Анализ цепи во временной области методом переменных состояний при постоянных воздействиях
АНАЛИЗ ЦЕПИ ВО ВРЕМЕННОЙ ОБЛАСТИ МЕТОДОМ ПЕРЕМЕННЫХ СОСТОЯНИЯ ПРИ ПОСТОЯННЫХ ВОЗДЕЙСТВИЯХ
Дано:
Для схемы:
U 0 (t)= U 0 =const U 0 =5 В
i 0 (t)=I 0 d 1 (t) I 0 =2 A
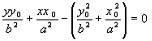
Переменными состояния для данной схемы будут являться напряжения на емкостях С 1 и С 4 . Для нахождения уравнений состояния запишем уравнения по I и II законам Кирхгофа:
(1)
Для нахождения производных переменных состояния решим следующую систему, полученную из системы (1), приняв за неизвестные все токи, участвующие в системе (1) и первые производные переменных состояния. Переменные состояния примем за известные величины для получения их в правой части уравнений состояния:
![]()
(2)
Решаем эту систему в матричном виде с помощью MathCad:
1.2 Найти точные решения уравнений состояния
Сначала найдем корни характеристического уравнения как собственные числа матрицы, составленной из коэффициентов при переменных состояния в уравнениях состояния:
Общий вид точных решений уравнений состояния:
Вынужденные составляющие найдем как частное решение уравнений состояния, учитывая то, что если в цепи включены только постоянные источники питания, значит, и принужденные составляющие будут константами, соответственно производные принужденных составляющих будут равны нулю. Учитывая выше сказанное, найдем их из уравнений состояния следующим способом:
![]()
![]()
Начальные условия (находятся из схемы):
Для нахождения постоянных интегрирования A 1 , A 2 , A 3 , A 4 требуется 4 уравнения. Первые два уравнения получим из выражений точного решения уравнений состояния, учитывая законы коммутаций: переменные состояния не меняют своего значения в момент коммутации

![]()
При t=0:
Далее найдем значения производных переменных состояния при t=0 из уравнений состояния:
Выражения эти производных найденные из выражений решения уравнений состояния:
![]()
![]()
При t=0:
Таким образом имеем 4 уравнения для нахождения постоянных интегрирования, находим их:
Точные решения уравнений состояния:
![]()
Для численного решения уравнений состояния воспользуемся алгоритмом Эйлера:
Подставляя выражения производных из уравнений состояния:
h тАУ шаг расчета =2*10 -6 с. i=1тАж100. Переменными с нулевыми индексами являются значения начальных условий
1.2.2 Найти точные решения уравнений состояния.(второй способ)



e (A)t = a 0 + a 1 (A) e (A)t =
(X) = [e (A)t -1][A] -1 [B][V]
![]()
1.4 Построить точные и численные решения уравнений состояния, совместив их попарно на одном графике для каждой из переменной состояния
![]()
Часть 2
Анализ цепи операторным методом при апериодическом воздействии
Анализу подлежит следующая цепь:
Параметры импульса: U m =10 В t u =6*10 -5 c
Форма импульса:
2.1 Определить функцию передачи: ![]()
воспользуемся методом пропорциональных величин и определим u(t)=1(t), его Лапласово изображение U 0 (s)=1/s
Запишем уравнения по законам Кирхгофа в операторной форме, учитывая, что начальные условия нулевые:

Решаем эту систему:
Таким образом:
Функция передачи:
2.2 Найти нули и полюсы функции передачи и нанести их на плоскость комплексной частоты. Полюсы:

Нули:
Плоскость комплексной частоты:
2.3 Найти переходную и импульсную характеристики для выходного напряжения.
Импульсная характеристика:
Выделим постоянную часть в H U (s):
Числитель получившейся дроби:
Упрощенное выражение H U (s):
Для нахождения оригинала воспользуемся теоремой о разложении. Для этого найдем производную знаменателя:
Коэффициенты разложения:
Оригинал импульсной характеристики:
![]()
![]()
Переходная характеристика:
Этим же методом находим оригинал характеристики:
![]()
![]()
2.4 Определить изображение по Лапласу входного импульса
Изабражение по Лапласу фукции f(t):

Входной импульс представляет собой функцию
Поэтому изображение входного сигнала будет
![]()
![]()
2.5 Найти напряжение на выходе схемы, используя H U (s)
Изображение выходного сигнала:
Найдем отдельно оригиналы части выражения при
и при части, не имеющей этого множителя:
Для части выражения при
,используя теорему о разложении:
Для части выражения не имеющей множителя
,используя теорему о разложении: ![]()
Функция напряжения на выходе схемы, получена с использованием теоремы о смещении оригинала:
![]()
2.6 Построить на одном графике переходную и импульсную характеристики цепи, на другом тАУ входной и выходной сигналы
Переходная h 1 (t) и импульсная h(t) характеристики
Входной и выходной сигналы

Ва
Часть 3
Анализ цепи частотным методом при апериодическом воздействии
3.1 Найти и построить амплитудно-фазовую (АФХ), амлитудно-частотную (АЧХ) и фазо-частотную (ФЧХ) характеристики функций передачи H U (s)
амплитудно-фазовая характеристика:

амплитудно-частотная характеристика:
фазо-частотная характеристика:
График АЧХ:
График ФЧХ:
3.2 Определить полосу пропускания цепи по уровню 0.707 
![]()
Из графика АЧХ находим полосу пропускания цепи: ![]()
с -1
3.3 Найти и построить амплитудный и фазовый спектры входного сигнала по уровню 0.1 
Амплитудный спектр входного сигнала:
Фазовый спектр входного сигнала:
График амплитудного и фазового спектра входного сигнала:
Ширина спектра
с -1
3.4 Сопоставляя спектры входного сигнала с частотными характеристиками цепи, дать предварительные заключения об ожидаемых искажениях сигнала на выходе цепи
Существенная часть амплитудного спектра входного сигнала укладывается в полосу пропускания, исключая полосу 0-5*10 4 с -1 , где и будут наблюдаться основные амплитудные искажения. Фазо-частотная характеристика цепи нелинейна, поэтому здесь будут иметь место фазовые искажения, что видно на рис
3.5 Найти и построить амплитудный и фазовый спектр выходного сигнала
Получаются по формулам:

![]()
3.6 Определить выходной сигнал по вещественной частотной характеристике, используя приближенный метод Гиллемина.
Вещественная характеристика:
![]()
Существенную часть этой характеристики кусочно-линейно аппроксимируем. Начертим первую и вторую производную кусочно-линейной аппроксимирующей функции
![]()
График вещественной характеристики:
Тогда: 
График напряжения, вычисленного по этой формуле, и полученный в ч.2
![]()
Часть 4
Анализ цепи частотным методом при периодическом воздействии
Дано: T=18*10 -5 c. U m =10 В. t u =6*10 -5 c
форма сигнала u 0 (t):
4.1 Разложить в ряд Фурье заданную периодическую последовательность импульсов и построить ее амплитудный и фазовый спектры.
Коэффициенты ряда Фурье для u 0 (t) найдём из следующего соотношения:
![]()
где w 1 = 2 p /Т , k=0, 1, 2, .. w 1= 3.491*10 4 с.
Значения A k и a k приведены в табл. ,на рис. , построены соответственно амплитудный и фазовый спектры заданной периодически последовательности сигналов u 0 (t).
k |
A k |
a k |
0 |
0 |
0 |
1 |
2.067 |
0.524 |
2 |
3.308 |
-0.524 |
3 |
2.774 |
-1.571 |
4 |
2.363 |
-2.618 |
5 |
1.034 |
2.618 |
6 |
0 |
1.571 |
7 |
0.413 |
-2.618 |
8 |
0.301 |
2.618 |
9 |
0 |
1.571 |
Таким образом, в соответствии с шириной спектра

![]()
4.2 Построить на одном графике заданную периодическую последовательность импульсов и ее аппроксимацию отрезком ряда Фурье, число гармоник которого определяется шириной амплитудного спектра входного сигнала, найденной в п 3.3
4.3 Используя рассчитанные в п. 3.1 АЧХ и ФЧХ функции передачи цепи, определить напряжение или ток на выходе цепи в виде отрезка ряда Фурье.
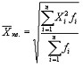
Для определения коэффициентов ряда Фурье выходного напряжения вычислим значения АЧХ и ФЧХ функции передачи для значений k w 1 , k=0, 1, 2, .., 8. Тогда

![]()
![]()
k |
A k |
a k |
0 |
0 |
0 |
1 |
0.208 |
1.47 |
2 |
0.487 |
-0.026 |
3 |
0.436 |
-1.355 |
4 |
0.361 |
-2.576 |
5 |
0.15 |
2.554 |
6 |
0 |
1.443 |
7 |
0.054 |
-2.785 |
8 |
0.037 |
2.429 |
9 |
0 |
1.371 |
В итоге получим:
![]()
Вместе с этим смотрят:
Аналитическая геометрияАналитическая геометрия (билеты)
Аппроксимация функций
Аффинные преобразования на плоскости