Механические колебания в дифференциальных уравнениях
Министерство образования Российской Федерации
Магнитогорский государственный технический университет им. Г.И. Носова
РЕФЕРАТ
на тему:
тАЬМЕХАНИЧЕСКИЕ КОЛЕБАНИЯ В ДИФФЕРЕНЦИАЛЬНЫХ УРАВНЕНИЯХтАЭ
Выполнил: студент гр. МХТ-02
Казаков Василий Васильевич
Проверила:
Абрамова Ирина Михайловна
Магнитогорск 2003
Содержание
- Гармонические колебания
- Затухающие колебания
- Вынужденные колебания без учета сопротивления среды
- Вынужденные колебания с учетом сопротивления среды
Колебаниями называются процессы, которые характеризуются определенной повторяемостью во времени. Колебательные процессы широко распространены в природе и технике, например качания маятника часов, переменный электрический ток и т.д. При колебательном движении маятника изменяется координата центра масс, в случае переменного тока колеблются напряжение и сила тока. Физическая природа колебаний может быть разной, однако различные колебательные процессы описываются одинаковыми характеристиками и одинаковыми уравнениями. Рассмотрим механические колебания.
Гармонические колебания.
Гармоническими колебаниями называются колебания, при которых изменяющаяся величина изменяется по закону синуса (косинуса).
Пусть груз весом Р подвешен на вертикальной пружине, длина которой в естественном состоянии равна
. Груз слегка оттянут книзу и затем отпущен. Найдем закон движения груза, пренебрегая массой пружины и сопротивлением воздуха.
Решение
Направим ось Ох вниз по вертикальной прямой, проходящей через точку подвеса груза. Начало координат О выберем в положении равновесии груз, то есть в точке, в которой вес груза уравновешивается силой натяжения пружины.
Пусть λ означает удлинение пружины в данный момент, а λсттАФстатическое удлинение, т.е. расстояние от конца нерастянутой пружины до положения равновесия. Тогда λ=λст+х, или λ-λст=х.
Дифференциальное уравнение получим из второго закона Ньютона: F=ma, где m=P/gтАФмасса груза атАФускорение движения и FтАФравнодей-ствующая приложенных к грузу сил. В данном случае равнодействующая слагается из силы натяжения пружины и силы тяжести.
По закону Гука сила натяжения пружины пропорциональна её удлинению: Fупр=-сλ, где с тАУ постоянный коэффициент пропорциональности называемый жесткостью пружины.

Так как в положении равновесия сила равновесия сила натяжения пружины уравновешивается весом тела, то P= сλст. Подставим в дифференциальное уравнение выражение Р и заменим λ-λст через х, получится уравнение в виде:

или, обозначив с/m через k2,
(1)
Полученное уравнение определяет так называемые свободные колебания груза. Оно называется уравнением гармонического осциллятора. Это линейное дифференциальное уравнение второго порядка с постоянными коэффициентами. Его характеристическое уравнение:
![]()
имеет мнимые корни
, соответственно этому общее решение
![]()
Для выяснения физического смысла решения удобнее привести его к другой форме, введя новые произвольные постоянные. Умножив и разделив на
, получим:

Если положить

то
(2)
График гармонических колебаний имеет вид:

Таким образом, груз совершает гармонические колебания около положения равновесия.
Величину А называют амплитудой колебания, а аргуВнмент
тАФ фазой колебания. Значение фазы при t=o т.e. величина
, называется начальной фазой колебания. Величина
есть частота колебания. Период колеВнбания
и частота k зависят только от жесткости пружины и от массы системы. Так как с = Р/λст = mg/λст, то для периода можно получить также формулу:

Скорость движения груза получается дифференцироваВннием решения по t:
![]()
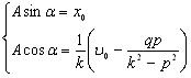
Для определения амплитуды и начальной фазы необхоВндимо задать начальные условия. Пусть, например, в начальВнный момент t = 0 положение груза x=x0 и скорость υ=υ0. Тогда
, откуда
, 
Из формул для амплитуды и начальной фазы видно, что в отличие от частоты и периода собственных колеВнбаний они зависят от начального состояния системы. При отсутствии начальной скорости (υ0=0) амплитуда А=х0, а начальная фаза α=π/2 и, таким образом,
или ![]()
Затухающие колебания.
Затухающими колебаниями называются колебания, амплитуды которых из-за потерь энергии реальной колебательной системой с течением времени уменьшают-ся. Найдем закон движения груза в условиях предыдущей задачи, но с учетом сопротивления воздуха, которое пропорционально скорости движения.
Решение
К силам, действующим на груз, прибавВнляется здесь сила сопротивления воздуха
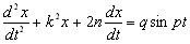
(знак минус показывает, что сила R направлена противопоВнложно скорости υ). Тогда дифференциальное уравнение движения в проекции на ось Ox имеет вид
![]()
или если положить
,
, то
(3)
Это уравнение также является линейным однородным уравнением второго порядка с постоянными коэффициенВнтами. Его характеристическое уравнение:
![]()
имеет корни
(4)
Характер движения целиком определяется этими корВннями. Возможны три различных случая. Рассмотрим снаВнчала случай, когда
. Это неравенство имеет место, когда сопротивление среды невелико. Если полоВнжить
, то корни (4) имеют вид
. Тогда общее решение можно записать в виде
![]()
или, преобразовав, умножая и деля на
, получим:

положим, что
,
тогда
(5)
График зависимости отклонения от положения равновесия от времени имеет вид:

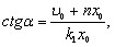
Если заданы начальные условия:
при t = 0, то можно определить А и α. Для этого находим
![]()
и подставляем t = 0 в выражения для
и
получим систему уравнений

Разделелив обе части второго уравнения на соответствующие части первого получим

откуда
или
а 
Так как

то

Решение (5) показывает, что имеют место затухающие колебания. Действии-тельно, амплитуда колебания
завиВнсит от времени и является монотонно убывающей функцией, причем
при
.
Период затухающих колебаний определяется по формуле

Моменты времени, в которые груз получает максимальВнное отклонение от начала координат (положения равновеВнсия), образуют арифметическую прогрессию с разностью, равной полупериоду Т/2. Амплитуды затухающих колеВнбаний образуют убывающую геометрическую прогрессию со знаменателем, равным
или
. Эта величина называется декрементом затухания и обычно обозначается буквой D. Натуральный логарифм декремента lnD = - пТ/2 называется логарифмическим декрементом затухания.
Частота колебаний
в этом случае меньше, нежели в предыдущем (
), но, как и там, не зависит от начального положения груза.
Если сопротивление среды велико и
, то, положив
, получим корни (4) в виде
Так как
, то оба корня отрицательны. Общее решение уравнения в этом случае имеет вид
(6)
Отсюда видно, что движение апериодическое и не имеет колебательного характера. Аналогичный характер будет иметь движение и в случае
, когда общее решение имеет вид
(7)
Легко заметить, что в обоих последних случаях при
имеем
.
Если заданы начальные условия
и
, то в случае, когда
, имеем
, а
. Решая эту систему относительно
и
, получим
, ![]()
и, следовательно


В случае же, когда
, получаем
,
и следовательно,
![]()
Вынужденные колебания без учета сопротивления среды.
Вынужденными колебаниями называют колебания, вызванные внешней периодической возмущающей силой.
Пусть груз весом Р подВнвешен на вертикальной пружине, длина которой в ненаВнгруженном состоянии равна
. На груз действует периоВндическая возмущающая сила
где Q и р тАФ постоянВнные. Найдем закон движения груза, пренебрегая массой пружины и сопротивлением среды.
Решение
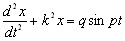
Как и для гармонических колебаний, получаем уравнение
![]()
Полагая, как и прежде,
и, кроме того,
переВнпишем уравнение в виде
(8)
ЭтотАФнеоднородное линейное уравнение второго порядка с постоянными коэффициентами, причем однородным уравВннением, соответствующим уравнению (8), является (1). Поэтому
; остается найти х. Если предВнположить, что
, то частное решение х, нужно искать в виде
, где М и N тАФ коэфВнфициенты, подлежащие определению. Итак,
![]()

Производя вычисления, получаем
![]()
откуда М=0 и
Полученное таким образом частное решение
(9)
определяет так называемые вынужденные колебания, созданные возмущаю-щей силой
. Вынужденные колебания, имеют тот же период, что и возмущающая сила, совпадают с ней по фазе (т. е. имеют одинаковую начальную фазу) при k>p, либо отличаются на π, если k<p, т. е. если N<0.
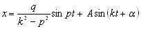
Закон движения представляется общим решением
. (10)
Оно слагается из собственно вынужденных колебаний (9), которые определяются внешней возмущающей силой, и собственных колебаний (2), обусловленных исключительно внутренними причинами: жесткостью пружины и массой груза.
Если заданы начальные условия:
и
, то можно определить произвольные постоянные А и υ. Для этого продифференцируем функцию (10):

и подставим в выражения х и
значение аргумента t = 0; получим систему уравнений относительно A и α:

Преобразуем её так:

возведем в квадрат обе части каждого из этих уравнений и сложим. Тогда

Для нахождения α разделим обе части первого уравВннения на соответствую-щие части второго; получим

откуда

при этом
, 
Итак, искомым частным решением, удовлетворяющим заданным начальным условиям, является функция

или

Частное решение (9), характеризующее собственно выВннужденные колебания, было получено в предположении, что
, т. е. что частота внешней силы не совпадает с частотой собственных колебаний. Если же
, то дело будет обстоять совсем иначе. Действительно, уравнение (8) можно переписать теперь в виде
(11)
Частное решение следует искать в форме
,
где М и N тАФ коэффициенты, подлежащие определению. Итак,
![]()

откуда получаем
,
, и следовательно, частное решение имеет вид
![]()
Общее решение в этом случае
(12)
Найдем
и подставим в выражения х и
значение t=0; получим

или 
Из последних двух равенств находим
, 
откуда

Перепишем общее решение так:
![]()
тогда искомое частное решение, удовлетворяющее заданВнным начальным условиям, запишется в виде.

Выражение (12) показывает, что амплитуда вынужденВнных колебаний
в этом случае может стать неограВнниченно большой даже тогда, когда q невелико. Иначе говоря, возможно получение сколь угодно больших амплиВнтуд при малых возмущающих силах. Это явление называется резонансом. Таким образом, резонанс наступает тогда, когда частота возмущающей силы совпадает с частоВнтой собственных колебаний.
Впрочем, в действительности точное совпадение этих частот не является необходимым. Выражение (9) для вынужденного колебания показывает, что при близости частот амплитуда
может быть очень большой, хотя и ограниченной при фиксированных частотах k и р. Возможностью создания колебаний с значительной амплиВнтудой часто пользуются в различных усилителях, например в радиотехнике. С другой стороны, в большом числе слуВнчаев появление больших амплитуд является вредным, ибо может приводить к разрушению конструкций (скажем, мостов или перекрытий).
Вынужденные колебания с учеВнтом сопротивления среды.
Найдем закон движеВнния груза в условиях предыдущей задачи с учетом сопроВнтивления среды, пропорционального скорости движения.
Решение
Как и выше, имеем
![]()
или положив
,
и ![]()
(13)
Однородным уравнением, соответствующим (13), является уравнение (3) с корнями характеристического уравнения (4). Предположим, что сопротивление среды невелико, т. е.
. При этом общее решение однородного уравВннения имеет вид (5):
![]()
где
. Это решение определяет свободные колебания, которые будут затухающими. Для отыскания вынужденных колебаний ищем частное решение в виде
![]()
Имеем:

Сравнивая коэффициенты, получаем систему

Так как

![]()
![]()
![]()
![]()
то
и 
и мы находим частное решение

Преобразуем выражение
следующим образом:
.
Обозначив

(14)
перепишем
виде
(15)
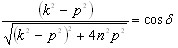
Выражение
(16)
носит название сдвига фазы. Общее решение, как и в преВндыдущей задаче, слагается из свободных колебаний [см. формулу (5)] и собственно вынужденных колебаний (15):
(17)
Первое слагаемое, как было сказано выше, определяет затухающие колебания, которые, особенно при большом
, довольно скоро становятся мало ощутимыми. Что касается вынужденных колебаний (15), то их амплитуда (14) не зависит от времени и пропорциональна амплитуде Q периодического возмущения, так как
. Она отлиВнчается от q множителем
(18)
характеризующим зависимость амплитуды вынужденного колебания от частоты возмущающей силы.
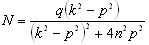
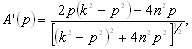
Определим максимум этой амплитуды. Для этого найВндем производную функции (18)

Положив
, получим уравнение
(случай р = 0 отбрасывается как невозможный), корень которого дает частоту внешних сил:
![]()
при которой, как показывает проверка достаточных условий экстремума, амплитуда вынужденных колебаний будет максимальной. Максимальное значение амплитуды равно
(19)
Формула (19) показывает, что амплитуда колебаний тем больше, чем меньше п. При малых п частота р близка к частоте собственных колебаний k.
Решение (15) существует всегда, когда
![]()
В случае
получаем p=k и n= 0, и уравнение (13) превращается в уравнение (11). Здесь вновь наступает явление резонанса, при котором, как было рассмотрено выше, вынужденные колебания имеют вид (12).
Вместе с этим смотрят:
Милетская школаМногочлен (полиномом) от матрицы
Множества с двумя алгебраическими операциями кольца и поля
Неевклидовы пространства