Обыкновенные дифференциальные уравнения
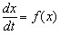
Рассмотрим систему
|
(1) |
где
тАУ дважды непрерывно дифференцируемая вектор-функция. Пусть
тАУ некоторая траектория системы (1), содержащаяся при
в ограниченной области
. В дальнейшем будем также предполагать, что
в замыкании
области
.
Введём в рассмотрение симметричную не особую матрицу
, где
тАУ дважды непрерывно дифференцируемые вектор-функции, и дважды непрерывно дифференцируемую вектор-функцию
, удовлетворяющую неравенству
.
Пусть
тАУ некоторая симметричная
тАУ матрица,
тАУдифференцируемая функция,
и
тАУчисловые последовательности, удовлетворяющие условиям
,
,
. Здесь
и
тАУ некоторые числа.
Введём также обозначение
.
Теорема. Пусть выполнено неравенство


.
Тогда если квадратичная форма
на множестве
положительно определена и выполнено неравенство
, то траектория
орбитально асимптотически устойчива.
Если квадратичная форма
на множестве
не вырождена, может принимать отрицательные значения и выполнены неравенства
,
,
, то траектория
будет орбитально неустойчивой.
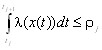
Доказательство. Рассмотрим множество
. Здесь
тАУ некоторое достаточно малое число.
Зафиксируем некоторую точку
и будем изучать поверхность
в некоторой достаточно малой окрестности точки
. Из
следует, что найдётся число
такое, что
,
. Возьмём число
, близкое к
. В этом случае
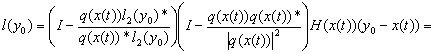
.Определим теперь отображение
точки
в гиперплоскость
таким образом, чтобы
![]()
|
(2) |
При этом число
будем выбирать так, чтобы
, а матрицу
такой, чтобы имело место соотношение (2). Ясно, что
.
Здесь
, считаем, что величина
является большой. Отсюда следует, что для выполнения соотношения (2) достаточно, чтобы выполнялось равенство

|
(3) |
Из соотношения (2) следует, что вектор
,нормальный к
в точке
, может быть определён следующим образом:
,
где
,
.
Заметим, что

.
Поэтому


.
Отсюда и из соотношения (3) получим, что

![]()
|
(4) |
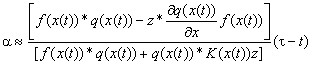
Покажем теперь, что траектория
системы (1), проходящая в момент времени
через точку
, удовлетворяет с точностью до
соотношению
|
(5) |
Для этого отметим, что при малых
.Поэтому вектор
с точностью до
принадлежит гиперплоскости
, которая параллельна гиперплоскости, касательной к поверхности
, и проходит через точку
.
Ясно также, что
проходит через расположенную в гиперплоскости
точку
, где
.
Отсюда, из соотношения
и того факта, что векторы, нормальные к
и
в точке
, совпадают с точностью до
, следует соотношение (5).
Из включения (5), равенства (4) и условия 1) теоремы вытекает при всех
соотношение
, где
тАУ некоторая непрерывная функция, удовлетворяющая неравенству
.
Используя это неравенство, условия 2), 3) теоремы и стандартную ляпуновскую технику, получим утверждение теоремы.
В случае
,
,
,
, получим широко известный признак Пуанкаре.
Список использованных источников
- Демидович Б. П. Обыкновенные дифференциальные уравнения. М., 1970.
- Леонов Г. А. Многомерный аналог признака орбитальной устойчивости Пуанкаре.// Дифференциальные уравнения, 1988 №9
- Хартман Ф. Обыкновенные дифференциальные уравнения. М., 1970.
Вместе с этим смотрят:
Однополостный гиперболоидОписанные и вписанные окружности
Определение коэффициента поверхностного натяжения методом компенсации давления Лапласа
Оптимизация производственной программы заданной комплектности
.