Математическое моделирование и оптимизация в химической технологии
МИНИСТЕРСТВО ВЫСШЕГО И СРЕДНЕГО СПЕЦИАЛЬНОГО ОБРАЗОВАНИЯ
ОрёлГТУ Кафедра ВлВысшей математикиВ» Математическое моделирование и оптимизация в химической технологии.Выполнил: Мартынов Е.Н.
Группа 21-ТМ
Проверил: Шмаркова Л.И.
Орёл 2000
ОрелГТУ 2000г.
На химических заводах и комбинатах из сырья минерального, растительного или животного происхождения и различных промежуточных продуктов их переработки производят свыше миллиарда тонн в год химической продукции сотен тысяч наименований. При огромных различиях в масштабах производства (от десятков тонн до десятков миллионов тонн в год) и номенклатуре продукции все химические предприятия имеют общие принципы построения и общие направления развития и совершенствования. Любое химическое производство включает технологические стадии приема и подготовки сырья, химического превращения разделения реакционной массы, выделения целевого продукта, его очистки, отгрузки и отправки потребителю, а также очистки и переработки отходов и выбросов. Кроме сырья химические производства в значительных количествах потребляют пар воду, электроэнергию.
Эффективность химического производснва определяется экономическими показателями, и ее повышение достигается различными методами, одним из которых является метод математического моделирования.
Важнейшими характеристиками работы промышленного химического реактора являются удельная производимость (количество целевого продукта, образующегося в единицу времени в единице объема реактора) и селективность (доля превращенного сырья, использованного на образование целевого продукта). Для достижения наилучших экономических результатов необходимо добиваться возможно более высоких значений этих показателей. Для этого необходимо выбрать соответствующие условия протекания процесса с использованием его математической модели, который основан на использовании законов природы, лежащих в основе химических и физических процессов, протекающих в реакторе и других аппаратах различных технологических стадий. К ним относятся уравнения химической кинетики и термодинамики, описывающие скорости образования основных и побочных продуктов реакции и состав реакционной массы как функцию температуры, давления, начальных концентраций реагентов и степени их конверсии, уравнения гидродинамических, тепловых и массообменных процессов, сопровождающих реакцию или протекающую в отдельных аппаратах. Эти уравнения используют затем для построения функции себестоимости или дохода связывающие эти критерии с параметрами процесса.
Рассмотрим на конкретном примере решение проблемы оптимизации химико- технологического процесса с использованием простейших моделей.
В качестве примера решим задачу подбора параметров процесса для обеспечения максимальной производительности.
Предположим что производство продукта Bобразующегося по реакции А
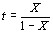
В.функционирует с 40-х годов по старой технологии. Согласно производственному регламенту, реакция проводится в периодическом реакторе, в который загружается раствор исходного реагента А с начальной концентрацией СА,0 = 1моль/л. В количестве V=100л. реакционная масса термостатируется с помощью теплообменных устройств реактора (рубашка змеевик) в течение времени t=Ва3ч. За это время часть исходного реагента А превращается в продукт реакции В. При этом степень конверсии Х исходного реагента А в В:

(1)
где СА и СВ тАУ концентрации А и В (моль/л) в реакторе в момент времени t=3ч.
При достижение заданной конверсии реакционная масса охлаждается, продукт реакции В отделяется, а не превращенный исходный реагент А попадает в отходы производства. Суммарное время загрузки и выгрузки реакционной массы составляет t0=1 ч.
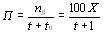
Для таких регламентных показателей загрузки реагента А для проведения одной операции составляет nА,0 =VВа.СА,0=100 моль, а количество образовавшегося за время реакции продукта nB= nA,0.X=100 . 0,75=75 моль. Отсюда часовая производительность П установки, выраженная в молях продукта В, полученного в единицу времени :
моль/ч, или
18,75 . 24 = 450 моль/л . ч
Для решения поставленной задачи максимальной производительности проведем исследования кинетики реакции А
В. Находим, что ее скорость описывается кинетическим уравнением второго порядка:
Вамоль/л . ч (2)
с константой скорости k = 1 л/моль. ч. Уравнение (2) представляет собой в данном случае математическую модель описанного выше периодического реактора. Воспользуемся этой моделью для определения степени конверсии Х и времени t, обеспечивающих максимальную производительность установки. Очевидно, что такое время существует, поскольку при малом времени реакции t, несмотря на высокую скорость реакции (СА близко к СА,0), общая производительность установки мала из тАУ за большой доли непроизводительных затрат времени t0. К тому же при большом времени реакции t доля непроизводительных затрат снизится и скорость реакции из тАУ за малой концентрации СА к концу реакции (см. ур. 2).
Для определения оптимальных значений Х и t выразим через СА через Х (СА=СА,0( 1 - Х )), подставим в уравнение (2)

и проинтегрируем

или

Подставив приведенные выше значения k и CA,0 в последнее уравнение, получим
(3)
Запишем теперь уравнение для расчета производительности установки. Для этого количество молей продукта В, производимых за одну операцию,
nB=VCB=VCA,0=100X
разделим на время операции t+t0 :
моль/ч.
Используя соотношение (3) получим
П=100Х( 1 тАУ Х)
Теперь легко найти оптимальное значение Х для обеспечения максимального значения П. Для этого продиференцируем П по Х и приравняем производную нулю:

Отсюда оптимальное значение Х=0.5, а максимальное значение производительности, согласно (5), П = 25 моль/ч. или 25*24 = 600 моль/сут, что на 33,3 % выше регламентного показателя.
В целом на производстве основная доля затрат приходится на сырье (70%) и энергию ( до 40%). Снижение их расхода на еденицу продукции дает наибольший экономический эффект. Кардинальный путь снижения этих затрат состоит в использовании новых технологий, нодополнительного снижения затрат на производстве достигают оптимизацией процессов на всех технологическх стадиях.
1. Темкин О.Н. Промышленный катализ и экологические безопасные технологии // Cоросовский Образовательный Журнал. 1997. №3. С. 42-50.
2. Швец В.Ф. Совершенствование химических производств // Cоросовский Образовательный Журнал. 1997. №6. С. 49-55.
3. Неймарк Ю.И. Простые математические модели и их роль в постижении мира // Cоросовский Образовательный Журнал. 1997. №3. С. 139-143.
Вместе с этим смотрят:
Математическое моделирование окружающей средыМатематическое моделирование полета лыжника
Математическое моделирование системных элементов
Математическое программирование