Менеджмент и маркетинг
Теория вероятностей *: наука о случайном.
1. Вступление.
С первого взгляда может показаться, что никаких законов, управляющих случайными явлениями нет и быть не может. Однако, если разобраться, случайные явления происходят не так уж хаотически. Во многих случаях обнаруживаются закономерности. Эти закономерности не похожи на обычные законы физических явлений; они весьма разнообразны.
Возьмем, к примеру, игру в монету. При бросании может быть два равновероятных исхода: монета может упасть кверху гербом или решкой. Бросая монету один раз нельзя предугадать, какая сторона окажется сверху. Однако, бросив монету 100 раз, можно сделать выводы. Можно заранее сказать, что герб выпадет не 1 и не 2 раза, а больше, но и не 99 и не 98 раз, а меньше. Число выпадений герба будет близко к 50. На самом деле, и на опыте можно в этом убедиться, что это число будет заключено между 40 и 60.
Так же статистически установлено, что на 1000 детей приходится 511 мальчиков и 489 девочек (т.е. 48,9% и 51,1% соответственно). Это поразительное постоянство отмечено многими учеными, среди которых и Симон Лаплас, один из основателей Теории. Эта информация позволяет нам с большой точностью предсказывать вероятность количества мальчиков или девочек в тот или иной год (эти расчеты, например, используются призывной комиссией).
2. Определения и основные понятия Теории.
Теперь перейдем к алгебраическому выражению Теории. Вот классическое определение:
определение: Пусть множество исходов опыта состоит из n равновероятных исходов. Если m из них благоприятствуют событию A, то вероятностью события A называется число

Давая такое определение, мы рассчитываем, что (в силу равновероятности исходов опыта) при n-кратном повторении опыта событие A наступит в
случаях (именно в этом заключается практическая ценность Теории).
Следует объяснить некоторые понятия Теории, которые будут необходимы в дальнейшем:
- Достоверное событие тАУ событие, которое обязательно должно произойти в результате опыта. Такое событие обозначается буквой E (Expected)
- Невозможное событие тАУ событие, которое не может произойти в результате опыта. Такое событие обозначается буквой U (Unreal)
- Несовместные события тАУ события, которые не могут произойти в результате опыта одновременно.
- Совместные события тАУ события, которые могут произойти в результате опыта одновременно.
- Событие A благоприятствует событию B, если из того, что произошло событие A следует событие B. (т.е.
) - Объединением событий A и B называется событие, состоящее в том, что в результате опыта произошло хотя бы одно из этих событий (т.е.
). - Пересечением событий A и B называется событие, состоящее в том, что в результате опыта произошли оба из этих событий (т.е.
). - Закон больших чисел.

Пусть K раз мы проделали испытания, и N раз в результате опыта произошло событие A. Тогда число
будет называться частотой появления события А. Закон больших чисел утверждает, что при вероятности события А равной
(причем N и K нам неизвестны), то всегда можно выбрать достаточно большое N, чтобы выполнялось соотношение:

где
(ипсилон) - сколь угодно малое положительное неравное нулю число.
Это значит, что при достаточно большом количестве испытаний частота появления того или иного события будет сколь угодно мало отличаться от нуля.
Это соотношение дает возможность устанавливать опытным путем с достаточно хорошим приближением вероятность неизвестного нам события.
3. Задачи и примеры.
Первые расчеты вероятностей событий начались еще в XVII веке с подсчета шансов игроков в азартных играх. В первую очередь это была игра в кости.
Задача 1.
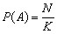
Бросили кость. Какова вероятность того, что выпало число 5?
Решение.
Всего существует 6 вариантов выпадения кости (n = 6). Все эти варианты равновероятны, т.к. кость сделана так, что у всех сторон есть одинаковые шансы оказаться сверху, следовательно, m = 1; значит

Где Р(5) тАУ вероятность выпадения пятерки.
Задача 2.
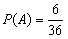
Какова вероятность того, что при бросании выпадет четное число очков?
Решение.
Благоприятных возможностей здесь три: 2; 4; 6. Поэтому m = 3, всего исходов 6 (n = 6), следовательно

Где P(четн.) тАУ вероятность выпадения четного номера.
Задача 3.
Бросили 2 игральные кости и подсчитали сумму выпавших очков. Что вероятней тАУ получить в сумме 7 или 8?
Решение.
Вот множество исходов опыта: ВлВ сумме выпало 2 очкаВ», ВлВ сумме выпало 3 очкаВ»,тАж, ВлВ сумме выпало 12 очковВ». Нас интересуют события A = Влвыпало 7 очковВ» и B = Влвыпало 8 очковВ». Но это не равновероятные исходы опыта, как может показаться с первого раза. Действительно, 2 в сумме может получиться единственным образом: 2 = 1+1, а 4 = 1 + 3 и 4 = 2 + 2, следовательно, шансов на то, что выпадет 4, больше. Рассмотрим такое множество событий: Влна одной кости выпало k очков, а на другой кости выпало p очковВ».
. Но это тоже не равновероятные исходы. Чтобы получить равновероятностные исходу опыта, покрасим кости в разные цвета (черный и белый). В итоге мы имеем: Влна белой кости выпало k очков, на черной тАУ pВ». Обозначим это (k; p). Два таких события попарно несовместны. Число всех возможных исходов n = 62 = 36 (каждое из 6 очков на белой кости может сочетаться с любым из 6 очков на черной кости). Из этих 36 исходов событию A будут благоприятствовать исходы: (1; 6); (2; 5); (3; 4); (4; 3); (5; 2); (6; 1), т.е. всего 6 (m = 6). По формуле имеем:

Событию B будут благоприятствовать исходы: (2;6); (3;5); (4;4); (5;3); (6;2), т.е. всего 5. По формуле, имеем:

, следовательно, получить в сумме 7 очков тАУ более вероятное событие, чем получить 8.
Эта задача впервые была решена игроками в кости, и уже потом тАУ решена математически. Она стала одной из первых, при обсуждении которых начала складываться Теория.
Задача 4.
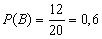
В коробке лежит 20 одинаковых на ощупь шаров. Из них 12 белых и 8 черных. Наугад вынимается шар. Какова вероятность того, что этот шар белый?
Решение.

В результате опыта может наступить 2 события: A = ВлВынут черный шарВ» и B = ВлВынут белый шарВ». Но эти 2 события не равновероятны, т.к. белых шаров больше. Для получения множества равновероятных исходов пронумеруем шары: с 1 по 12 тАУ белые и с 13 по 20 тАУ черные. Все события Ek = ВлВынут шар с номером kВ» равновероятны, т.к. шары на ощупь неотличимы и вынимаются на удачу. Тем более, все 20 событий Ek и являются множеством исходов нашего опыта, следовательно, n = 20. Из них 12 благоприятствуют интересующему нас событию B, следовательно, m = 12. Следовательно
Это значит, что с вероятностью 0,6 (60%) мы вытащим белый шар.
В Теории существует такое понятие, как независимость событий. У каждого из нас есть интуитивное представление о независимости событий. Так, например, мы понимаем, что, если бросить две монеты, то то, что выпало на одной монете, не зависит от того, что выпало на другой. Но т.к. Теория тАУ математическая наука, то надо дать точное определение независимости событий.
определение: Два события А и В называются независимыми, если выполняется равенство:
![]()
Задача 6.
Два охотника независимо друг от друга одновременно стреляют по зайцу. Заяц будет убит, если попали оба. Какие у зайца шансы выжить, если первый охотник попадает с вероятностью 0,8, а второй с вероятностью 0,75?
Решение.
Рассмотрим два события: А = Влв зайца попал 1-й охотникВ» и В = Влв зайца попал 2-й охотникВ». Нас интересует событие
(т.е. произошло и событие A и событие В). В силу независимости событий, имеем:
![]()
Это значит, что в 6 случаях из 10 зайца пристрелят.
Задача 7.
Известно, что на каждые 10 билетов приходится один выигрышный. Какова вероятность выигрыша, если имеется 50 билетов?
Решение.
По известной нам формуле легко вычислить, что вероятность выигрыша одного билета 0,1; вероятность того, что он не выиграет 0,9. Выигрыши и проигрыши билетов друг от друга независимы. Вероятность того, что не выиграет первый билет 0,9. Вероятность того, что не выиграет второй тоже 0,9. Тогда вероятность того, что не выиграет ни первый, ни второй, по определению независимых событий
![]()
Точно так же показывается, вероятность того, что не выиграют первые 3 билета, составляет 0,93; а вероятность того, что не выиграют все 50 билетов = 0,950; т.е. приблизительно 0,005. Соответственно, вероятность выигрыша хотя бы одного билета 0,995 (99,5%).
Задача 7.
Один французский рыцарь, де Мере, был страстным игроком в кости. Он всячески старался разбогатеть и придумывал для этого разные усложненные правила.
Он, в частности, придумал такие правила: бросают 4 кости и он бьется об заклад, что хотя бы на одной выпадет 6. Он считал, что в большей части случаев он останется в выигрыше. Чтобы подтвердить это, он обратился к своему старому знакомому тАУ Блезу Паскалю с просьбой рассчитать, какова вероятность выигрыша в этой игре.
Приведем расчет Паскаля.
При каждом отдельном бросании вероятность события A = Влвыпала шестеркаВ» =
. Вероятность события B = Влне выпала шестеркаВ» =
. Кубики не зависят друг от друга, следовательно, по формуле
![]()
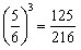
вероятность того, что шестерка не выпадет два раза подряд, составляет

Точно так же показывается, что при трехкратном бросании вероятность невыпадения 6 составляет

А при четырехкратном тАУ

А
, следовательно, вероятность выигрыша
. Значит, при каждой игре больше половины шансов было за то, что де Мере выиграет; при многократном повторении игры он наверняка оставался в выигрыше.
Резонно поставить вопрос, какой должна быть вероятность события, чтобы можно было считать его достоверным? Известно, что примерно 5% назначенных концертов отменяется, однако это не мешает нам покупать билеты. Но если бы 5% самолетов разбивались, то вряд ли бы кто-нибудь стал пользоваться воздушным транспортом.
Для того, чтобы в условиях мирного времени не рисковать жизнью, то вероятность неблагоприятного исхода должна быть, по-видимому, не больше 0,0001. Разные люди по-разному относятся к риску, но очевидно, что даже самые осторожные легко пойдут на риск, если вероятность неблагоприятного исхода составляет 10-5. Например, вероятность попасть под машину в большом городе 10-7. Так что можно предположить, что событие с вероятностью неблагоприятного исхода 10-7 можно считать достоверным, однако транспортные происшествия случаются каждый день.
Так же можно определить вероятность невозможного события, например Влчуда БореляВ» (Эмиль Борель тАУ математик, автор многих работ по Теории) тАУ того, что обезьяна, наугад ударяя пальцами по клавиатуре, напечатает какое-нибудь законченное произведение, например, ВлГоре от умаВ» Грибоедова. Это не невозможное событие, хотя вероятность его очень мала, примерно 10-2600. С такой же вероятностью на огне может замерзнуть чайник (термодинамика, кстати, не отрицает возможности такого явления).
Но все-таки вероятность невозможного события большинство ученых оценивает как 10-16.
4. Метод ВлМонте-КарлоВ».
определение. Метод Монте-Карло тАУ это численный метод решения математических задач при помощи моделирования случайных величин.
Датой рождения метода принято считать 1949 г., когда появилась в свет статья ВлThe Monte Carlo MethodВ». Создатели метода тАУ американские математики Дж. Неймана и С. Улама.
Теоретическая основа метода была известно давно, однако только с появлением компьютеров он нашел широкое применение, т.к. моделировать случайные величины вручную тАУ трудоемкое занятие.
Само название метода тАУ ВлМонте-КарлоВ» происходит от названия города в княжестве Монако, знаменитого своими игорными домами. Дело в том, что простейшим прибором для моделирования случайных величин являетсятАж рулетка. Наиболее часто задаваемый вопрос, естественно: ВлПомогает ли метод выигрывать в рулеткуВ». Нет, к сожалению, не помогает.
Теперь перейдем непосредственно к математике. Чтобы было понятно, о чем идет речь, приведем простейший пример применения метода.
Пример 1.
Предположим, нам надо вычислить площадь фигуры, изображенной на рисунке. Предположим, что она расположена внутри единичного квадрата.
Выберем внутри единичного квадрата N случайных точек. Обозначим через NтАЩ число точек, попавших внутрь этой фигуры. Тогда площадь этой фигуры будет приближенно равна
.
На рисунке всего 30 точек. 12 из них попали в фигуру,
, в то время как истинная площадь фигуры равна 0,48.
Особенности Метода.
Первая особенность тАУ простота вычислительного алгоритма. Как правило, составляется программа для проведения одного случайного испытания, и повторять его N раз. Поэтому Метод часто называют методом статистических испытаний
Вторая особенность тАУ погрешность, как правило, пропорциональна
, где D = const, N тАУ число испытаний.
Разные задачи можно решать разными вариантами Метода, которых, кстати, очень много. Для каждого варианта тАУ свое значение D и, соответственно, свое значение погрешности.
С помощью Метода можно смоделировать любой процесс, протекание которого связано со случайными величинами. Так же можно искусственно придумать вероятностную модель для задач, не связанных со случайностью.
Для получения случайных чисел существуют специальные таблицы, которыми особенно удобно пользоваться на компьютерах: каждый раз мы просто берем очередное число и используем его как случайное. Но составить такую таблицу не так просто, как может показаться. Существуют специальные тесты, чтобы проверить правильность случайной последовательности.
Практическое значение Метода очень велико. С его помощью, например, можно рассчитать надежность любого изделия, или рассчитать траекторию прохождения нейтронов сквозь пластину или положение электрона в данный момент времени и т.д.
5. Несколько слов об истории развития Теории.
В XVII столетии Теорией занимались такие выдающиеся математики, как Паскаль, Ферма, Гюйгенс. При этом первые вклады в Теорию были сделаны в связи с изучением азартных игр.
Однако уже в конце XVII в. начали пользоваться Теорией при страховании кораблей, т.е. начали подсчитывать, сколько шансов на то, что корабль вернется в порт невредимым, не будет потоплен бурей, что груз не подмокнет, что он не будет захвачен пиратами и т.д. Такой расчет позволял определять, какую страховую сумму следует выплачивать и какой страховой взнос брать, чтобы это было выгодно для компании.
В первой половине XVIII в. для теории много сделал Яков Бернулли тАУ член Российской Академии наук. Следует отметить труды С. Лапласа, С. Пуассона, К. Гаусса.
При всем при том, в течение второй половины XVIII в. Теория в известном смысле Влтопталась на местеВ». В то время была еще не ясна связь между различными явлениями в жизни и наукой о массовых явлениях. В середине XIX в. большой сдвиг в развитии Теории сделал русский математик П. Чебышев. Внесли большой вклад Марков, Ляпунов, Бернштейн, Колмогоров.
![]()
Теория сыграла большую практическую роль во Второй Мировой войне. Приведем пример из военной области. Понятно, что очень трудно сбить самолет одним выстрелом из винтовки. Ведь стрелок должен не только попасть в самолет, но поразить самое уязвимое место, например топливный бак. Поэтому вероятность того, что один стрелок собьет винтовкой самолет, ничтожна. Совсем другое дело тАУ массовый обстрел. Если предположить, что вероятность сбить самолет одной винтовкой равна 0,004; соответственно, вероятность промаха тАУ 0,996. Теперь предположим, что стреляют 500 стрелков; как мы доказали выше, вероятность промаха составляет
Таким образом, вероятность сбить самолет одним залпом равна 0,86. А если есть возможность произвести 2 тАУ 3 залпа, то шансы у самолета уцелеть близки к нулю.
Так же Теория позволяла определять районы, в которых имели смысл поиски самолетов и подводных лодок или указывать пути, чтобы избежать встречи с ними. Типичной здесь является задача о том, как выгоднее вести караваны торговых судов по океану, в котором действуют вражеские подлодки. Если организовывать караваны из большого числа судов, то можно будет обойтись меньшим числом рейдов, но и возможные потери при встрече с флотом врага будут больше. Теория помогла рассчитать оптимальные размеры караванов и частоту их отправления. Задач такого рода возникало немало, поэтому при штабах организовывались специальные группы, занимающиеся расчетами вероятностей. После войны подобные расчеты стали применяться к хозяйственным вопросам мирного времени. Они составляли содержание нового большого направления, названного исследованием операций, которое оформляется в целую науку.
Вместе с этим смотрят:
Методы сегментированияМонополистическая конкуренция
Мотивации и поведение потребителей
Научно-техническая продукция