90 тригонометрических формул
9, 10. ![]()
11, 12. ![]()
13, 14. ![]()
15, 16. ![]()
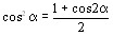
17. ![]()
18. ![]()
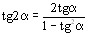
19. ![]()
20. ![]()
21. ![]()
22. ![]()
23. ![]()
24. ![]()
25. ![]()
26. ![]()
27. ![]()
28. ![]()
29. ![]()
30. ![]()
31. ![]()
32. ![]()
33, 34. ![]()
35, 36. ![]()
37. ![]()
38. ![]()
39. ![]()
40. ![]()
41. ![]()
42. ![]()
43. ![]()
44. ![]()
45. ![]()
46. ![]()
47. ![]()
48. ![]()
49. ![]()
50. ![]()
51. ![]()
52. ![]()
53. ![]()
54. ![]()
55. ![]()
56. ![]()
57. ![]()
58. ![]()
59. ![]()
60. ![]()
61. ![]()
62. ![]()
63. ![]()
64. ![]()
65. ![]()
66. ![]()
67. ![]()
68. ![]()
69. ![]()
70. ![]()
71. 
72. 
73. 
74. ![]()
75. ![]()
76. ![]()
77. 
78. 
79. 
80. 
81. ![]()
82. ![]()
83. ![]()
84. 
85. 
86. ![]()
87. 
88. 
89. 
90. 
Вместе с этим смотрят:
Автоматы с магазинной памятьюАдаптивное параметрическое оценивание квадратно-корневыми информационными алгоритмами
Аксиоматический метод
Аксиомы