготовка прогнозов общехозяйственной и рыночной конъюнктуры; прогнозное ориентирование объемов сбыта фирмы; разработка финансовой сметы сбыта; установление норм сбыта; селекция каналов распределения товаров; организация торговых коммуникаций (включая выбор месторасположения торговых предприятий); планирование и осуществление коммерческой отчетности; анализ хода и динамики продаж; планирование и оценка деятельности персонала службы сбыта; составление и осуществление плана координации деятельности службы сбыта, связей с другими подразделениями фирмы; разработка плана консультаций и работы с заказчиками и т. д.
Общехозяйственная и рыночная конъюнктура характеризует создавшееся положение в хозяйственной и рыночной средах, направление и степень изменения устойчивости их совокупных элементов по сравнению с прошлой динамикой. Прогноз конъюнктуры включает такие этапы, как анализ состояния отрасли экономики, с которой фирма сотрудничает по сбыту продукции; прогноз вероятного объема сбыта отрасли в целом; прогноз емкости рынка; анализ удельной емкости (доли) рынка всех фирм в общем объеме сбыта.
К наиболее часто используемым показателям экономической конъюнктуры относятся показатели цен, объемов спроса, предложения, объемов продаж и т.д.
Прогноз общехозяйственной и рыночной конъюнктуры играет важную роль во внутрифирменном планировании сбыта продукции. По временному интервалу прогнозы конъюнктуры могут быть краткосрочными (3-12 мес.), среднесрочными (1-5 лет) и долгосрочными (5-20 лет).
Прогнозное ориентирование объемов сбыта (продаж) продукции фирмы осуществляется с учетом прогноза емкости рынка и задания по реализации продукции фирмы на этом рынке. Прогноз сбыта необходим для проведения торговых операций фирмы в краткосрочном периоде; установления финансовой сметы сбыта и распределения объема продаж по торговым предприятиям; управления запасами и разработки производственных заданий смежным подразделением; составления бюджета фирмы и планирования прибыли; планирования развития производственных мощностей и потребностей в ресурсах.
Финансовая смета сбыта продукции фирмы представляет собой документ, в котором фиксируются объемы продаж, торговых расходов и прибыли от реализации. На основе индивидуальных смет для каждого товара или группы товаров составляется сводная смета сбыта продукции.
Финансовая смета базируется на оценках объема продаж на предстоящий год, в ней детализируются объемы по географическим районам, категориям покупателей, распределительным каналам, месяцам. Благодаря грамотно составленной финансовой смете фирма добивается выполнения текущей торговой политики и получения запланированной нормы прибыли от продаж.
Структура финансовой сметы сбыта включает следующие статьи: оборот от реализации; общие издержки производства; издержки обращения; валовая прибыль; расходы на рекламу, взаимодействие и стимулирование сбыта; общие (административные и накладные расходы) чистая прибыль. При планировании финансовых смет по сбыту новых товаров показатели оборота прогнозируются по реализации и издержкам, что позволяет определить момент безубыточной реализации продукции и период возмещения убытков.
Установление норм сбыта для торговых посредников заключается в распределении общего объема сбыта продукции в виде заданий, которые определяются с учетом потенциала торговой организации, категории заказчиков (вида канала распределения, степени конкуренции в районе расположения потребителей и рыночной конъюнктуры).
Нормы сбыта должны быть реальными. За установление всех норм продажи и за их выполнение несут ответственность руководители отдела сбыта.
Селекция канала сбыта является стратегическим решением фирмы. Во-первых, решается вопрос о выборе прямого или непрямого пути сбыта продукции. Затем формируются различные альтернативные варианты того или иного пути сбыта, осуществляются технико-экономическое сравнение вариантов и выбор одного из них. При выборе принимаются во внимание размер и доступность рынка, периодичность совершения покупок, стоимость транспортировки и хранения запасов, политика конкурентов в сфере товарораспределения. В случае равнозначности вариантов выбирают тот, который учитывает скорость реализации (для скоропортящихся товаров) и затраты фирмы-производителя (для промышленных товаров и потребительских товаров длительного пользования), возможности информационных технологий, средства рекламы.
Организация торговых коммуникаций включает организацию отношений с существующими и перспективными заказчиками, как крупными, так и малыми, но растущими; разработку и проведение мероприятий по стимулированию торговых посредников (скидки с цен, обучение торгового персонала, реклама на местах распродажи товаров, конкурсы дилеров и т. д. ); проведение паблик рилейшнз; мероприятия по внедрению мультимедиа-технологий и т. д.
Важным организационным мероприятием является выбор месторасположения торгового предприятия. Основным критерием при оценке эффективности месторасположения торгового предприятия или центра является уровень покупательной способности района, который будет обслуживать торговая фирма. При оценке предпочтительного варианта также учитываются: затраты на транспорт по доставке товара от производителя; характер товара (продовольственный, непродовольственный, производственно-технического назначения); привлекательность ассортимента; наличие и развитость конкуренции; частота покупок; качество транспортной инфраструктуры, обеспечивающей удобство и небольшие затраты, связанные с посещением торгового предприятия потребителями, находящимися рядом или далеко; привлекательность мест покупок; рекламная доступность
Координация деятельности службы сбыта, связей с внутренними подразделениями фирмы и внешними субъектами окружающей среды проводится с целью поддержания эффективного поведения системы сбыта и обеспечения поставки необходимой потребителю продукции в нужное время, в требуемый район, в надлежащем количестве и установленного качества.
Основным средством и инструментом координации является организационная форма, структура службы сбыта, которая отражает размер фирмы, тип и ассортимент товаров, количество и месторасположение покупателей, каналы распределения, методы торговли, права и ответственность от вышестоящего к нижестоящему уровню. В зависимости от сочетания этих факторов фирмы могут использовать следующие формы организации службы сбыта: функциональную, региональную, товарную, отраслевую, комбинированную.
Функциональная организация службы сбыта используется малыми и средними фирмами, имеющими однородную номенклатуру товаров. Коммерческий директор координирует торговые операции на национальном и внешнем рынках, рекламу и стимулирование сбыта. Управляющий по сбыту на национальном рынке организует работу сбыта с помощью трех управляющих по сбыту, осуществляет контроль за складированием, транспортировкой и доставкой товара через заведующего отделом распределения.
Недостатком этой формы организации является то, что могут потребоваться значительные средства на ее адаптацию в случае расширения номенклатуры продукции и появления возможности реализации товара на различных рынках.
Региональная организация сбыта применяется компаниями, которые выпускают ограниченное количество однородных товаров и используют разветвленную распределительную сеть с большим числом торговых точек.
Каждое подразделение в такой организационной структуре возглавляет региональный коммерческий директор, подчиненный тАФ маркетинг-директору фирмы. Такая организация позволяет агентам по сбыту тесно сотрудничать с потребителями в пределах обслуживаемой территории и работать с минимальными затратами времени и средств на разъезды, так как они проживают на территории этого региона.
Региональная организационная структура эффективна, когда имеют место рассредоточенность торговых операций, высокая концентрация предприятий в пределах каждого отдельного района и различия во вкусах и предпочтениях покупателей, проживающих в разных географических районах. Достоинством такой организации сбыта является то, что такие смежные отделы, как рекламный, маркетинговых исследований, планирования ассортимента продукции, централизованны, т. е. входят в состав главного управления фирмой и обслуживают все региональные группы сбыта продукции.
Товарная организация сбыта формируется, когда планируется реализация товаров широкого ассортимента и различной номенклатуры. Вся ответственность за планирование и разработку стратегий для реализации определенного продукта или группы продуктов возлагается на управляющего продуктом (группой продуктов). Управляющий сбытом организует разработку стратегии сбыта, прогноза и сметы сбыта, политики цен и упаковки, мероприятий по рекламе и стимулированию сбыта. Торговые уполномоченные руководят специалистами по сбыту конкретного товара или группы товаров и несут ответственность за формирование заказов и реализацию товара А (Б, В и т. д.). Специалисты по сбыту конкретного товара являются высококвалифицированными работниками, компетентными в области характеристик, назначения и использования товара А, имеющими опыт работы с покупателями.
Достоинство товарной организации сбыта тАФ возможность комплексной координации сбыта по определенному продукту или товарной группе. Такая организация сбыта целесообразна в первую очередь для очень крупных фирм, которые имеют большой товарооборот по каждой группе товаров и каждому виду товара. Однако с расширением номенклатуры товаров значительно возрастают затраты на содержание персонала, так как растет численность сотрудников.
Отраслевая организация сбыта применяется для поставки однородной продукции фирмам-потребителям различного профиля (машиностроение, энергетика, химия, текстильная промышленность и т. д. ).
Коммерческому директору подчиняются управляющие сбытом продукции по каждой отрасли промышленности. Количество специализированных отделов (групп) сбыта определяется числом обслуживаемых отраслей промышленности. В качестве уполномоченных по сбыту привлекаются торговые работники, имеющие инженерную или инженерно-экономическую подготовку по конкретной отрасли промышленности.
Такая организация службы сбыта наиболее приемлема для реализации товаров производственно-технического назначения и сырьевых продуктов.
Комбинированная организация сбыта наиболее часто используется организациями, экстенсивно расширяющими предпринимательскую и торговую деятельность.
Комбинированная структура сбыта, как правило, более гибкая и имеет высокую готовность к новым требованиям расширения номенклатуры производимой продукции, появлению новых рынков, новым требованиям покупателей.
На практике применяются различные комбинации структур организации сбыта, например, функционально-продуктовая, продуктово-рыночная, регионально-функциональная и др. От того, какая будет принята и использована организационная структура сбыта, зависят во многом результаты деятельности не только сбытовой службы, но и организации в целом.
Развитие рыночных отношений, прогресс информатизации предпринимательства вызывают необходимость и создают возможность формирования ориентированных на сближение производителя и потребителя организационных структур сбыта. Взаимодействие и взаимозависимость производителя и потребителя на конкретном рынке являются главными факторами построения адаптивных организационных структур сбыта. Это обусловливается условиями конкурентной борьбы, которые складываются на рынке, а также возникающей перед сбытовыми организациями необходимостью эффективно приспосабливаться к постоянно меняющимся требованиям внешней среды.
Сбытовые организационные структуры, как органичный элемент системы организации управления предпринимательством в целом и маркетингом в частности должны быть ориентированы на рост числа коммерческих сделок и потенциала имеющихся возможностей. Такие структуры должны быть динамичны, обновляясь на краткосрочной, эпизодической и поэтапной основах, иметь небольшое количество иерархических уровней и носить сетевой характер.
2.3. Контроллинг в системе сбытаСбыт тАФ неотъемлемый элемент процесса маркетинга, так как является завершающей, наиболее ответственной стадией обеспечения потребителя необходимым для него товаром. Он направлен на формирование и поддержание эффективной системы перемещения продукта от производителя до конечного потребителя с минимальными затратами. Система сбыта функционирует под влиянием значительного количества факторов внешней среды, которые оказывают отрицательное воздействие на экономические показатели этой системы. Поэтому имеется объективная необходимость организации непрерывного контроля за функционированием всех элементов системы сбыта с целью выявления и профилактики возможных отклонений в экономическом поведении сбытовых организаций и достижения ими поставленных целей.
В качестве теории, методологии и инструмента исследования и создания устойчивости плановых характеристик сбытовых операций используется контроллинг.
Контроллинг-сбыт является составной частью маркетинг-контроллинга. В центре его внимания находятся пути обнаружения слабых сторон в сбытовой деятельности и возможностей ее профилактической оптимизации. Контроллинг-сбыт можно рассматривать как систематическое критико-аналитическое, плановое тестирование (проверку) и оценку состояния основополагающих показателей, характеристик и целей политики сбыта. С помощью контроллинга-сбыта обеспечивается возможность обнаружения, учета обратных связей в процессе сбыта и проведения соответствующих мероприятий распределительного комплекса маркетинга.
Цель контроллинга-сбыта состоит в повышении экономической эффективности сбытовой деятельности и самой организации сбыта. Достижение этой цели обеспечивается гибким, оперативным предупреждением недостатков в сбытовой деятельности, их обнаружением и устранением посредством комплекса эффективных мероприятий.
Цели контроллинга-сбыта должны быть увязаны и скоординированы с другими сферами контроллинга, такими, как финансовый контроллинг, контроллинг-затрат и результатов, инвестиционный контроллинг, контроллинг производства и т. д. (рис. 2).
Основными функциями контроллинга-сбыта являются: планирование, обеспечение информацией, контроль (наблюдение), регулирование (управление).
Функция планирования охватывает формулирование целей сбытовой деятельности или их корректировку, а также формирование необходимых плановых показателей сбыта продукции.

- Виды контроллинг-сбыта
Функция обеспечения информацией включает координацию потребности в информации с ее предложением, а также обработку и подготовку оперативных данных. Для этого используются внутренняя информация предприятия, источники информации о рынке, факторах окружающей среды. Структурирование информации осуществляется в рамках требований бухгалтерского учета, производственного учета и установленных показателей, а также индексов отчетности. Полученная информация используется при формировании системы отчетности, которая необходима менеджменту для принятия решений.
Функция контроля охватывает наблюдение и анализ количественных и качественных характеристик сбытовой деятельности и установление причин отклонений этих характеристик от плановых.
Функция регулирования в системе контроллинга-сбыта включает работу по формированию стратегий взаимодействия с клиентами, политики стимулирования спроса, а также разработку мероприятий по оптимизации затрат и результатов сбытовой деятельности.
Выполнение функций контроллинга-сбыта способствует решению главных задач оптимизации сбыта, так как контроллинг-сбыт выступает как:
- системообразующий элемент тАУ создает и развивает интегрированную систему управления затратами и результатом;
- регулирующий элемент тАФ осуществляет адаптацию возможных отклонений в сбытовой деятельности от плана и целевых установок посредством организации стратегической и оперативной деятельности как руководством, так и всем коллективом сотрудников отдела сбыта;
- интегрированная система тАФ обеспечивает согласование и взаимодействие системы сбыта со всеми функциональными подразделениями фирмы.
Действенность и эффективность контроллинга-сбыта обеспечивается соблюдением следующих основных принципов:
- полноты определения и снижения рисков, имеющих место в сбытовой деятельности;
- защиты и поддержки менеджмента без внесения кардинальных изменений в структуру сбыта;
- мобильности, т. е. возможности перемещения или перестановки персонала в зависимости от характера решаемых проблем сбыта и способностей работников;
- высокой требовательности к профессиональной грамотности персонала в области контроллинга и смежных сферах деятельности (производство, бухучет, маркетинг, логистика и др. ).
Для осуществления функций контроллинг-сбыта необходима оперативная и стратегическая информация. Источники информации для контроллинга-сбыта более многочисленны, чем для других систем контроллинга фирмы, так как одновременно используется информация о внутренней среде предприятия и внешняя.
Процесс информационного обеспечения контроллинг-сбыта включает следующие стадии: регистрация (сбор) данных; хранение данных; подготовка и предварительная обработка данных; редактирование и обеспечение качества данных; формирование информационной базы (верификация данных, уплотнение, концентрация, распределение по критериям, отбор).
Структура контроллинг-сбыта должна отражать принятую на фирме концепцию сбыта. Эффективная концепция сбыта предполагает направление всех ресурсов сферы сбыта на установление долгосрочных связей с покупателями (клиентами), обеспечение их спроса и получение запланированной прибыли. Такая концепция сбыта должна быть ориентирована на решение стратегически важных вопросов, например, таких, как:
Следует ли увеличить активность сбытовой деятельности и на каких этапах в первую очередь?
Каким должен быть уровень качества предлагаемых товаров и услуг?
Какой стратегии взаимодействия с покупателем надо придерживаться?
На каких сегментах рынка возможно появление новых покупателей?
Какие преимущества имеет (должна иметь) фирма по сравнению с конкурентами?
Как активизировать личные связи с постоянными клиентами?
Охватывает ли стратегическая концепция сбыта все предприятия или остается в рамках отдела (управления) сбыта?
Структура контроллинга-сбыт включает стратегический и оперативный контроллинг-сбыт. В структуре контроллинг-сбыта выделяются две области его функционирования: подготовка продаж и проведение их.
Стратегический контроллинг-сбыт обеспечивает постоянную степень отдачи, эффективность деятельности предприятия. Оперативный контроллинг-сбыт ориентирован в первую очередь на управление прибылью с помощью контроля и анализа таких факторов, как прибыль, объем сбыта и товарооборота; структура издержек; структура рынка; характеристики сбытовой деятельности.
Стратегический контроллинг-сбыт может проводиться путем осуществления следующих процедур портфельного анализа: анализа преимуществ производственной деятельности; анализа преимуществ и слабых сторон по сравнению с конкурентами; прогнозирования возможных рисков, опасностей и шансов на рынке сбыта; анализа будущих, перспективных сегментов и ниш сбыта продукции фирмы.
Стратегический анализ преимуществ производственной деятельности, создаваемых эффективной системой сбыта, основывается на исследовании фактической ситуации, фактических показателей, которые характеризуют, взаимодействие фирмы, отдела сбыта с клиентами (покупателями) и с конкурентами.
В зарубежной практике метод фактического анализа называют Ист-анализом (Ist-Analyse). Анализ фактического положения деятельности предприятия начинается с исследования товарного ассортимента, товарной группы, в процессе которого выявляются преимущества в сфере обслуживания клиентов и устанавливаются конкуренты. Преимущества производственной деятельности характеризуются наличием привлекательных, т. е. передовых с технологической точки зрения и высокорентабельных товаров, которые формируют высокую рыночную привлекательность производственной программы фирмы.
Ист-анализ дает возможность установить, надо ли укреплять позиции фирмы относительно конкурентов, и если надо, то в каких областях. Поскольку конкурентная среда подвержена постоянным изменениям, например, из-за ценовой или товарной политики конкурентов, необходимо следить за их поведением для принятия соответствующих мер по укреплению позиции фирмы на рынке.
Ист-анализ позволяет оценить состояние фирмы, ее позицию на рынке с точки зрения привлекательности и преимуществ, которыми она обладает на том или ином рынке. По этим двум критериям определяют позицию фирмы, характеризующую стратегию предприятия на рынке, а также распределяют ограниченные ресурсы между различными товарными рынками, на которых она представлена.
Анализ преимуществ слабых сторон - SWOT-анализ (Strengths - сильные стороны; Weaknesses тАФ слабые стороны; Opportunities тАФ возможности; Treats тАФ опасности) особенно необходим на рынке, который находится в стадии экономического спада и где имеется избыточная емкость, а конкуренция проявляется наиболее отчетливо. В такой ситуации выявление слабых сторон собственной фирмы относительно конкурентов позволяет частично устранить эти недостатки, а относительно сильные стороны (преимущества), еще более целенаправленно их использовать, поддерживать и развивать.
При проведении сравнительного анализа сильных и слабых сторон необходимо уделять внимание тем характеристикам, показателям, которые наиболее значимы с точки зрения покупателей. Наиболее эффективную помощь в этом могут оказать личные контакты, беседы с существующими и потенциальными клиентами.
Основными критериями, которые должны учитываться и по которым может осуществляться оценка слабых и сильных сторон, являются:
- монополия на определенную технологию производства товара или оказание услуг;
- высокий уровень качества товара;
- возможность сервисного обслуживания до и после продажи товара;
- гибкость при выполнении специальных пожеланий клиентов;
- скорость поставки товара, выполнения заказа;
- надежность поставки товара установленного объема и в необходимые
- сроки;
- квалификация сотрудников, работающих по прямым контактам с покупателями;
- возможность установления устойчивых связей с постоянными клиентами.
Наряду с приведенными критериями в каждом конкретном случае предприятие должно самостоятельно разрабатывать анкету, в которой необходимо отражать критерии, наиболее важные с точки зрения покупателей, формирующих спрос на товар фирмы
Классификация покупателей по группам тАФ важные, средней значимости и менее значимые тАФ может проводиться методом АВС-анализа. Например, для покупателей товаров производственно-технического назначения АВС-анализ включает исследование не одного (например, объем оборота по одной группе клиентов) показателя, а наиболее значимых качественных показателей и характеристик, например, таких, как платежеспособность, солидность фирмы, платежный баланс, длительность деловых коммуникаций. По результатам АВС-анализа формируется своеобразный "портфель клиентов", который показывает, "здорова" ли структура потребителей, определяющая спрос на товары фирмы.
Прогнозирование возможных рисков, опасностей и шансов на рынке сбыта осуществляется после исследования сильных и слабых сторон фирмы относительно конкурентов и анализа структуры покупателей. Предварительная картина становится ясной уже после формирования портфелей позиций фирмы и клиентов. Для более точного прогноза проводится еще несколько операций, таких, как бенчмаркинг и обнаружение на рынке национальных или иностранных предприятий, действующих на рынке или желающих выйти на него с аналогичной продукцией. Этому могут способствовать интернационализация бизнес-коммуникаций и международная либерализация коммерческих связей, что обусловливает снижение цен, особенно на стандартную продукцию. На сложившиеся на рынке отношения фирмы могут повлиять также потенциальные конкуренты, т. е. фирмы, обладающие новейшими технологиями производства товаров, на которые имеется спрос привлекательных покупателей. Прогноз рынка и шансов деятельности фирмы в новых конкурентных условиях должен дать ответ: пострадает или выиграет собственное предприятие от появления и внедрения новых конкурентов в рыночную нишу, которую достаточно прочно удерживала фирма.
Анализ перспективных сегментов и ниш сбыта продукции фирмы проводится, когда известны результаты анализа структуры покупателей или клиентов. Решается вопрос о том, на каких клиентах сконцентрировать усилия фирмы по сбыту, нельзя ли открыть для фирмы новый круг покупателей путем активизации персональной деятельности, индивидуальных визитов.
При анализе искомых благоприятных областей деятельности имеет смысл выделить такие сегменты рынка, где больше всего потенциальных клиентов со схожими характеристиками спроса, так как это позволяет планировать производственную деятельность и сбыт на одинаковых принципах.
Далее целесообразно продумать, какие сопутствующие услуги могут понадобиться покупателю при пользовании товаром фирмы, и в процессе делового общения или в деловом послании уведомить фактических или потенциальных клиентов о возможностях вашей фирмы оказать эти услуги. Большой эффект дают мероприятия по вовлечению в сферу деятельности сбыта фирмы творческого потенциала клиентов, особенно на стадии распределения товаров в их сети.
Оперативный контроллинг-сбыт начинают с анализа прибыли и рентабельности. Для оценки уровня прибыли от реализации товара используют систему показателей ROI (Return Of Investments тАФ возврат (прибыль) на вложенный капитал):
![]()
Как инструмент контроллинг-сбыта, ROI показывает логическую зависимость подцелей от главной цели в плане предприятия и способствует поиску причин, снижающих эффективность использования капитала. Тесная связь ROI с деятельностью службы сбыта видна из следующего соотношения:
![]()
Именно оборот товарной массы формирует величину ожидаемого дохода, а рост оборота при постоянных расходах на производство продукции способствует росту ожидаемого дохода. Поэтому несоответствие в размерах ожидаемого дохода и требуемых для его получения расходов вызывает необходимость корректировки как деятельности службы сбыта, так и других подразделений фирмы. Корректировка может заключаться либо в уменьшении целевых ориентиров деятельности (остаточная прибыль, фонд оплаты труда и т. д.), либо в разработке комплекса организационных, в том числе маркетинговых, мероприятий для повышения эффективности производства и сбыта продукции.
Такой подход свойствен контроллинг-сбыту, в основе которого лежит принцип опережающего воздействия, а не пассивного наблюдения и констатации свершившихся потерь и рисков.
В процессе анализа определяется разница между намеченной выручкой от реализации и переменными издержками (валовая маржа), которая является базой для оценки точки (зоны) безубыточности и проведения АВС-анализа покупателей, участвующих в формировании валовой маржи. Одновременно исследуется возможность падения выручки и намечаются мероприятия по предоставлению повышенных (относительно среднего уровня) скидок покупателям.
Анализ структуры издержек осуществляют путем анализа следующих составляющих прямых затрат: прямых издержек производства; прямых материальных затрат; прямых расходов в сбытовой деятельности.

- Система показателей в сфере контроллинг-сбыта
Особое внимание следует уделять исследованию загрузки производственных мощностей, уровня сервиса и качества поставок товара. Более детальное рассмотрение загрузки производственных мощностей на предприятии показывает, в каком объеме в цене данного товара должны учитываться постоянные издержки при данной загрузке производственных мощностей. Анализ загрузки мощностей позволяет сделать вывод как о возможности поиска и привлечения новых клиентов для дополнительных заказов, так и о необходимости снижения интенсивной сбытовой деятельности ввиду полной загрузки производственных мощностей.
Анализ структуры рынка рассматривается как важный инструмент оперативного контроллинг-сбыта. Структура рынка определяется внешней средой, факторами, оказывающими на нее постоянное влияние, динамикой доли рынка, ценовой политикой партнеров и конкурентов и т. д. Поэтому решающую роль в объективности анализа структуры рынка играет качество информации о внешней среде.
Для контроля за производственной и сбытовой деятельностью могут быть использованы различные показатели (рис. 3).
Целевой установкой контроллинг-сбыта является информационное обеспечение процесса принятия решения в сфере сбыта, поэтому результаты анализа, сопровождаемые предложениями о путях повышения эффективности сбытовой деятельности, должны в форме отчета предоставляться регулярно ответственным за текущее регулирование и перспективное планирование деятельности фирмы.
3. Особенности сбыта продукции энергетики 3.1. Особенности энергетики и её продукцииНеобходимо учитывать, что маркетинг в электроэнергетике существенно отличается от маркетинга в других отраслях народного хозяйства, что связано с технологическими и экономическими особенностями электроэнергетики.
С этой точки зрения можно отметить по крайней мере следующие особенности электроэнергетики и ее продукции.
- Спрос на электроэнергию, тепловую энергию в решающей мере определяется следующими факторами:
- экономической динамикой страны (региона), об изучении спроса которых идет речь;
- эффективностью и темпами электрификации народного хозяйства, т. е. эффективностью и темпами внедрения электротехнологий;
- энергетической эффективностью использования электрической, также тепловой энергии. Для роста этой эффективности имеются крупные резервы, а вытекающее отсюда сокращение потребления электроэнергии и тепла в расчете на единицу доставляемого ими полезного эффекта не только дает экономические преимущества, но и уменьшает загрязнение окружающей среды.Динамика и уровень спроса на электроэнергию в стране или регионе, пожалуй, как ни на один другой товар, являются зеркалом экономического роста, отражают уровень и темпы научно-технического прогресса и уже теперь стали одной из важных косвенных характеристик качества жизни. Поэтому маркетинг в электроэнергетике приобретает особое значение не только для отрасли, но и для всей экономики страны или региона.
- Производство и потребление электроэнергии (и в большой степени тепловой энергии) совпадают во времени, и эту продукцию по крайней мере в сколько-нибудь значительных количествах нельзя произвести и закупить впрок, например, в ожидании улучшения конъюнктуры, увеличения тарифов на электроэнергию или перебоев в энергоснабжении. Отсюда вытекает требование к большой точности прогнозов спроса, особенно учитывая высокую времяемкость, а также капиталоемкость отрасли, в 3тАФ4 раза превышающую среднюю капиталоемкость народного хозяйства России. Завышение спроса приводит к омертвлению крупных инвестиций, его занижение может быть связано с большими убытками для энергоснабжающих предприятий, тем более, что на обслуживаемой ими территории они не должны иметь право отказывать потребителю в присоединении к центрам питания или увеличении потребляемой энергии и мощности.
- Качество электроэнергии, если оно отвечает имеющимся стандартам, нельзя в отличие от других продуктов и товаров улучшить. Ограничены возможности улучшения качества и тепловой энергии (более точное выдерживание "стандартных" или договорных параметров: температуры и давления). Это означает, что возможная в принципе конкуренция производителей электроэнергии и тепла может идти только за счет разницы в затратах на производство энергии и предложения ее по более низким ценам.
- В электроэнергетике товаром особого рода, следовательно, предметом спроса является не только электрическая и тепловая энергия, но и мощность. Это означает, что объектом маркетинга является режим потребления электрической и тепловой энергии в целом: в суточном, недельном и сезонном (годовом) аспектах.
- Технические и экономические возможности передачи энергии на большие расстояния ограничены: максимальный радиус передачи тепловой энергии в виде пара 3тАФ5 км, в виде горячей воды 10тАФ15 км, при определенных, еще не вполне освоенных технических решениях 25тАФ30 км. Массовая передача товарной электроэнергии па расстояние свыше 1000 км ставит перед электротехникой серьезные экономические проблемы. Все это ограничивает возможности экспорта тАФ импорта энергии.
- В современных условиях энергетическая система (ПОЭЭ) обладает естественной монополией на энергоснабжение обслуживаемой территории. Эту монополию можно разрушить только частично, законодательно запретив мешать потребителям создавать относительно мелкие индивидуальные системы энергоснабжения и обязав ПОЭЭ покупать избытки энергии у них по крайней мере по средним ценам.Наличие монополии также является фактором, препятствующим конкурентной борьбе за сбыт продукции, т. е. борьбе, которая будет иметь место в других отраслях хозяйства.Естественная монополия объективно приводит к необходимости государственного регулирования цен на электрическую и тепловую энергию.
- В условиях естественной монополии отрасли рынок электроэнергии и в большой мере тепла не является так называемым "рынком продавца", где более активны покупатели (по крайней мере, в недефицитных энергосистемах), и не является "рынком покупателя", где активным является продавец. Это рынок особого вида, где продавец и покупатели вынуждены быть партнерами не только в процессе куплитАФпродажи энергии, но и в выявлении закономерностей спроса на нее.
Энергосбытовая деятельность - это управленческая деятельность по выработке и принятию управленческих решений, обеспечивающих эффективные продажи произведенной энергоснабжающей организацией энергии потребителям (абонентам).
Энергосбытовая деятельность включает:
- реализацию электрической и тепловой энергии и мощности по тарифам, установленным постановлениями органов государственного регулирования тарифов в соответствии с действующим законодательством о государственном регулировании тарифов на электрическую и тепловую энергию;
- изучение состояния и перспективы развития рынка сбыта электрической и тепловой энергии и мощности, прогноз платежеспособного спроса на электрическую и тепловую энергию и мощность;
- заключение с потребителями электрической и тепловой энергии договоров энергоснабжения и контроль выполнения договоров в части режимов энергопотребления и выполнения потребителями своих договорных обязательств;
- разработку и реализацию мероприятий по побуждению потребителей к выполнению договорных обязательств, по ограничению и прекращению подачи энергоресурсов потребителям-неплательщикам, по выявлению фактов нарушения правил учета и потребления электрической и тепловой энергии, а также по пресечению безучетного потребления и хищения энергии;
- участие в разработке тарифов для потребителей электрической и тепловой энергии;
- обеспечение жесткого контроля энергопотребления организаций, финансируемых из бюджетов всех уровней.
В чем проявляется актуальность энергосбытовой деятельности? АО-энерго в настоящее время испытывают на себе недостаток денежных средств при оплате энергии потребителями, что в свою очередь осложняет ведение хозяйственной деятельности самих энергокомпаний. Отсутствие денежных средств получаемых от оплаты, их недостаточность не позволяет энергетическим предприятиям своевременно осуществлять налоговые и другие обязательные платежи, реализовывать в необходимом объеме инвестиционный процесс в отрасли, оплачивать поставки топлива, обслуживать в полном объеме имеющиеся основные фонды и т.д. Однако вместо денежных средств при оплате энергокомпании получают взаимозачеты, оплату Влв натуреВ» и т.д.
По-прежнему остается актуальной проблема дебиторской задолженности тАУ по ряду АО-энерго ее величина не только сохраняется, но и продолжает увеличиваться, что оказывает негативное влияние на финансовое состояние предприятий отрасли.
Сегодняшний недостаток денежных средств вынуждает руководителей энергосистем, электростанций и сетевых предприятий "удешевлять" свои затраты, прежде всего за счет сокращения объемов ремонтно-профилактических работ, то есть выполняются только самые необходимые работы, без которых уже невозможно без нарушений эксплуатировать сложнейшее энергетическое оборудование, тепломагистрали, линии электропередач.
Многие из потребителей энергии становятся банкротами, или применяя различные уловки, такие как изменение своего юридического адреса, пытаются уйти от оплаты потребленной энергии. В данном аспекте становится необходимость в ведении работы по потребителям в плане отслеживания их добросовестности, проведение притензионно-исковой работы и т.д.
Перечисленные задачи необходимо решать, налаживать механизм и порядок их решения. Данная работа в плане работы с потребителями, решение проблем оплаты, учета потребленной энергии лежит в поле деятельности Энергосбытов. Однако данный структуры в настоящее время все еще не в состоянии решать достаточно эффективно возложенные на них задачи. Причин тому много, назовем лишь некоторые из них: несовершенство организационной структуры, отсутствие требуемых полномочий, что снижает оперативность принимаемых решений, отсутствие технического оснащения Энергосбытов, неурегулированность взаимоотношений между подразделениями отделами в АО-энерго и ряд других.
Таким образом, становится очевидной необходимость совершенствования данной деятельности с тем, чтобы упорядочить процесс продажи энергии, сделать более точным и оперативным, поднять уровень оплаты вообще при одновременном увеличении денежной составляющей.
Задача реформирования и совершенствования энергосбытовой деятельности не раз подчеркивалась и руководством РАО ВлЕЭС РоссииВ», которое собирается в течение ближайших полутора лет провести финансовое оздоровление компании, что позволит повысить ее инвестиционную привлекательность. В частности, эта деятельность предусматривает радикальную реструктуризацию системы сбыта и маркетинга, ужесточение требований к потребителям по оплате за поставленную энергию и увеличение доли "живых" денег в поступлениях.
В настоящее время в АО-энерго применяются 3 формы сбыта энергии:
- централизованная (когда сбыт энергии осуществляется только предприятием ВлЭнергосбытВ» и его отделениями);
- децентрализованная (когда сбыт энергии сосредоточен в сетевых предприятиях);
- смешанная (та или иная совокупность двух первых типов, но при этом чаще всего, центральный ВлЭнергосбытВ», обслуживает основных крупных потребителей АО-энерго, а сбыт в сетевых предприятиях обслуживает мелких потребителей и население).
Из 72 АО-энерго централизованная форма используется в 32 энергосистемах (44%), децентрализованная тАУ в 24 энергосистемах (33%), смешанная тАУ в 16 энергосистемах (23%).
Энергосбыты являются обособленными подразделениями АО-энерго, входят в состав Общества и действует с соблюдением Гражданского Кодекса Российской Федерации, Федерального закона ВлОб акционерных обществахВ», иных федеральных законов, Устава общества, решения органов управления Общества.
Обособленное подразделение ВлЭнергосбытВ» является частью единого производственного и технологического комплекса по производству, передаче, распределению и реализации электрической и тепловой энергии, выполнению работ и оказанию услуг, учреждается как обособленное подразделение общества, расположенное вне места его нахождения и не являющееся юридическим лицом, в составе Общества.
Энергосбыт осуществляет деятельность от имени создавшего его Общества, которое несет ответственность за его (Энергосбыта) деятельность. Энергосбыт отвечает перед Обществом за результаты своей финансово-хозяйственной деятельности и деятельности филиалов Общества тАУ отделений Энергосбыта. Расчеты с бюджетом и внебюджетными фондами по налогам и другим обязательным платежам Энергосбыт осуществляет от имени Общества на основании доверенности, выданной Обществом директору и главному бухгалтеру Энергосбыта, согласно учетной политике Общества.
Отделения энергосбытов действуют на основании положений, утвержденных генеральным директором Общества. Отделения Энергосбыта осуществляют расчеты с бюджетом и внебюджетными фондами по налогам и другим обязательным платежам от имени Общества на основании доверенности, выданной Обществом начальнику и бухгалтеру отделения Энергосбыта, согласно учетной политике Общества.
Основной целью деятельности Энергосбыта является достижение наилучших показателей производственно-экономической деятельности, обеспечивающих рост доходов и получение максимальной прибыли Обществом.
Предмет деятельности Энергосбыта включает следующие основные виды деятельности:
- реализацию электрической и тепловой энергии и мощности по тарифам, установленным постановлениями органов государственного регулирования тарифов в соответствии с действующим законодательством о государственном регулировании тарифов на электрическую и тепловую энергию;
- изучение состояния и перспективы развития рынка сбыта электрической и тепловой энергии и мощности, прогноз платежеспособного спроса на электрическую и тепловую энергию и мощность;
- заключение с потребителями электрической и тепловой энергии договоров энергоснабжения и контроль выполнения договоров в части режимов энергопотребления и выполнения потребителями своих договорных обязательств;
- обеспечение учета потребления электрической и тепловой энергии и мощности;
- разработка и реализация мероприятий по побуждению потребителей к выполнению договорных обязательств, по ограничению и прекращению подачи энергоресурсов потребителям-неплательщикам, по выявлению фактов нарушения правил учета и потребления электрической и тепловой энергии, а также по пресечению безучетного потребления и хищения энергии;
- участие в разработке тарифов для потребителей электрической и тепловой энергии;
- обеспечение жесткого контроля энергопотребления организаций, финансируемых из бюджетов всех уровней.
Обязательными для Энергосбыта являются следующие виды деятельности:
- реализация электрической и тепловой энергии и мощности Общества по тарифам, установленным постановлениями органов государственного регулирования тарифов в соответствии с действующим законодательством о государственном регулировании тарифов на электрическую и тепловую энергию;
- обеспечение энергоснабжения потребителей в соответствии с заключенными договорами;
- безусловное исполнение диспетчерских распоряжений, отраслевых норм и правил по устройству и условиям безопасности эксплуатации энергоустановок.
Руководство деятельностью Энергосбыта осуществляет заместитель генерального директора Общества по продаже энергоресурсов тАУ директор Энергосбыта, назначенный генеральным директором Общества на контрактной основе по согласованию с РАО ВлЕЭС РоссииВ» и действующий по доверенности, выданной генеральным директором от имени Общества.
Директор Энергосбыта заключает и расторгает контракты с начальниками отделений Энергосбыта, применяет к ним меры поощрения и наложения на них дисциплинарных взысканий в соответствии с правилами внутреннего трудового распорядка и действующим трудовым законодательством Российской Федерации.
Проверка финансово-хозяйственной и правовой деятельности Энергосбыта осуществляется ревизионной комиссией Общества, аудиторскими службами, назначенными или привлекаемыми Обществом в случае необходимости. Контроль за финансово-хозяйственной деятельностью Энергосбыта может осуществляться аудиторскими организациями на основании заключенных с ними договоров.
Контроль за состоянием оперативного управления и исполнением диспетчерской дисциплины осуществляется Центральной диспетчерской службой, другими службами Общества по технологической принадлежности.
3.3. Проблемы энергосбытовой деятельностиПрограмма действий по повышению эффективности работы и дальнейшим преобразованиям в энергетике России разработанная под руководством РАО ВлЕЭС РоссииВ» на основе проведенного анализа ситуации складывающейся в отрасли определила следующие проблемы в сфере энергосбытово й деятельности:
- преобладание неденежных расчетов, которое существенно искажает действие рыночных механизмов в экономике страны, является скрытой формой перелива капитала из эффективных сегментов рынка в неэффективные.
- отсутствие маркетинговой политики и игнорирование интересов потребителей. Отношения компаний электроэнергетики с потребителями далеки от принятых в мере стандартов, что проявляется в частности в невозможности проводить гибкую ценовую политику в предоставлении скрытых и открытых индивидуальных преференций, не имеющих ничего общего с картельными соглашениями и символизирующих собой извлечение доходов одних потребителей за счет других потребителей и собственников в применении огромных штрафов за недоиспользование и переиспользование энергии как способ сбора дополнительных средств и т.д.
- неплатежи потребителей энергии. Неплатежи потребителей ведут к недостатку оборотных средств, росту дебиторской задолженности энергокомпаний, дефициту топлива на электростанциях и связанному с ними неоптимальному режиму их загрузки. В результате увеличиваются затраты, снижается экономическая эффективность работы отрасли.
Также можно обозначить следующие проблемы сбытовой деятельности:
- недостаточный уровень тарифов, зачастую не обеспечивающий положительный уровень рентабельности в АО-энерго;
- плохо организованный учет потребляемой энергии, а также потери энергии вследствие хищений.
Основной проблемой энергосбытовой деятельности являются неплатежи. В России привыкли не платить за потребленную энергию. Вместо этого имеют место различные ухищрения направленные на использование энергии без последующей оплаты.
Именно неплатежи, не дают энергетикам возможности работать стабильно, обновлять оборудование. Целый ряд предприятий расплачивается за электроэнергию взаиморасчетами и лишь частично погашает свои долги "живыми" деньгами. Но энергетики-то платят за сырьевые ресурсы только "живыми" деньгами.
У организаций, финансируемых из бюджетов различных уровней хронически не хватает средств на оплату энергоресурсов. Положение в ближайшие годы вряд ли поменяется кардинально, и денежная составляющая платежей останется на относительно низком уровне. Армия, здравоохранение, образование, вся бюджетная сфера в лучшем случае оплачивает 30-35 процентов того, что потребили.
По словам председателя правления РАО "ЕЭС России" Анатолия Чубайса, одной из задач реформирования холдинга является устранение посредников в продаже электроэнергии. Посредники "это самое вредное и разрушающее нормальный производственный процесс звено в цепи", в которой сосредоточено до 50% существующей задолженности энергетикам.
Один из основных недостатков теплоэнергосистем АО-энерго тАУ наличие посредников между потребителем и производителем тепла. Прежде чем попасть к потребителю в дом, тепло поочередно является собственностью самой ТЭЦ, затем - теплосети АО-энерго, затем тАУ теплосетей ОПП. Это затрудняет расчеты и порождает ненужные трения, наверное, проще было бы поручить обслуживание теплосетей самой ТЭЦ, позволить ей самой выходить на потребителя.
Основу доходов энергетиков составляют платежи промышленных предприятий. Для промышленности же характерно убыточное состояние, чем объясняется задолженность металлургии, деревооборабатывающих предприятий и т.д.
Население является самым добросовестным клиентом: оно в массе своей платит в срок и "живыми деньгами". Но дальше деньги населения попадают посредникам - всевозможным муниципальным, коммунальным организациям, которые их пускают в оборот и передают РАО ВлЕЭС РоссииВ» не полностью и с задержками. Кроме того, население платит сейчас только часть тарифа, являясь дотационным потребителем.
Дебиторская задолженность.Неплатежи ведут к росту дебиторской задолженности как краткосрочной, так и долгосрочной, в особенности это характерно в отношении потребителей финансируемых из бюджетов различных уровней. Это такие потребители как население, оптовые потребители-перепродавцы (МПЖКХ, различные сетевые предприятия), армия, здравоохранение, образовательные учреждения, муниципальный транспорт и т.д.
Одной из главных причин низкого уровня оплаты за потребляемые теплоэнергию и электроэнергию является недофинансирование госбюджетом федеральных потребителей. В бюджетную роспись, утвержденную Минфином России на первый квартал 2000 года заложена лишь 30-процентная оплата энергии бюджетными потребителями.
Также сохраняются долги и со стороны промышленных потребителей, которые находятся не в лучшем финансовом положении.
ТарифыДругой проблемой в области сбыта является проводимая в настоящее время политика регулирования (а по сути "замораживания") тарифов и цен, которая привела к нарушению баланса интересов потребителей и производителей энергоресурсов. Тарифы необходимо повышать, хоть при этом и увеличится число убыточных предприятий. Неудовлетворительный уровень тарифов на отпускаемую энергию не позволяет обеспечить рентабельность энергокомпаний, обеспечивать необходимое обслуживание энергетического оборудования, повышать уровень оплаты работников энергопредприятий и т.д. и как следствие, складывающееся положение не способствует привлечению инвесторов.
Сохраняется проблема перекрестного субсидирования тАУ занижая тариф населению, энергокомпания одновременно повышает его промышленным предприятиям. Считается, что это делается в интересах самого населения. Увеличение тарифов для промышленности делает зачастую ее продукцию более дорогой и, соответственно, неконкурентоспособной. Как следствие, падает производство и сокращаются рабочие места, что бьет по интересам того же населения.
Все последние годы цены на электроэнергию искусственно сдерживались государством. Средняя цена одного киловатт-часа в России - менее цента, в Европе же - от 3,5 до 7 центов. Как следствие, отрасли катастрофически не хватает средств на обновление основных фондов. Поскольку энергия достается потребителям по заниженным ценам, то они ее перестают экономить. Появляется еще одна проблема тАУ отсутствие энергосбережения. Наша промышленность абсолютно не занимается внедрением энергосберегающих технологий, на которые весь мир перешел еще в 1973 году. В совокупности с жуткими неплатежами все это дает отнюдь не положительный результат для экономики страны.
Энерготарифы должны стать основой инвестиционной политики в электроэнергетике. Не обязательным сегодня является вывод энергокомпаний в частный сектор только для того, чтобы получить инвестиции. Вложив деньги, западный инвестор будет возвращать свои средства только через тарифы. То же самое можно делать сегодня без участия иностранных инвесторов.
Тарифы, устанавливаемые в ряде АО-энерго, не обеспечивают положительный уровень рентабельности энергопредприятий, в результате они получают убытки, на этот раз из-за низкого уровня тарифов. В настоящее время 20 электростанций в России являются банкротами и причиной этого является политика региональных энергетических комиссий по сдерживанию тарифов.
Руководство РАО "ЕЭС России" считает необходимым значительно усовершенствовать тарифную политику в отрасли. Нынешняя тарифная политика привела к тому, что в 1999 году 13 региональных энергокомпаний получили убытки, а еще в 17 региональных энергокомпаниях рентабельность составила меньше 5%. Все это является причиной неэффективной тарифной политики.
В некоторых регионах страны до сих пор региональные энергетические комиссии не смогли решить проблему перекрестного субсидирования. В ряде районов страны тарифы для населения по-прежнему ниже, чем средние тарифы в регионе на электроэнергию.
Руководство РАО ВлЕЭС РоссииВ» обращается к Минтопэнерго с просьбой помочь решить вопрос по возвращению существовавших до 1997 года механизмов инвестирования, в частности включить в тарифы на электроэнергию инвестиционные составляющие.
В целом, несмотря на существующие проблемы, российская энергосистема не снизила мощности и она готова обеспечивать дальнейший рост электропотребления. В 2000 году РАО ВлЕЭС РоссииВ» планирует увеличить количество средств, выделяемое на строительство новых энергообъектов.
Учет энергии.Учет энергии является основой для определения платы за отпущенную энергию. Отсюда, плохой учет тАУ плохая оплата, хищения энергии. Повсеместно наблюдается такая картина: приборы учета электроэнергии неисправны, во многих местах отсутствуют клеммные крышки, сроки госповерки средств учета давно истекли, нарушены схемы учета и т.п. И это не только в производственной сфере, но и в быту тАУ и не в меньшей степени. Около 60% потребителей вообще не платят за электроэнергию. В таких условиях вполне возможны хищения электроэнергии.
Энергоснабжающие организации всеми силами борются с расхитителями электроэнергии, но мер явно недостаточно. Поэтому энергетикам остается одно тАУ обращаться к руководителям администрации, населению с просьбой проявить здравый смысл и гражданскую ответственность к оплате за полученную электроэнергию.
Безусловно, долго продолжаться такое не может, коль уж электроэнергия становится товаром. И это всем без исключения придется понять, иначе энергетики будут вынуждены вводить жесткие ограничения и отпускать электроэнергии ровно столько, сколько сможем предварительно оплатить.
Установка приборов учета является чрезвычайно важным моментом в энергосбытовой деятельности, особенно когда идет речь о крупных потребителях.
Тенденции энергосбытовой деятельности. ВыводыОсновными тенденциями энергосбытовой деятельности в 2000-2001г. являются:
- Наиболее проблемными группами потребителей остаются предприятия и организации, финансируемые из местного бюджета, и оптовые предприятия-перепродавцы.
- В I квартале 2001 г. значительно улучшилась ситуация с оплатой энергии по сравнению с тем же периодом 2000 года.
- В I квартале 2001 г. не удалось обеспечить выполнение главной задачи энергосбытовой деятельности тАУ недопущение неоплачиваемого отпуска энергии. Уровень оплаты составил только 93 % от начислений.
- Постепенный переход на 100% уровень оплат за потребленную энергию всех групп потребителей.
- Совершенствование договорных отношений с потребителями энергии (переход на расчет с использованием авансовых платежей и увеличением расчетных периодов).
- Основными проблемными потребителями по-прежнему остаются оптовые покупатели-перепродавцы и потребители, финансируемыми и дотируемыми из бюджетов всех уровней.
- Усиление работы с государственными структурами управления, обусловленное ростом тарифов на энергию и изменением структуры дебиторской задолженности.
- Постепенная ликвидация перекрестного субсидирования в тарифах на электроэнергию, предопределяющая необходимость совершенствования работы по сбору платежей от населения.
Выводы:
Перечисленные тенденции предопределяют необходимость усиления энергосбытовой деятельности. Наиболее важными среди них являются:
- совместная работа с Администрациями регионов по планированию расходов бюджетов по оплате за энергию и подготовки Соглашений с гарантией оплаты;
- разработка и проведение во взаимодействии с РЭК эффективной тарифной политики, создающей благоприятные условия для увеличения платежеспособного спроса и сбора денежных средств с потребителей;
- точное планирование начислений авансовых и промежуточных платежей;
- принятие мер по обеспечению равномерного и своевременного поступления средств за отпущенную энергию;
- реализация мер, направленных на снижение дебиторской задолженности;
- принятие эффективных мер по снижению потерь в сетях, как технических, так и коммерческих;
- повышение роли юридических служб в АО-энерго в связи с возросшей потребностью в проведении претензионно-исковой работе с учетом ужесточения требований к потребителям по погашению задолженности.
В целом на 2001 год перед энергосбытовыми службами АО-энерго стоят следующие задачи:
- Реализация программ, направленных на кардинальное снижение дебиторской задолженности в целом по Холдингу на 30 % от уровня по состоянию на 01.01.2001.
- Организация индивидуальной работы с проблемными потребителями из числа финансируемых и дотируемых за счет средств региональных и местных бюджетов, а также оптовых потребителей-перепродавцов.
- Подготовка и организация работы энергосбытовых подразделений в условиях конкурентного рынка электроэнергии и реструктуризации.
- Внедрение новых технологий в информационном обеспечении и существенное улучшение технического обеспечения энергосбытовых подразделений.
- Снижение коммерческих потерь и совершенствование средств учета отпуска энергии.
- Совершенствование системы управления энергопотреблением, обеспечивающей бесперебойное энергоснабжение добросовестных плательщиков.
- Установление нормальных отношений с потребителями, построенных на принципе - потребитель оплативший энергию имеет безусловное право ее получать.
- Кардинальное снижение дебиторской задолженности за потребленную энергию денежными средствами:
до 1-го месяца среднегодового потребления по электроэнергии,
и до 2-х месяцев по тепловой энергии.
Для выполнения этой цели необходимо:
- провести инвентаризацию дебиторской задолженности с целью выявления безнадежной задолженности и разработать программу по работе с ней, включая списание и учет убытков в тарифах;
- разработать программу по погашению дебиторской задолженности потребителей, финансируемых из различных уровней бюджетов;
- наладить взаимодействие с финансовыми службами АО-энерго по обеспечению погашения кредиторской и дебиторской задолженности.
Обеспечение качества сбытовых услуг и технологий:
- повышение качества и количества приборов учета до необходимого уровня, внедрение автоматизированной системы контроля, учета и расчета отпускаемых энергоресурсов;
- разработка правил продажи энергии;
- кардинальное снижение коммерческих потерь.
Формирование нового отношения к потребителю:
- обеспечения надежного и бесперебойного энергоснабжения потребителей, оплативших энергию;
- безусловное выполнение договора энергоснабжения и ГОСТов на поставляемую энергию;
- повышение качества товара (энергии) и услуг, представляемых потребителю;
- разработка программы действий энергосбытовых служб в критических ситуациях (тяжелые погодные условия, нехватка запасов топлива, введение ограничений в больших объемах с ФОРЭМ и т.п.).
Нормализация отношений с ОПП:
- индивидуальная работа и достижение полной управляемости электропотреблением по каждому оптовому потребителю-перепродавцу.
Формирование положительного имиджа энергосбытовой компании.
Освещение всех аспектов энергосбытовой деятельности АО-энерго и всего комплекса услуг, представляемых потребителям энергии, в средствах массовой информации. Подготовка и работа сбытовых организаций в условиях подготовительного этапа преобразований региональных энергетических компаний, в т.ч.:
- разработка программы действий по повышению степени готовности энергосбытовых подразделений к работе в условиях конкурентного рынка электроэнергии;
- подготовка предложений по технологии создания самостоятельных сбытовых компаний с учетом имеющейся программы реализации подготовительного этапа преобразований АО-энерго.
Основная задача новой концепции сбыта энергии основана на формировании у потребителей отношения к электрической и тепловой энергии как к товарной продукции, покупка которой требует своевременной и полной оплаты.
3.4. Тарифная политика.Определенную разновидность цен представляют тарифы на энергию, которые должны обеспечивать возможность возмещения затрат на производство и передачу энергии, выплаты налогов и получения необходимой прибыли для развития предприятия и улучшения социально-экономического положения всех работающих.
Установление оптимального тарифа на электроэнергию заключается в следующем:
- определить такую дифференциацию цен для различных категорий потребителей, которая соответствовала бы, с одной стороны, влиянию графика и других условий потребления электроэнергии на её себестоимость в энергосистемах, с другой тАУ отражала бы в обратной пропорциональности народнохозяйственное значение потребителя;
- стимулировать равномерное и экономичное потребление электроэнергии в течение суток.
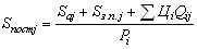
Рассмотрим отдельные положения по формированию тарифов на электроэнергию в энергосистеме. В основу определения структуры тарифа положен традиционный подход, основанный на использовании существующих видов тарифов и сложившейся категорийности потребителей.
Исходя из модели межотраслевого баланса связь цены (тарифа) на энергию с ценами на другие виды продукции можно представить в следующем виде:

где Ц - цена (тариф) на энергию (j - индекс энергетики); vj - заработная плата работников, занятых в энергетике; mj- прибыль в энергообъединении, складывающаяся из части т'j идущей на погашение налогов, и части т"j остающейся в распоряжении предприятия; aij - удельные расходы продукции вида i на производство единицы энергии j; Цi тАФ цена единицы продукции вида i.
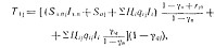
Вышеизложенный методологический подход позволил разработать методику расчета двухставочных и одноставочных тарифов на электроэнергию как без учета, так и с учетом зон графика нагрузки энергосистемы. Известно, что двухставочный тариф формируется из двух ставок:
T = T1 + T2
где Т1 тАФ плата за заявленный максимум, руб/(кВт*ч); Т2тАФплата за потребленную энергию, коп/(кВт*ч).
Первая тарифная ставка рассчитывается на основе постоянных затрат себестоимости

где Sаj тАФ амортизационные отчисления от стоимости основных производственных фондов в части, относимой на производство энергии вида j;
S з.п.j - затраты на заработную плату, относимые на производство энергии вида j;
Qij тАФ материальные затраты вида i, относимые на j-й вид энергии;
Рi тАФ суммарный заявленный максимум.
С учетом индекса цен на топливо, материаВнлы, заработную плату и налога на добавленную стоимость в энергосистеме первая тарифная ставка на энергию может быть определена из выражения

где I з.п. и Ii тАФиндексы заработной платы и i-го компонента материальных затрат; ОіqiтАФ налог на добавленную стоимость в энергосистеме;
qij = Qij/Pj тАФ удельные материальные затраты;
ОіnтАФ ставка налога на прибыль;
rj0тАФминимальный уровень рентабельности по прибыли, остающейся в распоряжении предприятия, по отношению к себестоимости.
Вторая часть тарифа формируется через переменную составляющую себестоимости. С учетом индекса цен на топливо и налога на добавленную стоимость в энергосистеме
![]()
где Sпер j тАУ переменные затраты на единицу энергии;
IT тАУ индекс цен на топливо.
При одноставочном тарифе выплаты рассчитываются по одной из тарифных ставок.
Суммарный объем выручки от реализации определяется из выражения

где п1 тАФ количество потребителей I группы (рассчитывается по тарифу); птАФобщее количество потребителей в системе.
Для формирования тарифов с учетом зоны графика нагрузки расчет себестоимости необходимо проводить по зонам графика, так как его покрытие происходит за счет электростанций различного уровня экономичности. Целесообразно выделить три зоны: I зона тАФ ночной провал графика, II зона тАФ полупик, III зона тАФ пик графика. В каждой зоне определяется суммарная заявленная (договорная) мощность потребителей энергии.
Можно предложить следующие направления совершенствования методов ценообразования в энергетике.
Установление экономически обоснованных тарифов для различных категорий плательщиков, в том числе:
- устранение чрезмерной дифференциации;
- прекращение практики установления тарифов ниже себестоимости (для льготных групп);
- устранение перекрестного субсидирования;
- применение тарифов, дифференцированных по временам года, времени суток;
- тарифные кредиты, т.е. временное снижение тарифов для потребителей, реально осуществляющих энергосбережение
- общее стимулирование промышленного региона с целью увеличения энергопотребления;
- ликвидирование дефицитности энергосистемы;
- активизация деятельности по сокращению издержек производства;
- устранение в перспективе перепродавцов энергии как промежуточных звеньев между производителями и потребителями энергии.
Одним из наиболее значимых аспектов поведения энергетических предприятий в рыночной среде является формирование стратегии тарифообразования. Её можно определить как обоснованный выбор из нескольких вариантов тарифов, направленный на достижение поставленных предприятием целей в рамках планируемого периода.
Исходя из стратегии развития электроэнергетики в России, предпочтение можно отдать следующим стратегиям ценообразования в условиях монополизации рынка, т. е. политике продаж одинаковых товаров различным потребителям по разным ценам:
- Стратегия множественных цен;
- Стратегия сегментации рынка.
Первая заключается в том, что цены определяются в зависимости от индивидуальных кривых рыночного спроса, а не под воздействием рыночного спроса в целом.
Вторая тАУ основана на неоднородности покупательского рынка на различных рынках или сегментах одного рынка.
Таким образом, предельные издержки, стратегия энергосбережения, экологические аспекты должны учитываться в тарифообразующей политике предприятий энергетики.
Существующее разделение потребителей по группам:По электрической энергии Постановлением РЭК от 06.09.00. № 15 установлены тарифы для следующих групп потребителей:
1 группа тАУ Промышленные и приравненные к ним потребители с присоединенной мощностью 750 кВА и выше, которым установлен двухставочный тариф
за установленную в договоре мощность, участвующую в максимуме нагрузки энергосистемы тАУ 101,1 руб/кВт в месяц;
за потребленную электрическую энергию
на первичном напряжении 14,89 коп/кВт*ч;
на вторичном напряжении 15,35 коп/кВт*ч.
2 группа тАУ Промышленные и приравненные к ним потребители с присоединенной мощностью до 750 кВА тАУ 31,7 коп/кВт*ч;
3 группа тАУ Оптовые потребители-перепродавцы тАУ 9,4 коп/кВт*ч;
4 группа тАУ Производственные сельскохозяйственные потребители и соцкульбыт села, финансируемый из бюджета тАУ 20 коп/кВт*ч;
5 группа тАУ Электрифицированный железнодорожный транспорт (электротяга) тАУ 24,4 коп/кВт*ч;
6 группа тАУ Электрифицированный городской транспорт (тяга) тАУ 31,7 коп/кВт*ч;
7 группа тАУ Непромышленные потребители тАУ 31, 7 коп/кВт*ч;
8 группа тАУ Население и приравненные к ним потребители с учетом НДС- 18 коп/кВт*ч;
9 группа тАУ Электробойлерные тАУ 25 коп/кВт*ч;
Среднеотпускной тариф тАУ 27,62 коп/кВт*ч.
По тепловой энергии Постановлением РЭК от 06.09.00. № 15 установлены тарифы для следующих групп потребителей:
1 группа тАУ Промышленные потребители и приравненные к ним.
1а тАУ Промышленность
пар редуцированный и острый тАУ 166,3 руб/Гкал;
пар отборный тАУ 161,11 руб/Гкал;
пром. вода тАУ 161,11 руб/Гкал;
1б тАУ Жилищно-коммунальное хозяйство тАУ 161,11 руб/Гкал;
1в тАУ Жилищно-эксплуатационные организации тАУ 118,8 руб/Гкал;
1г тАУ бюджетные организации 118,8 руб/Гкал;
1д тАУ Все другие, не указанные в вышеперечисленных группах тАУ 236 руб/Гкал;
2 группа тАУ Оптовые потребители-перепродавцы тАУ 118,8 руб/Гкал;
3 группа тАУ ЖСК, ТСЖ, индивидуальные жилые дома тАУ 47,61 руб/Гкал;
4 группа тАУ Теплично-парниковые хозяйства тАУ 78,5 руб/Гкал;
5 группа тАУ Гаражно-строительные кооперативы, мастерские творческих работников тАУ 118,8 руб/Гкал;
Среднеотпускной тариф тАУ 131,02 руб/Гкал.
4. ЗаключениеПосле изучения проблем вопросов, поставленных в курсовой работе, можно сделать следующие выводы:
Сбыт тАФ неотъемлемый элемент процесса маркетинга, так как является завершающей, наиболее ответственной стадией обеспечения потребителя необходимым для него товаром. Он направлен на формирование и поддержание эффективной системы перемещения продукта от производителя до конечного потребителя с минимальными затратами. Основными методами сбыта являются:
а) торговые системы, включающие централизованный и децентрализованный сбыт;
б) собственная или внешняя формы организации продажи (форма сбыта);
в) прямой и непрямой сбыт через торговые посреднические предприятия (пути сбыта).
Основными элементами планирования сбыта являются: подготовка прогнозов общехозяйственной и рыночной конъюнктуры; прогнозное ориентирование объемов сбыта фирмы; разработка финансовой сметы сбыта; установление норм сбыта; селекция каналов распределения товаров; организация торговых коммуникаций (включая выбор месторасположения торговых предприятий); планирование и осуществление коммерческой отчетности; анализ хода и динамики продаж; планирование и оценка деятельности персонала службы сбыта; составление и осуществление плана координации деятельности службы сбыта, связей с другими подразделениями фирмы; разработка плана консультаций и работы с заказчиками и т. д.
Координация деятельности службы сбыта, связей с внутренними подразделениями фирмы и внешними субъектами окружающей среды проводится с целью поддержания эффективного поведения системы сбыта и обеспечения поставки необходимой потребителю продукции в нужное время, в требуемый район, в надлежащем количестве и установленного качества.
Основным средством и инструментом координации является организационная форма, структура службы сбыта, которая отражает размер фирмы, тип и ассортимент товаров, количество и месторасположение покупателей, каналы распределения, методы торговли, права и ответственность от вышестоящего к нижестоящему уровню. В зависимости от сочетания этих факторов фирмы могут использовать следующие формы организации службы сбыта: функциональную, региональную, товарную, отраслевую, комбинированную.
Контроллинг-сбыт является составной частью маркетинг-контроллинга. Цель контроллинга-сбыта состоит в повышении экономической эффективности сбытовой деятельности и самой организации сбыта. Достижение этой цели обеспечивается гибким, оперативным предупреждением недостатков в сбытовой деятельности, их обнаружением и устранением посредством комплекса эффективных мероприятий. Цели контроллинга-сбыта должны быть увязаны и скоординированы с другими сферами контроллинга, такими, как финансовый контроллинг, контроллинг-затрат и результатов, инвестиционный контроллинг, контроллинг производства и т. д.
Основными функциями контроллинга-сбыта являются: планирование, обеспечение информацией, контроль (наблюдение), регулирование (управление).
Стратегический контроллинг-сбыт обеспечивает постоянную степень отдачи, эффективность деятельности предприятия. Оперативный контроллинг-сбыт ориентирован в первую очередь на управление прибылью с помощью контроля и анализа таких факторов, как прибыль, объем сбыта и товарооборота; структура издержек; структура рынка; характеристики сбытовой деятельности.
Основными особенностями энергетики и её продукции являются:
- Спрос на энергию зависит от уровня экономического развития региона;
- Производство и потребление электроэнергии (и в большой степени тепловой энергии) совпадают во времени. Отсюда важность точного прогнозирования спроса;
- Качество электроэнергии, если оно отвечает имеющимся стандартам, нельзя в отличие от других продуктов и товаров улучшить. Ограничены возможности улучшения качества и тепловой энергии. Отсюда вытекает возможность только ценовой конкуренции.
- В электроэнергетике товаром особого рода, следовательно, предметом спроса является не только электрическая и тепловая энергия, но и мощность. Это означает, что объектом маркетинга является режим потребления электрической и тепловой энергии в целом: в суточном, недельном и сезонном (годовом) аспектах.
- Технические и экономические возможности передачи энергии на большие расстояния ограничены, что ограничивает возможности экспорта тАФ импорта энергии.
- В современных условиях энергетическая система (ПОЭЭ) обладает естественной монополией на энергоснабжение обслуживаемой территории. Естественная монополия объективно приводит к практически полному отсутствию конкурентной борьбы и необходимости государственного регулирования цен на электрическую и тепловую энергию.
- В условиях естественной монополии отрасли рынок тАУ это рынок особого вида, где продавец и покупатели вынуждены быть партнерами не только в процессе куплитАФпродажи энергии, но и в выявлении закономерностей спроса на нее.
Энергосбытовая деятельность - это управленческая деятельность по выработке и принятию управленческих решений, обеспечивающих эффективные продажи произведенной энергоснабжающей организацией энергии потребителям (абонентам).
Обязательными для Энергосбыта являются следующие виды деятельности:
- реализация электрической и тепловой энергии и мощности Общества по тарифам, установленным постановлениями органов государственного регулирования тарифов в соответствии с действующим законодательством о государственном регулировании тарифов на электрическую и тепловую энергию;
- обеспечение энергоснабжения потребителей в соответствии с заключенными договорами;
- безусловное исполнение диспетчерских распоряжений, отраслевых норм и правил по устройству и условиям безопасности эксплуатации энергоустановок.
Имеют место следующие проблемы в сфере энергосбытовой деятельности:
- преобладание неденежных расчетов
- отсутствие маркетинговой политики и игнорирование интересов потребителей.
- неплатежи потребителей энергии.
- недостаточный уровень тарифов, зачастую не обеспечивающий положительный уровень рентабельности в АО-энерго;
- плохо организованный учет потребляемой энергии, а также потери энергии вследствие хищений.
В целом на год перед энергосбытовыми службами АО-энерго стоят следующие задачи:
- Реализация программ, направленных на кардинальное снижение дебиторской
- Организация индивидуальной работы с проблемными потребителями из числа финансируемых и дотируемых за счет средств региональных и местных бюджетов, а также оптовых потребителей-перепродавцов.
- Подготовка и организация работы энергосбытовых подразделений в условиях конкурентного рынка электроэнергии и реструктуризации.
- Внедрение новых технологий в информационном обеспечении и существенное улучшение технического обеспечения энергосбытовых подразделений.
- Снижение коммерческих потерь и совершенствование средств учета отпуска энергии.
- Совершенствование системы управления энергопотреблением, обеспечивающей бесперебойное энергоснабжение добросовестных плательщиков.
- Установление нормальных отношений с потребителями, построенных на принципе - потребитель оплативший энергию имеет безусловное право ее получать.
- Кардинальное снижение дебиторской задолженности за потребленную энергию денежными средствами:
- Обеспечение качества сбытовых услуг и технологий:
- Формирование нового отношения к потребителю:
- Нормализация отношений с оптовыми потребителями-перепродавцами
- Формирование положительного имиджа энергосбытовой компании.
Задачей тарифной политики является становление экономически обоснованных тарифов для различных категорий плательщиков, в том числе:
- устранение чрезмерной дифференциации;
- прекращение практики установления тарифов ниже себестоимости (для льготных групп);
- устранение перекрестного субсидирования;
- применение тарифов, дифференцированных по временам года, времени суток;
- тарифные кредиты, т.е. временное снижение тарифов для потребителей, реально осуществляющих энергосбережение
- общее стимулирование промышленного региона с целью увеличения энергопотребления;
- ликвидирование дефицитности энергосистемы;
- активизация деятельности по сокращению издержек производства;
- устранение в перспективе перепродавцов энергии как промежуточных звеньев между производителями и потребителями энергии.
- Маркетинг : Учебник для вузов / Г.Л. Багиев, В.М. Тарасевич, Х. Анн; под общ. ред. Г.Л. Багиева. тАУ М.: ОАО ВлИзд-во тАЬЭкономикатАЭВ», 1999 г. тАУ703 с.
- Багиев Г.Л. и др. Маркетинговая концепция взаимоотношений между энергосистемой и потребителями электроэнергии. // Промышленная энергетика тАУ 1993.-№8 тАУ с.4 - 9.
- Коган Ю.М. Особенности маркетинга в электроэнергетике. // Электрические станции тАУ 1993 - №5 тАУ с.10 тАУ 15.
- Лещинер Р.Е., Петровский Е.С., Любимова Н.Т. Особенности маркетинга в энергетике. // Энергетическое строительство. тАУ1994 тАУ №2 тАУ с.47.
- Денисов В.И., Кузовкин А.И., Яркин Е.В. Методы дифференциации тарифов на электрическую энергию по зонам времени. // Промышленная энергетика тАУ 2000 - №9 тАУ с.2 тАУ 6.
- Смирнова Т. Л. Сбалансированные тарифы на электроэнергию на потребительском рынке. // Электрические станции тАУ 1999 - №3 тАУ с. 3 - 4.
- Бизнес-план энергосбытовой деятельности ОАО ВлКрасноярскэнергоВ».
- Программа энергосбережения в отрасли ВлэлектроэнергетикаВ» на 1999-2000 годы и на перспективу до 2005 и 2010 гг.
Вместе с этим смотрят:
Сегментация рынкаСегментирование рынка
Сервис гостеприимства
Скидки с цены