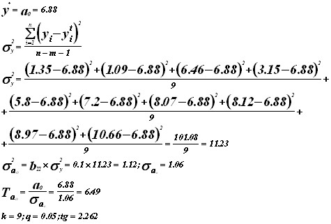
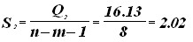
Оценка значимости коэффициентов регрессии
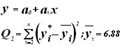
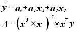
y=a уравнение регрессии.
Таблица 1
x |
1 |
2 |
3 |
4 |
5 |
6 |
7 |
8 |
9 |
10 |
y |
1.35 |
1.09 |
6.46 |
3.15 |
5.80 |
7.20 |
8.07 |
8.12 |
8.97 |
10.66 |

Оценка значимости коэффициентов регрессии.
Выдвигается и проверяется гипотеза о том что истинное значение коэффициента регрессии=0.
Для проверки гипотезы используется критерий Стьюдента.

к-т является значимым и нулевую гипотезу отвергаем.
График 1

- уравнение регрессии
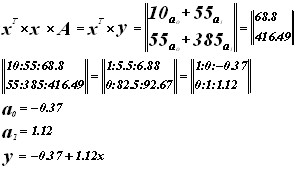
Таблица 2
x |
1 |
2 |
3 |
4 |
5 |
6 |
7 |
8 |
9 |
10 |
y |
1.35 |
1.09 |
6.46 |
3.15 |
5.80 |
7.20 |
8.07 |
8.12 |
8.97 |
10.66 |
![]()
Запишем матрицу X


Система нормальных уравнений.

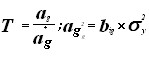
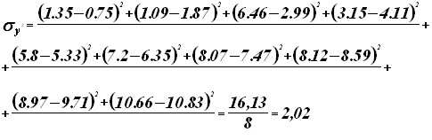
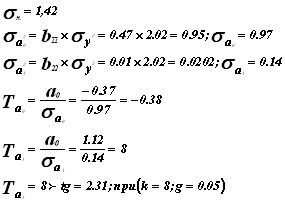
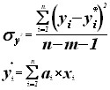
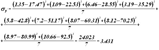
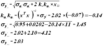
Оценка значимости коэффициентов регрессии.
Для проверки нулевой гипотезы используется критерий Стьюдента.

![]()




Коэффициент ai является значимости, т.к. не попал в интервал.
Проверка адекватности модели по критерию Фишера.

![]()
![]()



Критерий Фишера.

отсюда линия регрессии адекватна отраксает исходную информацию, гипотеза о равенстве мат. Ожиданий отвергается.
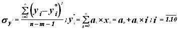
Проверка адекватности модели по коэффициенту детерминации или множественная корреляция.
регрессионная модель адекватна
Коэффициент множественной корреляции:
![]()
![]()
Таблица 3
x |
1 |
2 |
3 |
4 |
5 |
6 |
7 |
8 |
9 |
10 |
y |
1.35 |
1.09 |
6.46 |
3.15 |
5.80 |
7.2 |
8.07 |
8.12 |
8.97 |
10.66 |
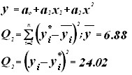
Приведем квадратное уравнение к линейной форме:
;![]()

Запишем матрицу X.

Составим матрицу Фишера.


Система нормальных уравнений.

Решим ее методом Гаусса.

Уравнение регрессии имеет вид:
![]()
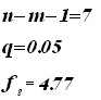
Оценка значимости коэффициентов регрессии.
Для проверки нулевой гипотезы используем критерий Стьюдента.
![]()



![]()


![]()




Коэффициенты
значимые коэффициенты.
Проверка адекватности модели по критерию Фишера.




гипотеза о равенстве математического ожидания отвергается.
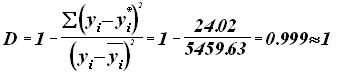
Проверка адекватности модели по коэффициенту детерминации или множественной корреляции.
Коэффициент детерминации :

- регрессионная модель адекватна.
Коэффициент множественной корреляции ![]()
Таблица 4
x |
1 |
2 |
3 |
4 |
5 |
6 |
7 |
8 |
9 |
10 |
y |
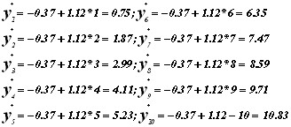
0,75 |
1,87 |
2,99 |
4,11 |
5,23 |
6,35 |
7,47 |
8,59 |
9,71 |
10,83 |
График 2

Таблица 5
x |
1 |
2 |
3 |
4 |
5 |
6 |
7 |
8 |
9 |
10 |
y |
16.57 |
20.81 |
25.85 |
31.69 |
38.3 |
45.8 |
54 |
63.05 |
72.9 |
83.53 |
График 3

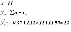
Использование регрессионной модели
для прогнозирования изменения показателя

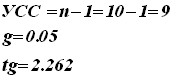
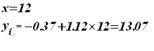
Оценка точности прогноза.

Построим доверительный интервал для заданного уровня надежности.


С вероятностью 0,05 этот интервал покрывает истинное значение прогноза ![]()
График 4


Оценка точности периода.

Построим доверительный интервал.

График 5

Вместе с этим смотрят:
Параллельные плоскостиПараллельные прямые
Перпендикулярные плоскости
Пирамиды