Конкурентоспособность

Cодержание ВведениетАжтАжтАжтАжтАжтАжтАжтАжтАжтАжтАжтАжтАжтАжтАжтАжтАжтАжтАжтАжтАжтАжтАжтАжтАжтАжтАжтАж..3
  1. Понятие конкурентоспособноститАжтАжтАжтАжтАжтАжтАжтАжтАжтАжтАжтАжтАжтАжтАжтАжтАж.4
  2. Формирование стратегии конкурентоспособности фирмтАжтАжтАжтАжтАжтАжтАж.6
  3. Составляющие конкурентоспособноститАжтАжтАжтАжтАжтАжтАжтАжтАжтАжтАжтАжтАжтАж11
    1. Качество продукции и услугтАжтАжтАжтАжтАжтАжтАжтАжтАжтАжтАжтАжтАжтАжтАж.12
    2. Эффективная рыночная стратегия и реалистичные планытАжтАжтАж13
    3. Уровень квалификации персонала и менеджментатАжтАжтАжтАжтАжтАжтАжтАж.14
    4. Технологический уровень производстватАжтАжтАжтАжтАжтАжтАжтАжтАжтАжтАжтАж.15
    5. Налоги и отчисления во внебюджетные фондытАжтАжтАжтАжтАжтАжтАжтАжтАж.16
    6. Таможенное регулированиетАжтАжтАжтАжтАжтАжтАжтАжтАжтАжтАжтАжтАжтАжтАжтАжтАж..19
    7. Доступность коммерческих источников финансированиятАжтАжтАжтАжтАж.20
    8. Государственные источники финансированиятАжтАжтАжтАжтАжтАжтАжтАжтАжтАж21
  4. Методы оценки конкурентоспособноститАжтАжтАжтАжтАжтАжтАжтАжтАжтАжтАжтАжтАж.24

ЗаключениетАжтАжтАжтАжтАжтАжтАжтАжтАжтАжтАжтАжтАжтАжтАжтАжтАжтАжтАжтАжтАжтАжтАжтАжтАжтАжтАж28

ЛитературатАжтАжтАжтАжтАжтАжтАжтАжтАжтАжтАжтАжтАжтАжтАжтАжтАжтАжтАжтАжтАжтАжтАжтАжтАж.29

ВВЕДЕНИЕ

Россия - часть мировой экономики, и это свершившийся факт.

Промышленность - основа экономического потенциала страны. Только конкурентоспособная промышленность в состоянии обеспечить конкурентоспособность экономики страны в целом. Промышленная политика Правительства РФ: разрабатываемые программы и законодательные акты, процедуры государственного регулирования и мероприятия государственной поддержки должны быть подчинены главной и приоритетной цели - созданию условий для обеспечения конкурентоспособности российских предприятий, а, следовательно, конкурентоспособности экономики страны в целом.

Конкурентоспособность российской промышленности - это та идея, которая может объединить людей, независимо от их политических предпочтений и положения в обществе.

Результатом создания конкурентоспособной промышленности будет:

  1. Развитие внутреннего рынка и рост ВВП;
  2. Рост экспорта и валютных поступлений в независимости от состояния международных сырьевых рынков;
  3. Стабильные налоговые поступления в бюджет;
  4. Рациональное использование природных ресурсов, вследствие обеспечения глубокой переработки сырья;
  5. Сохранение и развитие научно-технического потенциала страны;
  6. Занятость населения;
  7. Социальная и политическая стабильность;
  8. Заслуженное положение России на международной арене как великой экономической державы.
1. Понятие конкурентоспособности

Конечная цель всякой фирмы тАФ победа в конкурентной борьбе. Победа не разовая, не случайная, а как закономерный итог постоянных и грамотных усилий фирмы. Достигается она или нет тАФ зависит от конкурентоспособности товаров и услуг фирмы, т. е. от того, насколько они лучше по сравнению с аналогами тАФ продукцией и услугами других фирм. В чем же сущность этой категории рыночной экономики и почему она при всех стараниях любой фирмы не может быть жестко гарантироВнвана?

Обычно под конкурентоспособностью товара понимают некую отВнносительную интегральную характеристику, отражающую его отличия от товара-конкурента и, соответственно, определяющую его привлекаВнтельность в глазах потребителя. Но вся проблема заключается в правильВнном определении содержания этой характеристики. Все заблуждения наВнчинаются именно здесь.

Большинство новичков сосредотачивается на параметрах товара и затем для оценки конкурентоспособности сопоставляет между собой неВнкоторые интегральные характеристики такой оценки для разных конкуВнрирующих товаров. Нередко эта оценка просто-напросто охватывает поВнказатели качества, и тогда (нередкий случай) оценка конкурентоспособности подменяется сравнительной оценкой качества конкурирующих аналогов. Практика же мирового рынка наглядно доказывает неверность такого подхода. Более того, исследования многих товарных рынков одВннозначно показывают, что конечное решение о покупке только на треть связано с показателями качества товара. А другие две трети? Они связаВнны со значительными и достаточно весомыми для потребителя условияВнми приобретения и будущего использования товара.

Чтобы полнее понять существо проблемы, вычленим несколько важВнных следствий этого положения.

1. Конкурентоспособность включает три основные составляющие. Одна из них жестко связана с изделием как таковым и в значительной мере сводится к качеству. Другая связана как с экономикой создания сбыта и сервиса товара, так и с экономическими возможностями и ограВнничениями потребителя. Наконец, третья отражает все то, что может быть приятно или неприятно потребителю как покупателю, как человеВнку, как члену той или иной социальной группы и т. д.

2. Покупатель тАФ главный оценщик товара. А это приводит к очень важной в рыночных условиях истине: все элементы конкурентоспособВнности товара должны быть настолько очевидны потенциальному покуВнпателю, чтобы не могло возникнуть малейшего сомнения или иного толкования в отношении любого из них. Когда мы формируем "компВнлекс конкурентоспособности", в рекламе очень важно учитывать осоВнбенности психологического воспитания и интеллектуальный уровень потребителей, многие другие факторы личного характера. Интересный факт: почти все зарубежные пособия по рекламе особо выделяют матеВнриал, связанный с рекламой в малограмотной или интеллектуально неВнразвитой аудитории.

3. Как известно, каждый рынок характеризуется "своим" покупатеВнлем. Поэтому изначально неправомерна идея о некой абсолютной, не связанной с конкретным рынком, конкурентоспособности.

О чем говорит практика? Коль сформирован определенный общий взгляд на конкурентоспособность, попробуем обратиться к разбору пракВнтического примера. Возможно, он в чем-то обогатит общее определение, а вкупе со всем тем, что мы уже знаем, позволит составить достаточно полное представление об обсуждаемом предмете.

В ожесточенной борьбе американских и японских производителей почти на всех рынках передовых технологий позиции японцев пока выгВнлядят предпочтительнее. За счет чего? Почти единодушный ответ в 70-е годы был таким: цена и качество. Но уже десятилетие назад уровень сбытовой, рекламной и сервисной культуры японских фирм стал приВнвлекать все большее внимание маркетологов всего мира. А сегодня уже говорят и о том, что "философия качества", характерная для японцев, становится лишь составной частью формирующейся ныне их собственВнной "философии обслуживания". Все это более или менее совпадает с основными позициями, отмечавшимися ранее. Но вот что интересно: ряд американских исследователей и бизнесменов давно и упорно говорят о том, что Япония быстрее сформировала путем умелой пропаганды мнеВнние о высочайшем качестве своих товаров, нежели действительно покаВнзывает его на практике.

Даже допуская здесь значительную (и весьма!) долю преувеличеВнния и уязвленного самолюбия, заметим, что в целом "имидж страны" дает ощутимую прибавку к конкурентоспособности ее товаров.

Рыночное хозяйство, а вслед за ним и его ученые давно и хорошо поняли, что пытаться схематически выразить конкурентоспособность товара тАФ это все равно что пытаться схемой показать всю сложность и все тонкости рыночного процесса. Для них конкурентоспособность стала поэтому просто удобным, концентрирующим внимание и мысль термиВнном, за которым выстраивается все разнообразие стратегических и такВнтических приемов менеджмента в целом и маркетинга в частности. КонВнкурентоспособность тАФ не показатель, уровень которого можно вычисВнлить для себя и для конкурента, а потом победить. Прежде всего тАФ это философия работы в условиях рынка, ориентирующая на:

понимание нужд потребителя и тенденций их развития;

знание поведения и возможностей конкурентов;

знание состояния и тенденций развития рынка;

знание окружающей среды и ее тенденций;

умение создать такой товар и так довести его до потребителя,

чтобы потребитель предпочел его товару конкурента.

2. Формирование стратегии конкурентоспособности фирм

Чтобы создать конкурентоспособное предприятие, надо не просто модернизировать производство и управление, но и четко знать, для чего это делается, какая цель должна быть достигнута. Главным при этом должно быть одно: умение определить, быстро и эффективно использоВнвать в конкурентной борьбе свои сравнительные преимущества. Все усиВнлия необходимо направить на развитие тех сторон, которые выгодно отличают вас от потенциальных или реальных конкурентов. Недаром многие ведущие фирмы сформулировали свои сравнительные преимуВнщества в виде лозунгов, правил, которым должны следовать все ее раВнботники.

Ведущие компании мира своим успехом обязаны именно этому. Всемирно известный "Роллс-Ройс" тАФ производитель автомобилей класВнса "люкс", предназначенных исключительно для элиты по всем своим параметрам: от шикарной отделки салона до надежной работы двигатеВнля, собранного вручную. "Феррари" знаменита высокими скоростными качествами и техническим уровнем своих автомобилей. "Тойота" тАФ закоВннодательница мод в автомобильном бизнесе благодаря высокой надежВнности своих малолитражек. Лозунг фирмы: "Тойота" тАФ автомобили без дефектов!"

Четкая ориентация на свои сравнительные преимущества в конкуВнренции, неустанный их поиск как внутри предприятия, так и вне его предопределяют набор функций, выполняемых аппаратом управления ведущих компаний, состав их управленческих и инженерных подраздеВнлений, подходы к разработке хозяйственной стратегии.

Преимуществом "Хьюлетт-Паккард" всегда была опора на новые виды продукции, на собственные патенты, обеспечивающие фирме исВнключительность. Конкуренция по линии нововведений путем производВнства таких изделий, каких никто больше создать не может, предопредеВнлила формирование и развитие в рамках компании мощных подразделеВнний и служб НИОКР. Вопреки расхожему мнению продукция ИБМ далеко не всегда опережала по своему техническому уровню или качеВнству изделия основных конкурентов. Однако за счет лучшего техничесВнкого обслуживания своих компьютеров и внесения в их конструкцию изменений, намного облегчающих ремонт, ИБМ удавалось многие десяВнтилетия успешно вести конкуренцию. Девиз компании: "ИБМ тАФ это лучшее в мире обслуживание!" Точно также "Катерпиллер" завоевал репутацию фирмы, выпускающей самые надежные тракторы и грузовиВнки, не только благодаря их совершенной конструкции, но и путем соВнздания первоклассной системы снабжения потребителей запасными часВнтями. Недаром ее лозунг: "Катерпиллер" тАФ гарантия поставки запчастей в любую точку земного шара в течение 48 часов!"

Если можно коротко дать ответ на вопрос о том, как создать на предприятии производство мирового класса, он звучал бы так: для этого надо стать лучшим в мире в избранной отрасли или на рынке, на котоВнрый работаете, хотя бы по одному важному аспекту производственной деятельности. А для этого надо, в свою очередь, ответить на вопрос: в чем должны или в чем могут состоять сравнительные преимущества ваВншего предприятия в конкурентной борьбе, на какие аспекты производВнства или хозяйственной деятельности надлежит обратить внимание в первую очередь (например, издержки производства и цена, качество, надежность, технический уровень, уровень обслуживания, гибкость проВнизводства и т. п.)?

В целом можно выделить четыре основных уровня или степени конВнкурентоспособности предприятия. Руководство предприятия первого уровня рассматривает организацию управления как нечто внутренне нейВнтральное. Свою роль руководители видят только в том, чтобы давать продукцию, не заботясь ни о каких сюрпризах для конкурентов и поВнтребителей. Они настолько уверены в совершенстве конструкции или техническом уровне своей продукции, в явных преимуществах ее по сравнению с изделиями конкурентов, в мощи своих сбытовых подраздеВнлений и службы маркетинга, что готовы осчастливить покупателя, лишь поставляя заявленные в рекламе товары. Любые дополнительные улучВншения на производстве или в управлении считаются излишеством.

Хотя такой подход в высшей степени наивен, он может принести предприятию успех, если оно сумеет найти на рынке нишу, которая убережет от немедленной конкуренции. Но как только предприятие или фирма начинают расти, увеличивать масштабы своего производства, моВнжет случиться следующее: предприятие перерастет нишу рынка, на коВнторую первоначально работало, и вступит в конкуренцию на другом его сегменте или первоначальная ниша разовьется в растущий рынок и стаВннет привлекательной для других производителей. Тут уже одним умениВнем просто выпускать продукцию не обойдешься. Нужно позаботиться о получении сравнительных преимуществ, о том, чтобы превзойти станВндарты, предложенные конкурентами в области цен, издержек производВнства, качества, точности поставок, уровня обслуживания и т. п.

Поэтому компании второго уровня (степени) конкурентоспоВнсобности стремятся сделать свои производственные системы "внешне нейВнтральными". Это означает, что предприятия должны полностью соответВнствовать стандартам, установленным их основными конкурентами. Они стремятся максимально заимствовать технические приемы, технологии, методы организации производства у ведущих предприятий отрасли и использовать у себя, приобретать сырье и материалы, полуфабрикаты и комплектующие изделия из тех же источников, что и их главные конкуВнренты. Они следуют тем же принципам и подходам в управлении качеВнством продукции и в контроле за уровнем запасов и внутрипроизводВнственных заделов, устанавливают такие же по характеру отношения с работниками на своем производстве. Мало того, они стремятся приглаВнсить к себе на работу, если понадобится, управляющих и специалистов, особенно инженерно-технических работников, из других компаний этой же отрасли, полагаясь в основном на их квалификацию и чисто профессиональные качества, без учета специфики конкретного предприятия или производства. И некоторые компании неизбежно оказываются в сиВнтуации, когда подобные стереотипы делового поведения, целиком базиВнрующиеся на заимствовании передового опыта, уже не работают, не прибавляют конкурентоспособности предприятиям данной фирмы даже при незначительном усилии внутриотраслевой конкуренции.

Перед руководством таких компаний неизбежно встает вопрос: если их предприятия имеют другие сравнительные преимущества в конкуренВнции на рынке, чем их основные соперники, то почему нужно обязательВнно придерживаться общих стандартов производства, установившихся в отрасли?

Те, кто находит правильные ответы, обычно эволюционируют до третьего уровня конкурентоспособности, управление начинает активВнно воздействовать на производственные системы, содействует их развиВнтию и совершенствованию. Производство становится, так сказать, "подВндерживаемым изнутри" всеми другими подразделениями организации

Но для некоторых фирм и это оказывается недостаточным. Ясно, что авиакомпания, обслуживающая местные авиалинии, стремится к максимальной гибкости и оперативности в организации обслуживания пассажиров. Поэтому вероятнее всего она выберет совсем другой тип авиалайнера, чем крупная авиакомпания, обслуживающая всю территоВнрию США. Это вовсе не означает, что благодаря такому шагу крупная авиакомпания получит сравнительные преимущества перед мелкой, имеВнющей то же самое оборудование. В данном случае успех будет целиком зависеть от того, насколько эффективно каждая из компаний используВнет одну и ту же технику, какими сравнительными преимуществами обладает не только производственная структура предприятия, но и ее сисВнтема управления. Иначе говоря, успех в конкурентной борьбе становится уже функцией не столько производства, сколько управления, и чуть ли не целиком зависит от качества, эффективности управления и организаВнции производства в самом широком смысле. Это может быть и более экономичный аппарат управления, и более высокая оперативность в   принятии решений, лучшая мотивация работников и т. п.

Производственная система в такого рода компаниях становится, так сказать, "поддерживаемой извне", эффективность ее определяется не столько внутренними факторами, включая управленческие (наприВнмер, идеальное производственное планирование или управление качеВнством), сколько внешними (качество организации и эффективность саВнмой системы управления).

Компании, которым удалось достичь этой четвертой степени конкурентоспособности, оказываются впереди конкурентов на многие годы. Они не только стремятся копировать опыт других фирм данной отрасли, не просто хотят превзойти самые жесткие из существующих здесь стандартов, но готовы бросить вызов любому конкуренту в любом аспекте производства или управления. Именно они и называются предВнприятиями с производством мирового класса.

Многочисленные прогнозные обследования, проведенные западными специалистами во второй половине 80-х годов, однозначно показали, что в ближайшее десятилетие устойчивые позиции на меняющемся и усложняющемся рынке смогут занять только те компании, производственно-управленческий потенциал которых позволит им согласованно решать ряд задач, считавшихся практически взаимоисключающими.

Это прежде всего относится к постоянному обновлению ассортиВнмента выпускаемой продукции, безостановочной разработке и быстрому освоению новых образцов изделий и одновременно наращиванию проВнизводительности труда, повышению гибкости производства, эффективВнности, снижению всех видов издержек и затрат. Особое место занимают обеспечение стабильного роста качества и надежности новых изделий при одновременном снижении цен на новые виды продукции. Курс беВнрется на повышение производственной, творческой отдачи и активности персонала при ориентации на удельное сокращение численности произВнводственных и управленческих работников. Все это практически означает выпуск как можно большего количества новых, пользующихся повыВншенным спросом изделий, цены на которые будут ниже, чем у конкуВнрентов, а качественные и эксплуатационные характеристики и надежВнность тАФ выше.

Каким же образом крупные промышленные компании развитых стран Запада планируют обеспечить решение этих задач? В какие области будет в предстоящее десятилетие направлена подавляющая доля финанВнсовых и материальных ресурсов, имеющихся в распоряжении промышВнленных компаний и банков? В каком направлении будет развиваться система управления производством?

Ответы на эти вопросы помогут выявить некие общие контуры производственной, технологической и управленческой стратегии переВндовых западных фирм, реализация которой призвана помочь им закреВнпиться на уже завоеванных и новых рынках.

Конечным результатом, как считают управленческие стратеги ЗаВнпада, должно стать создание производственных систем нового поколеВнния, которые будут работать в режиме так называемого "нововведенческого конвейера". Суть этого подхода заключается в том, чтобы нацелить предприятия, во-первых, на постоянное внедрение в производство новых, более совершенных изделий, во-вторых, на неуклонное сокращеВнние всех видов затрат на производство продукции, в-третьих, на повыВншение качественных и потребительских характеристик при снижении цен на выпускаемые изделия.

По существу, ставится задача объединить в рамках хозяйственных комплексов нового типа гибкость и адаптивность мелкосерийного проВнизводства с низкими издержками и высокой производительностью труВнда массового производства. Считается, что такое сочетание позволит обесВнпечить не только стабилизацию, но и снижение издержек во всех звеньВнях производственно-сбытовой цепочки при постоянном внедрении в сеВнрийное производство новых изделий, расширении номенклатуры выпусВнкаемой продукции и изменении ассортимента, что и должно в итоге создать условия для победы в конкурентной борьбе.

Чтобы в наиболее короткие сроки с минимальными вложениями выйти на намеченные рубежи, многие западные компании собираются сосредоточить усилия на трех главных направлениях, комплексной автоВнматизации производственных процессов, совершенствовании форм и меВнтодов управления, включая организацию производства и развитие технико-экономической базы, развитии кадрового потенциала при одноВнвременном повышении квалификации, активности и лояльности кажВндого работника. Именно такая конкуренция ресурсов считается наиболее перспективной для того, чтобы создать адаптивные производственные системы нового поколения, которые еще недавно существовали только в теории.

При совпадении общих стратегических направлений борьбы за лиВндерство существуют и некоторые особенности в подходах ведущих японВнских и американских компаний к тому, как обеспечить свое преимущеВнство в экономическом соперничестве на мировом рынке. Например, спеВнцифика японского подхода состоит в том, что автоматизация и компьюВнтеризация производства не рассматриваются как самоцель и безусловная гарантия успеха. Более того, специальные и весьма настойчивые усилия предпринимаются для того, чтобы при переходе на выпуск все более сложных и совершенных в техническом отношении изделий резко сниВнзить техническую, технологическую и организационную сложность их изготовления. Чтобы обойти своих конкурентов, предполагается по-иноВнму рассматривать приоритеты в ходе создания базовых предпосылок для победы в конкурентной борьбе. С этой целью запланировано привести в действие по меньшей мере две "секретные" пружины, которые должны обеспечить японским компаниям необходимое ускорение.

Особенностью действия первой из них является разработка такой технологии и такой организации производства, чтобы изготавливать любые, даже самые сложные изделия на основе стандартов, простых и легко управляемых наборов операций, осуществляемых на универсальВнном, гибком и в широком диапазоне переналаживаемом оборудовании. Основная идея японского подхода состоит в том, чтобы при общей ориВнентации на повышение уровня автоматизации в максимальной степени упростить и рационализировать работу производственных подразделеВнний, благодаря тщательной подготовке производства добиться минимиВнзации числа отклонений и четко рассчитанного хода производственного процесса.

Второй "секретной" пружиной новой стратегии является создание организационно-управленческих условий для того, чтобы все или поВндавляющее большинство отклонений обнаруживались и урегулировались непосредственно производственным персоналом на уровне рабочего месВнта, участка, цеха. В результате планируется создать механизм управлеВнния, который как бы осуществлял саморегулирование "снизу".

Чтобы реализация такого подхода стала возможной на практике, планируется наряду с автоматизацией сконцентрировать усилия и ресурВнсы на разработке новых технологических процессов, позволяющих оргаВннизовать ускоренный переход на производство новых изделий и изгоВнтовление мелких партий на принципах крупносерийного и массового производства.

Несколько иной подход использовали многие крупнейшие америВнканские компании, которые для обеспечения преимущества в конкуренВнтной борьбе с середины 80-х годов сделали главную ставку на ускоренВнную широкомасштабную автоматизацию и компьютеризацию всех виВндов производственных и управленческих операций. Суть этого подхода состоит в том, чтобы добиться рационального функционирования проВнизводственных подразделений за счет руководства "сверху", через создаВнние адаптивных информационных систем, сложного набора оптимизаВнционных моделей и количественных методов, способных быстро обнаруВнжить и предложить вариант ликвидации любого незапланированного отВнклонения на том или ином этапе производственно-сбытового цикла.

Однако уже сегодня становится ясным, что параллельное проведеВнние полной автоматизации и информатизации, т. е. реализация на пракВнтике концепции так называемого "завода будущего", требует огромных объемов инвестиций, но далеко не всегда дает ожидаемый результат, если осуществляется изолированно, без соответствующей перестройки всего комплекса организационно-управленческих факторов, влияющих на производственно-сбытовую деятельность.

При ориентации на сверхавтоматизацию возникает реальная опасВнность того, что слишком сильный "крен" в сторону суперсложных информационных систем не обеспечит условий для опережающего соверВншенствования и упрощения технологии и производственных процессов, внедрения новых методов организации производства, использования реВнзервов, заложенных в "человеческом факторе". В результате может полуВнчиться, как это, например, случилось в некоторых крупнейших автомоВнбильных компаниях США, что сверхавтоматизация вместо экономии и роста эффективности стала одной из причин крупных убытков. Кроме того, сравнительный анализ опыта крупных американских и японских компаний, выпускающих сложную в техническом отношении продукВнцию, показал, что инвестиции в повышение квалификации и соверВншенствование организационно-управленческой составляющей дают во много раз более высокий экономический эффект, чем просто инвестиВнции в автоматизацию основного производства.

3. Составляющие конкурентоспособности

Конкурентоспособность предприятия определяется следующими факторами:

  1. Качество продукции и услуг;
  2. Наличие эффективной стратегии маркетинга и сбыта;
  3. Уровень квалификации персонала и менеджмента;
  4. Технологический уровень производства;
  5. Налоговая среда, в которой действует предприятие;
  6. Доступность источников финансирования.

Чтобы определить первоочередные меры по реформированию промышленности, следует определить причины потери конкурентоспособности российскими предприятиями.

3.1. Качество продукции и услуг

Традиционно низкое качество российских товаров есть не следствие национальной неспособности россиян создавать и производить качественную продукцию. Нет никаких серьезных причин, чтобы не усовершенствовать или не создать принципиально новый продукт, отвечающий требованиям рынка. Если же уровень развития инженерно-конструкторской службы предприятия не позволяет создать конкурентоспособный продукт собственными силами, то ничто не мешает обратиться к другим, лидирующим на рынке, предприятиям с предложением о приобретении лицензии. Эта практика с успехом применялась предприятиями таких стран, как Китай, Южная Корея и многих других. Причем предприятия этих стран исторически значительно уступали российским в технологическом уровне и инженерно-конструкторских традициях. Одной из наиболее часто называемых причин неспособности российских предприятий производить качественную и конкурентоспособную продукцию является устаревшее технологическое оборудование. Но что мешает приобрести новейшее оборудование сегодня, когда границы открыты и любое самое современное оборудование доступно? С другой стороны, предприятие не располагающее требуемым технологическим оборудованием сегодня, может заказать производство необходимых деталей и узлов другим производителям, имеющим необходимое оборудование.

Обеспечение контроля качества продукции на всех стадиях его производства также является не столько технической проблемой, сколько организационно-управленческой. На рынке России присутствуют консультационные компании, с успехом оказывающие услуги по подготовке предприятия и внедрению систем управления качеством в соответствии со стандартами ISO9000.

В России существует огромный невостребованный инновационный потенциал, который может служить источником идей и новых продуктов для промышленности. Авторы разработок пытаются найти возможность организовать производство и сбыт оригинальной и конкурентоспособной продукции, базирующейся на новейших изобретениях. Шансы изобретателя привлечь капитал только под идею нового продукта значительно ниже, чем возможности промышленного предприятия, планирующего освоить производство нового продукта, располагающего опытом, производственными мощностями и квалифицированным персоналом. Однако примеров эффективного сотрудничества ученых и промышленников практически нет. Причина в том, что в нашей стране недостаточно развиты механизмы венчурного финансирования. Например, в Тайване законодательно определено, что автор разработки может получить от корпорации, которой переданы права на производство и сбыт продукции на базе его изобретения, до 15% так называемых технических акций предприятия.

Таким образом, российские предприятия имеют все условия и возможности для решения задачи создания новой конкурентоспособной продукции и обеспечения высокого качества ее производства. Причем эта проблема может быть решена администрацией предприятия посредством исключительно организационно - управленческих мер.

3.2. Эффективная рыночная стратегия и реалистичные планы

Многие предприятия, имеющие необходимый технологический потенциал и способные производить качественные продукты, не в состоянии эффективно действовать на рынке. Зачастую это вызвано тем, что предприятие не имеет четкой стратегии, ориентированной на определенные целевые группы потребителей, разработанной с учетом конкурентных преимуществ и существующих возможностей предприятия, включая: опыт работы в определенной отрасли, научно-технический потенциал, организационные и финансовые возможности.

Деятельность предприятия на свободном рынке справедливо сравнивают с действиями армии на фронте. Действительно, работа предприятия в условиях свободного рынка ни что иное, как участие в жестокой войне, результатом которой может быть либо выживание и развитие предприятия, либо его банкротство. Любая армия обречена на поражение, если ее руководители бросят своих солдат в атаку на противника без предварительной разведки ситуации, определенной стратегии и четкого плана действий. Многие ли российские предприятия имеют корпоративную стратегию и планы своего развития? В масштабах страны тАУ единицы из тысяч! Если у директора появился план, то возникает и необходимость его выполнения. Есть план тАУ будут продуманные действия, а не рефлексивная суета. С другой стороны, план позволяет определить критерии и контролировать эффективность работы менеджмента. Безусловно, идеальных планов, которые будут выполнены в точности, как это задумывалось первоначально, не существует. Планы разрабатываются для определения стратегии и тактики, а жизнь регулярно вносит в них свои коррективы. Однако следует понимать, что для руководителей предприятий важен сам процесс планирования как таковой. Он позволяет мобилизовать необходимые ресурсы для достижения совершенно определенных целей и превратить процесс принятия управленческих решений из хаотичного в хорошо организованный, последовательный и логичный. Таким образом, планирование - это не шаг назад, а взгляд в будущее, необходимый для развития предприятия в условиях рынка и обеспечения его конкурентоспособности.

Предприятие, не имеющее стратегии и конкретного плана действий, не может быть оценено инвесторами с точки зрения бизнеса, с учетом прогноза будущих доходов. Такое предприятие представляет собой просто набор активов, отягощенных обязательствами. Другими словами, наличие корпоративной стратегии обеспечивает формирование рыночной стоимости предприятия.

3.3. Уровень квалификации персонала и менеджмента

В отличие от развивающихся стран, одним из важнейших факторов, определяющих потенциал российских предприятий, является уровень квалификации персонала. Высокий уровень базового образования позволяет специалистам предприятий быстро обучаться, осваивать новые профессии и обретать навыки, необходимые для работы в условиях рынка. Таким образом, наличие квалифицированного персонала является существенным преимуществом, способствующим обеспечению конкурентоспособности российских предприятий.

Уровень квалификации менеджмента играет наиболее важную роль в обеспечении конкурентоспособности предприятий. Данная проблема может быть решена двумя путями: первый - повышение квалификации существующих управляющих, и второй - замена управляющих новыми, более квалифицированными. Замена управляющих, на первый взгляд, наиболее простой и эффективный путь. Однако опыт показывает, что это не совсем верно. Во-первых, сегодня непросто подобрать квалифицированного менеджера, способного действовать в существующих условиях, тем более, проводить изменения, требующие серьезных знаний и опыта управления в условиях рынка. Попытки создания в стране класса антикризисных управляющих, посредством обучения всех желающих на интенсивных краткосрочных курсах, не принесли ожидаемых результатов. Квалифицированных менеджеров с опытом антикризисного управления в России не существует, им просто неоткуда взяться. В нашей стране существует не более нескольких десятков предприятий, управляющие которых успешно преодолели кризис и создали системы менеджмента, полностью отвечающие требованиям рыночной экономики. Попытки привлечения иностранных менеджеров часто не оправдывают себя вследствие существенных культурных различий и особенностей российского менталитета. Однако имеет смысл обратить внимание на опыт того же Тайваня, где общее руководство предприятиями осуществляют местные специалисты, а маркетингом и сбытом занимаются высококвалифицированные специалисты из США и Европы.

Более реальным способом решения проблемы квалификации менеджмента является переподготовка существующих управляющих и создание механизмов естественной ротации кадров, несмотря на то, что это более эволюционный и длительный процесс. При этом необходимо учитывать следующие обстоятельства: руководитель высшего звена предприятия не имеет возможности оставить предприятие на длительный период времени; базовый уровень образования руководителей предприятий высок, и это определяет их способность быстро и легко осваивать новые знания и навыки. Учитывая вышесказанное, переподготовка действующих руководителей предприятий может осуществляться преимущественно двумя способами: во-первых, это интенсивные, практически ориентированные учебные курсы (тренинги), во-вторых, - обучение в процессе реформирования предприятия при содействии профессиональных консультантов по управлению.

Важными условиями для решения проблемы эффективного менеджмента и создания механизмов естественной ротации кадров предприятий является наличие, с одной стороны, системы контроля и ответственности, а с другой - системы мотивации. Контроль эффективности менеджмента должны осуществлять собственники предприятия. К сожалению, в результате приватизации так и не была достигнута главная цель - создание ответственного и эффективного собственника. Тем более что многие руководители предприятий одновременно являются ключевыми управляющими, что делает процедуру контроля со стороны акционеров бессмысленной. С другой стороны, налоговое законодательство провоцирует руководителей предприятий на сокрытие доходов. Следовательно, применение таких методов мотивации менеджмента как опционы, премиальные от прибыли и доли в капитале в российских условиях практически не работают.

3.4. Технологический уровень производства

Способность производить продукцию высокого качества и с низкими затратами определяется уровнем развития технологии на предприятии. Большинство российских предприятий используют только 15 - 35%, имеющихся в распоряжении производственных мощностей. Для таких предприятий приобретение нового технологического оборудования, несмотря на высокий моральный и материальный износ основных фондов, далеко не всегда является первоочередной задачей. Фактически, эти предприятия переинвестированы. В первую очередь необходимо обеспечить эффективное использование тех активов, которыми предприятие располагает сегодня. Повышение продуктивности посредством сокращения затрат и увеличения объема продаж в большинстве случаев обеспечивает восстановление платежеспособности предприятия без дополнительных капитальных вложений. Проблема приведения активов предприятия в соответствии с поставленными целями и задачами обычно решается посредством реструктурирования предприятия.

Это не означает, что проблема технологического перевооружения предприятий не является важной. Ряд видов качественной продукции просто не может быть произведен без применения новейших технологий. Более того, некоторые требуемые современные технологии имеются в наличии только за рубежом. Не многие предприятия в состоянии приобрести технологическое оборудование из собственных средств и поэтому нуждаются в дополнительных источниках долгосрочного финансирования. Существенное влияние на процессы технологического перевооружения может оказать развитие лизинга. С одной стороны, лизинг является наиболее приемлемым способом долгосрочного финансирования предприятия, с другой - создает платежеспособный спрос на продукцию российских производителей оборудования.

3.5. Налоги и отчисления во внебюджетные фонды

Уровень налогообложения в России сопоставим с уровнем налогов в таких странах, как Швеция и Германия. Зачастую этот аргумент приводят сторонники существующей в России налоговой политики. В действительности следует принимать во внимание то обстоятельство, что структура налогообложения зависит от текущего финансового положения предприятия, а подавляющее большинство российских предприятий находятся в депрессивном состоянии и обременены неподъемными долговыми обязательствами. В этом случае в структуре налогов начинают увеличивать свою долю те, которые не зависят от объема производства: налог на имущество, отчисления с фонда заработной платы. В тоже время, уровень налога на прибыль на убыточном предприятии фактически не играет никакой роли, а доля НДС также значительно сокращается в связи с падением объемов продаж. Предприятию необходим минимум оборотных средств, чтобы покрыть первоочередные расходы на производственные издержки, выплатить минимальную заработную плату, расплатиться с кредиторами, а иначе предприятие будет вынуждено просто прекратить свою деятельность. Поэтому анализировать степень влияния различных налогов на деятельность предприятия следует с точки зрения его способности генерировать достаточный объем свободных денежных средств, необходимых для обеспечения его операционной деятельности. Анализ, проведенный с использованием имитационной финансовой модели реально существующего российского машиностроительного предприятия, показывает, что если принять за 100% сумму средств, оставшихся после покрытия всех необходимых производственных затрат, предприятие еще должно выплатить в бюджеты и фонды различных уровней величину, равную 124% от этого остатка. Результаты анализа красноречиво свидетельствуют о том, что промышленное предприятие не может существовать при таком уровне налогообложения, и если оно сегодня существует, то только потому, что недоплачивает налоги, не платит поставщикам сырья и не выдает заработную плату. И как следствие таких действий - повсеместный рост долговых обязательств. Даже анализ рентабельного предприятия (чистая прибыль не менее 17%) показывает, что оставшаяся сумма свободных денежных средств только обеспечит покрытие потребности в оборотных средствах, но не в капитальных вложениях. За редким исключением уникальных высокорентабельных проектов, большинство промышленных предприятий в России сегодня не могут рассчитывать на развитие: инвестирование в НИОКР, вложение средств в маркетинг продукции и приобретение нового технологического оборудования. Российская система налогообложения подавляет предприятия, не оставляя им возможность не только для развития, но и просто для стабильного существования. С другой стороны, если у предприятия изымаются практически все свободные средства, которые могут быть направлены на осуществление деятельности и развитие, такое предприятие не может быть привлекательным для инвесторов.

В процессе проведения вышеуказанного анализа учитывались только текущие налоговые платежи; во внимание не принимались начисленные пени и штрафы по долговым обязательствам предприятия перед бюджетами всех уровней. Принимая во внимание, что предприятия не в состоянии осуществлять нормальную экономическую деятельность при существующем уровне текущих налогов, рассматривать возможность погашения накопленных пеней и штрафов теряет всякий смысл. Попытка взыскания с предприятий пеней и штрафов приведет к единственному результату - прекращению их деятельности и серьезным социальным последствиям.

Условия начисления и выплаты налогов также имеют важное значение. Например, предприятия импортеры сырья и комплектующих изделий вынуждены осуществлять предоплату НДС, что значительно увеличивает их потребность в оборотных средствах и, как следствие, ослабляет конкурентные позиции российских предприятий по сравнению с иностранными поставщиками готовой продукции.

Многочисленные опросы руководителей предприятий показывают, что существуют пороговые значения налоговых ставок, повышение которых приводит к массовому уклонению от уплаты налогов. Наиболее яркий пример - уровень отчислений с фонда заработной платы. Во-первых, этот вид налогов и отчислений является одним из наиболее чувствительных факторов, влияющих на общую сумму налоговых платежей предприятия. Во вторых, превышение 20% порога суммарных отчислений приводит к массовым уклонениям от уплаты. Часто используемое сравнение с такими благополучными странами, как Швеция и Германия, не корректно, по меньшей мере, потому, что рентабельность работы немецких и шведских предприятий в расчете на одного работника превышает аналогичные показатели российских предприятий в десятки раз. Принимая решение об уровне налогообложения, государство должно руководствоваться российской экономической реальностью. Выплаченная же сотрудникам предприятий официальная заработная плата, с одной стороны, увеличила бы доходы бюджета за счет подоходного налога, с другой - способствовала бы росту покупательной способности населения.

Наиболее серьезная проблема российской системы налогообложения и бухгалтерского учета - принципы определения прибыли. Принятые в России правила учета и налоговое законодательство полностью или частично ограничивают возможность отнесения реально понесенных предприятием затрат на себестоимость продукции или услуг, как это требуется международными стандартами бухгалтерского учета (IAS). Таким образом, государство лицемерит, объявляя ставку налога на прибыль равной 30%, так как реальная налогооблагаемая база не соответствует экономической величине прибыли. В действительности налог на прибыль российских предприятий составляет от 35 до 60%. С другой стороны, российская система налогообложения не ориентирована на прибыль. В отличие от системы налогообложения, принятой в США, российское предприятие, даже если его деятельность по различным причинам (период становления, кризис на рынке) не приносит никаких доходов, все равно должно выплачивать налоги.

Россия - единственная страна в мире, где были предусмотрены налоги на убытки. Исторически российские предприятия построены по принципу "натурального хозяйства". Такие предприятия не могут быть конкурентоспособны в существующих условиях. За последние 20 лет промышленные предприятия развитых стран предприняли существенные меры по развитию кооперации. Это позволило им снизить производственные издержки, а также сконцентрировать свои усилия и ресурсы на НИОКР, НОУ-ХАУ, ключевых технологических операциях и маркетинге. Развитие кооперации в России является также приоритетной задачей и должно привести к существенному сокращению неиспользуемых активов, а, следовательно, к снижению непроизводительных затрат. С другой стороны, некоторые предприятия, имеющие инвестиционные проекты, могли бы приобрести недорогое оборудование, которое сегодня не используется другими предприятиями. Однако российские предприятия не имели возможность избавиться от неиспользуемого оборудования и зданий, так как были вынуждены выплачивать налог на разницу между балансовой и рыночной ценой активов. При этом продать основные средства по балансовой стоимости не представляется возможным. Таким образом, данное обстоятельство служило серьезным препятствием на пути создания в стране так необходимого цивилизованного рынка бывшего в эксплуатации оборудования (Second hand). В результате в течение нескольких лет российские предприятия не имели возможность задействовать значительные резервы по снижению себестоимости продукции и повышению ликвидности.

В условиях рыночной экономики производитель продукта массового потребительского спроса должен затрачивать на маркетинг около 10% от объема продаж, а иногда и более. Иначе предприятие будет не в состоянии эффективно конкурировать с другими производителями, включая иностранных. В российском законодательстве этот предел установлен на уровне 5%, остальное должно выплачиваться из прибыли. В результате те предприятия, которые все-таки продвигают свою продукцию на рынок, вывели расчеты с рекламными агентствами "в тень". Не случайно рынок рекламных услуг имеет репутацию криминального. Вместо того чтобы получать налоги с российских производителей и поставщиков рекламных услуг, государство в очередной раз поставило российские предприятия в неравные конкурентные условия с иностранными компаниями, для которых данное ограничение не играет никакой роли, они всегда найдут способ произвести оплату без дополнительных налогов.

Налоги должны играть не только фискальную, но и стимулирующую отечественную промышленность роль. Система налогообложения является одним из важнейших факторов, определяющих инвестиционный климат страны. Инвесторы, действующие на российском рынке, всерьез озабочены не столько отсутствием налоговых льгот для инвесторов, сколько негативным влиянием налогового законодательства, снижающего конкурентоспособность, а, следовательно, инвестиционную привлекательность промышленных предприятий как объектов инвестирования.

3.6. Таможенное регулирование

В течение нескольких лет нерациональная таможенная политика практически уничтожила потенциал российской электронной, электротехнической и ряда других отраслей промышленности, конкурентоспособность которых и качество производимой продукции в значительной степени зависят от качества комплектующих изделий и сырья. Опыт других государств, находящихся в состоянии реформ показывает, что существует простой и важнейший принцип, которым должно руководствоваться государство при определении таможенной политики: таможенное регулирование должно стимулировать развитие производства конкурентоспособных по цене и качеству потребительских товаров на территории собственной страны. Это может быть достигнуто только в том случае, если все без исключения импортируемые товары потребительского спроса будут облагаться значительными импортными пошлинами. При этом сырье, материалы, комплектующие изделия и технологическое оборудование, способные обеспечить производство качественных и конкурентоспособных товаров на территории России, должны быть освобождены от любых таможенных пошлин и сборов. Также необходимо прекратить противоречащую всякому здравому смыслу практику взимания НДС при пересечении границы. Существует мнение, что российские производители оборудования в этом случае будут обделены. Это заблуждение. Если оборудование российского производителя не покупают сегодня, то это происходит по причине его низкого качества и слабой стратегии маркетинга. Производители российского промышленного оборудования не менее заинтересованы в том, чтобы иметь возможность приобретать импортные комплектующие и системы управления, которые сделают их оборудование более качественным и надежным. В то же время, сегодня приоритет должен быть отдан производителям товаров потребительского рынка. Будут развиваться производители молочных продуктов, будут иметь рынок сбыта производители российского оборудования для переработки молока. Если же сохранить пошлины на импорт технологического оборудования, то российские предприятия так и будут переплачивать за оборудование, а, следовательно, производить более дорогую и менее конкурентоспособную на рынке продукцию. Система тарифов и пошлин должна также стимулировать развитие глубокой переработки природных ресурсов.

3.7. Доступность коммерческих источников финансирования

Подавляющее большинство руководителей российских предприятий ориентируются только на два источника финансирования - государство или банковские займы. Оба этих способа финансирования наименее реальны в существующих условиях. Большинство предприятий не в состоянии предоставить банкам ликвидное обеспечение по кредитам, а государственное финансирование, особенно в условиях дефицита бюджета, вряд ли может быть доступно многим. В мировой практике даже в развитых странах, обладающих существенными бюджетными возможностями, вряд ли можно найти промышленное предприятие, которое обеспечило себе финансирование исключительно посредством заемных средств. Все наиболее значимые промышленные корпорации, лидирующие на рынке, котируют свои акции на бирже и считают это величайшим благом. Таким образом, наиболее реальным и, более того, единственно возможным источником финансирования сегодня является размещение ценных бумаг, а точнее - частное размещение. Конечно, рассчитывать на высокую активность российских инвесторов сегодня не приходится, их доверие и значительно подорваны финансовым кризисом. Крупные портфельные иностранные инвесторы также практически заморозили или свернули свою деятельность в России. Риски российского финансового рынка для таких инвесторов сегодня неприемлемы. Однако существует определенная категория иностранных инвесторов, которые обычно проводят свои операции в более тесном взаимодействии с менеджментом предприятий. Причем, это могут быть как стратегические, так и финансовые инвесторы. Несмотря на события сентябрьского кризиса, интерес иностранных инвесторов, действующих в области прямых инвестиций, сохраняется.

Обеспечение финансирования предприятия посредством акционерного капитала является наиболее реалистичным. Существует несколько проблем, препятствующих принятию решения руководством предприятия о выпуске и размещении акций. Во-первых, руководители предприятия, как правило, могут владеть значительной долей в капитале предприятия и фактически безраздельно пользоваться акционерной собственностью. В этом случае выбор способа финансирования предприятий посредством размещения акций зачастую приводит к конфликту интересов менеджмента и потенциальных инвесторов. Чаще всего срабатывает принцип "собаки на сене": "Умирать буду, а не поделюсь". Во-вторых, причиной отказа от этого способа финансирования может быть опасение управляющих в том, что в случае ненадлежащего выполнения менеджментом предприятия своих функций, новый акционер потребует смещения существующих управляющих с занимаемых должностей. В-третьих, непреодолимым препятствием на пути принятия решения о размещении акций может стать требование инвестора обеспечить полную прозрачность финансовой отчетности. Это вызвано тем, что руководители предприятий скрывая прибыль от налогообложения, не могут, а иногда не желают демонстрировать ее инвесторам. Таким образом, если руководители предприятия действительно желают привлечь капитал, реальные источники и способы решения этой задачи сегодня существуют.

Наиболее распространенной причиной отказа инвесторов от сотрудничества с российскими предприятиями является неподготовленность менеджмента к профессиональному взаимодействию с инвесторами. Диалог инвестора и руководителя предприятия должен происходить на одном, понятном друг другу, языке. Руководители предприятия зачастую не в состоянии даже сформулировать инвесторам концепцию бизнеса, его цели и стратегию развития. До сих пор немногие российские предприятия могут представить качественный бизнес-план, соответствующий международным требованиям. Не часто можно встретить руководителя предприятия, который в состоянии корректно обосновать стоимость своего бизнеса, с учетом ожидаемых доходов в будущем. Соответственно, единицы руководителей могут четко и профессионально сформулировать свое финансовое предложение инвестору.

Безусловно, процесс привлечения капитала посредством размещения акций требует значительных усилий, затрат времени и денег. Необходимо не только разработать все финансовые документы в соответствии с международными требованиями, но и обеспечить проведение финансового и юридического аудита. Поэтому задача подготовки предприятий к привлечению инвестиций является одной из наиболее важных и приоритетных. Профессионально подготовленное предприятие имеет значительно больше возможностей для привлечения требуемого капитала. Способность менеджмента привлекать капитал из внебюджетных источников является одним из наиболее важных факторов, обеспечивающих конкурентоспособные преимущества предприятия. То есть проблема финансирования также является, в первую очередь, проблемой качества управления предприятием.

3.8. Государственные источники финансирования

В качестве возможного государственного источника финансирования промышленных предприятий можно рассматривать систему инвестиционных конкурсов Минэкономики РФ. Однако принципы принятия решения о государственной поддержке того или иного предприятия в данной системе противоречат общепринятой практике. Представьте себе, чтобы в США или Великобритании владелец частной фабрики - производитель товаров народного потребления - обратился к правительству с просьбой оказать ему финансовую поддержку на выпуск нового конкурентоспособного образца продукции на том основании, что его проект окупается за 2 года и является очень прибыльным. Кроме удивления со стороны Правительства эта просьба ничего не вызовет. Единственный ответ, на который может рассчитывать его директор: "Если у вас такой прибыльный проект, то обратитесь в банк или к частным инвесторам". В странах с рыночной экономикой созданы все необходимые механизмы коммерческого внебюджетного финансирования: биржи, банки, инвестиционные фонды и т. п. Несмотря на наличие развитой и достаточно эффективно функционирующей системой государственной поддержки предпринимательства, эта поддержка может быть предложена только тем предприятиям, которые по объективным причинам не могут воспользоваться коммерческими источниками финансирования. В отличие от России, эти страны не могут позволить себе такую роскошь - финансировать из бюджета коммерческие и прибыльные проекты. В нашей стране, несмотря на перманентный бюджетный кризис, практика прямого или косвенного (в виде гарантий по займам) Государственного финансирования коммерческих проектов возведена в ранг Государственной политики. Государственная поддержка должна и может оказываться только тем предприятиям, которые ни при каких обстоятельствах не имеют возможности обеспечить финансирование из внебюджетных источников. Необходимо также отказаться от порочной практики рассмотрения инвестиционных проектов в отдельности от предприятий, которые эти проекты представляют. Анализируя проекты, необходимо оценивать возможность предоставления государственной поддержки предприятию в целом.

К предприятиям, которые по тем или иным причинам не могут обеспечить финансирование из коммерческих источников, а, следовательно, могут претендовать на прямую или косвенную (в виде гарантий) государственную поддержку, должны быть отнесены следующие:

  1. Предприятия оборонного комплекса (если эти предприятия имеют непреодолимые ограничения на выделение гражданского производства отдельно от военного).
  2. Значительная часть малых, особенно вновь создаваемых, предприятий.
  3. Научно-исследовательские учреждения и предприятия, не производящие товарную продукцию, результаты деятельности которых имеют первостепенное значение для Государства с точки зрения сохранения и развития научно-технического потенциала.
  4. Предприятия, объективно имеющие низкую экономическую эффективность, но производящие социально значимую продукцию, требующую государственных дотаций (например, детское питание, сельского хозяйства, инфраструктуры и т.п.).
  5. Социально значимые предприятия (например, градообразующие), не способные в существующих условиях обеспечить функционирование с приемлемым для инвесторов уровнем рентабельности, как правило, в связи с избыточностью инфраструктуры.

Существуют три основные причины, ограничивающие возможности привлечения средств из внебюджетных источников для указанных выше категорий предприятий. Во-первых, отсутствие ликвидного обеспечения, которое может быть предложено банкам за коммерческие кредиты. Во-вторых, невозможность обеспечить полное раскрытие финансовой и деловой информации для потенциальных инвесторов (выполнение требования обеспечения "прозрачности"), особенно это касается ряда оборонных и научно-исследовательских предприятий. Без раскрытия информации эти предприятия не могут рассчитывать на привлечение частных инвестиций, особенно иностранных. В-третьих, некоторые из указанных предприятий объективно имеют низкую коммерческую эффективность и не могут сегодня представлять интерес для частных инвесторов без проведения работ по реструктурированию.

Малые предприятия (венчурные проекты) также нуждаются в Государственной поддержке. Источником частных инвестиций для предпринимателя, решившего начать свое дело, могут служить только его родственники и друзья (непрофессиональные инвесторы). Наши граждане вряд ли располагают достаточным объемом свободных денежных средств, которые могут быть ими инвестированы в совместный риск даже с близкими людьми. Отсутствие ликвидного обеспечения делает также невозможным получение банковских кредитов для подавляющего большинства малых предприятий. Для решения этих проблем практически во всех странах существуют государственные агентства или фонды поддержки малого бизнеса. Эти организации обеспечивают финансирование малого бизнеса на первом, наиболее рискованном, этапе его деятельности. Малый, особенно высокотехнологичный, бизнес не должен рассматриваться в отрыве от проблем большой промышленности. Малые инновационные предприятия в перспективе могут оказаться зародышами ведущих промышленных корпораций.

Оборонные предприятия вынуждены сегодня предпринимать действия по выделению, где это возможно, гражданской части производства в отдельные юридические лица и обеспечивать финансирование этой части предприятий на коммерческой основе посредством эмиссии акций или получения коммерческих кредитов. Те же предприятия, которые вследствие технологических и других ограничений не в состоянии отделить производство гражданской продукции от военной, могут рассчитывать, и справедливо, только на государственную поддержку.

Предприятия, получившие в наследство избыточную инфраструктуру, которая не может быть эффективно ими использована в существующих условиях, не могут рассчитывать ни на получение займов, ни на частные инвестиции. В то же время, эти предприятия могут представлять огромное социальное значение для региона и ни при каких обстоятельствах не могут быть закрыты. Однако это не означает, что Государство должно принимать на себя ответственность в финансировании производственной программы такого предприятия. В данном случае Государство обязано обеспечить реформирование такого предприятия. Например, посредством оказания помощи по привлечению и финансированию услуг консультантов по разработке и реализации программ реструктуризации.

Научно-исследовательские предприятия, действующие в прикладных областях, могут рассчитывать на коммерческое финансирование со стороны венчурных банков и фондов, а также корпораций, заинтересованных в результатах их исследований. Однако если научные разработки этих предприятий имеют стратегическое значение для национальных интересов страны, то такого рода исследования должны быть, безусловно, поддержаны государством без привлечения посторонних, тем более иностранных, инвесторов.

Следует учитывать, что структура капитала предприятия состоит как из заемных, так и из собственных средств. При этом соотношение собственного и заемного капитала существенно влияет на уровень дохода частных инвесторов, как российских, так и иностранных. Частные инвесторы, финансируя предприятие, берут на себя коммерческие риски. В то же время государство может выступить гарантом перед банком по финансированию заемной части капитала при условии, что акции предприятия будут размещены среди частных инвесторов. То есть гарантия вступит в силу при условии размещения акций предприятия среди частных инвесторов. Учитывая, что профессиональные инвесторы обычно очень глубоко и серьезно изучают объект инвестирования, такой способ государственной поддержки может быть достаточно эффективным и обеспечит возвратность средств.

Разрабатывая меры государственной поддержки, необходимо обратиться к опыту других стран. Например, в Бразилии государство финансировало работы консультантов по управлению, которые по поручению правительства обеспечивали профессиональную поддержку процессов реформирования предприятий. Большинство из предприятий, прошедших реструктуризацию, восстанавливают платежеспособность, увеличивают свою стоимость за период от 15 до 20 месяцев. Безусловно, реформированные предприятия более привлекательны для частных инвесторов, чем те, что находятся в депрессивном состоянии. Это одна из важнейших причин низкой активности инвесторов в России. Они просто не могут найти эффективно функционирующий бизнес, который сегодня в состоянии приносить инвесторам доход. Никто, в том числе и инвесторы, не желает выполнять за нас "черную работу" по превращению предприятий из источников проблем в источник доходов.

Вновь создаваемый в России Банк Развития мог бы сосредоточить свои усилия на том, чтобы, финансируя процессы реструктурирования предприятий, восстанавливать платежеспособность и стоимость предприятий с последующим предложением этих предприятий частным инвесторам. Реализуя акции этих предприятий частным инвесторам, государство обеспечивало высокую эффективность и возвратность вложенных средств.

4. Методы оценки конкурентоспособности

Оценка способности товара конкурировать производится путем сопоставления параметров анализируемой продукции с параметрами базы сравнения, т.к. конкурентоспособность товара или иного объекта - понятие относительное, то есть о нем можно говорить только при сравнении с другим объектом. За базу сравнения принимается либо потребность покупателя, либо образец. Обычно образец тАУ это аналогичный товар, имеющий максимальный объем продаж и наилучшую перспективу сбыта в будущем. Если за базу сравнения принимается потребность, то расчет единичного показателя конкурентоспособности может производиться по формуле:

,

где gi тАУ единичный параметрический показатель конкурентоспособ-ности по i-му параметру;

Пi тАУ величина i-го параметра для анализируемой продукции;

Пin тАУ величина i-го параметра, при котором потребность удовлетворяется полностью;

n тАУ количество анализируемых параметров.

Если за базу сравнения принимается образец, то в знаменателе дроби следует поставить величину i-го параметра для изделия, принятого за образец.

Иногда параметры продукции не имеют физической меры. В этом случае для оценки этих характеристик используется методы оценки в баллах.

Описанный метод (дифференциальный) позволяет лишь констатировать факт необходимости повышения или снижения параметров продукции для обеспечения конкурентоспособности, но не отражает влияние каждого параметра при выборе товара потребителем.

Комплексный метод основывается на применении групповых, обобщенных, интегральных показателей. Так, например, расчет группового показателя по техническим параметрам производится по формуле:

,

где - групповой показатель конкурентоспособности по техническим параметрам;

- единичный показатель конкурентоспособности по iтАУму техничес-кому параметру;

- весомость iтАУго параметра в общем наборе технических параметров,    характеризующих потребность;

- число параметров, участвующих в оценке.

Расчет группового показателя по экономическим параметрам производится по формуле:

,

где З, З0 тАУ полные затраты потребителя соответственно по оцениваемой продукции и образцу.

Полные затраты потребителя состоят из единовременных затрат на приобретение продукции (Зе) и средних суммарных затрат на эксплуатацию продукции:

,

где Т тАУ срок службы;

i тАУ год по порядку.

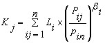
Смешанный метод позволяет выразить способность товара конкурировать в определенных условиях рынка через комплексный количественный показатель тАУ коэффициент конкурентоспособности:

,

где i = 1, тАж, n тАУ число параметров продукции, участвующих в оценке;

j = 1,тАж, n тАУ виды продукции;

Li тАУ коэффициент важности (значимости) по сравнению с остальными существенными параметрами продукции;

Pij тАУ конкурентоспособное значение i-го параметра для j-ой продукции;

Pin тАУ желаемое значение i-го параметра, которое позволяет полностью удовлетворить потребность показателя;

, если увеличение значения параметра Pij способствует росту конкурентоспособности продукции (например, надежности, производительности изделия и т.д.);

, если увеличение значения параметра Pij приводит к снижению конкурентоспособности продукции (например, вес, габарит, цена и др.).

Иными словами мы с помощью цифр можем охарактеризовать конкурентоспособность товара по отношению к другим товарам. Сопоставление продукции ведется по таблице сравнения параметров. В результате сравнения одним из методов (дифференциального, комплексного или смешанного) дается одно из следующих заключений:

  • продукция конкурентоспособна на данном рынке в сравниваемом классе изделий;
  • продукция обладает низкой конкурентоспособностью в сравниваемом классе изделий на данном рынке;
  • продукция полностью неконкурентоспособна в сравниваемом классе изделий на данном рынке.

Заключение дополняется выводами о преимуществах и недостатках оцениваемой продукции по сравнению с аналогами, а также предложениями о мерах, которые должны быть приняты для улучшения положения ее на рынке.

А как насчет конкурентоспособности фирмы? Интересный вопрос. Ведь существуют определенные экономические, финансовые показатели, которые показывают прибыльность, производительность, оборачиваемость, деловую активность, ликвидность. И, на мой взгляд, эти показатели тоже характеризуют деятельность фирмы, от них просто так отмахнуться нельзя, это так же результат, который поддается анализу. Действительно, если объем продаж позитивен, то в большинстве случаев экономические параметры говорят о хорошем положении дел. Пусть у фирмы на какой-то определенный момент, например в момент составления годового, баланса показатели финансового состояния и экономической деятельности говорят о том, что организация работает успешно. Но получается вот какая ситуация: несмотря на благополучные данные экономического анализа, некоторые товары идут на рынке хорошо, а некоторые плохо. В данном случае мы с полным правом можем сказать, что первая группа товаров конкурентоспособна, а вторая нет. Но можно рассмотреть и иное положение вещей. Положение предприятия на рынке весьма устойчиво, конкурентов не много, продукция продается хорошо, но показатели финансового состояния, к сожалению, говорят о наличии проблем в части платежеспособности.

Не буду голословной. Данный вопрос вообще заинтересовал меня потому, что я столкнулась с подобным примером. Это Омский нефтеперерабатывающий завод. В своем регионе он имеет широкую сеть сбыта своей продукции, более того его называют одним из основных внутренних поставщиков нефтепродуктов в Западно-Сибирском регионе. Этот завод вырабатывает наряду с обычными продуктами переработки нефти также и высококачественный бензин, постоянно совершенствует схему технологического процесса. Казалось бы, все говорит о том, что предприятие функционирует прибыльно. Но коэффициенты ликвидности говорят об обратном. Большую часть активов составляют активы средней и медленной реализации, то есть если вдруг кредиторы попросят вернуть долг, то возможно предприятие сразу окажется не в состоянии это сделать. Для инвесторов данное предприятие тоже казаться заманчивым не будет. То есть с точки зрения получения инвестиций данное предприятие неконкурентоспособно.

Так же в качестве объективного показателя конкурентоспособности предприятие можно привести его имидж. Имидж (по словарю) - образ товара, услуги, предприятия и совокупность впечатлений о них, складывающихся в сознании людей. Казалось бы, имидж фирмы складывается из имиджа товара, но не всегда это так. Например, если фирма добросовестно выполняет все условия сделок, если в части деловых отношений она отличный партнер, то и имидж у нее соответственный.

ЗАКЛЮЧЕНИЕ

Вышеприведенный анализ показывает, что экономический спад в России является следствием низкой конкурентоспособности российской промышленности. В свою очередь, причинами низкой конкурентоспособности промышленных предприятий России являются не столько технологические проблемы или отсутствие источников финансирования, сколько низкая эффективность менеджмента предприятий, а также негативное воздействие на отечественных товаропроизводителей существующего налогового законодательства и таможенного регулирования и низкая эффективность мер государственной поддержки отечественных товаропроизводителей. Разрабатываемая Государственная политика промышленного развития, направленная на повышение конкурентоспособности промышленных предприятий, должна обеспечивать решение двух важнейших задач: реформирование предприятий с целью повышения качества и эффективности их управления и разработку мер государственного регулирования, стимулирующих развитие отечественных товаропроизводителей.

Литература
  1. Как добиться успеха: Практические советы деловым людям/ Под общ. ред. Хруцкого В.Е. тАУ М.: Политиздат, 1991. тАУ 510с.
  2. Лунев В.Л. Тактика и стратегия управления фирмой. тАУ М.: Финпресс, НГАЗиУ, 1997. тАУ 356с.
  3. Маркетинг: Учебник/ А.Н. Романов, Ю.Ю. Корлюгов, С.А. Красильников и др.; Под ред. А.Н. Романова. тАУ М.: Банки и биржи, ЮНИТИ, 1996. тАУ 560с.: ил.
  4. Экономика предприятия/ Под ред. проф. Н.А. Сафронова. тАУ М.: ВлЮристъВ», 1998. тАУ 584с.
  5. Глухов А. Оценка конкурентоспособности товара и способы ее обеспечения// Маркетинг. тАУ 1999. - №2. тАУ с.56 тАУ 64.
  6. Мильгром Д.А. Оценка конкурентоспособности экономических технологий// Маркетинг в России и за рубежом. тАУ 1999. - №2. тАУ с.44 тАУ 57.
  7. Мишин Ю. Слагаемые конкурентоспособности: Рекомендации по выработке стратегии развития производственных структур// Риск. тАУ 1998. - №5 тАУ 6. тАУ с. 82 тАУ 87.
  8. Мишин Ю. Слагаемые конкурентоспособности: Рекомендации по выработке стратегии развития производственных структур// Риск. тАУ 1999. - №1. тАУ с.41 тАУ 45.
  9. Уруков В. Правовая основа обеспечения конкурентоспособности промышленных предприятий// Хозяйство и право. тАУ 1999. - №8. тАУ с.86тАУ91.
  10. Фатхутдинов Р. Конкурентоспособность России и подготовка кадров// Общество и экономика. тАУ 1998. - №10 тАУ 11. тАУ с.104 тАУ 116.

Вместе с этим смотрят:

Конкурентоспособность товара
Конкуренция
Конспект по маркетингу
Критерии выбора поставщика на примере предприятий торговли, занимающихся реализацией труб