Применение тройных и кратных интегралов
Министерство общего и профессионального образования Р.Ф.
Иркутский государственный технический университет.
Кафедра высшей математики.
Реферат.
Применение тройных или кратных
интегралов.
Выполнила: студентка
группы ТЭ-97-1
Мелкоступова С.С.
Проверил преподаватель
кафедры высшей математики
Седых Е.И.
Иркутск 1998.
Содержание.
I. Масса неоднородного тела. Тройной интеграл.
II. Вычисление тройных интегралов.
1. Декартовы координаты.
А) Пример.
2. Цилиндрические координаты.
3. Сферические координаты.
А) Пример.
4. Применение тройных интегралов.
I. Масса неоднородного тела. Тройной интеграл.
Рассмотрим тело, занимающее пространственную область
(рис. 1), и предположим, что плотность распределения массы в этом теле является непрерывной функцией координат точек тела:
![]()
Единица измерения плотности - кг/м3.

Рис. 1.
Разобьем тело произвольВнным образом на n частей; объемы этих частей обозначим
Выберем затем в каждой части по проВнизвольной точке
Полагая, что в, каждой часВнтичной области плотность поВнстоянна и равна ее значению в точке
, мы получим приВнближенное выражение для массы всего тела в виде суммы
(*)
Предел этой суммы при усВнловии, что
и каждое частичное тело стягивается в точку (т. е. что его диаметр ) стремится к нулю), и даст массу М тела
![]()
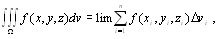
Сумма (*) называется n-й интегральной суммой, а ее предел - тройным интегралом от функции
по пространственной области
.
К вычислению тройного интеграла, помимо определения массы тела, приводят и другие задачи. Поэтому в дальнейшем мы будем рассматривать тройной интеграл
![]()
где
- произвольная непрерывная в области
функция.
Терминология для тройных интегралов совпадает с соответствуюВнщей терминологией для двойных интегралов. Точно так же формулиВнруется и теорема существования тройного интеграла .
Свойства двойных интегралов, полностью переносятся на тройные интегралы. Заметим только, что если подынВнтегральная функция
тождественно равна 1, то тройной интеграл выражает объем V области
:
![]()
Потому свойства V и VI надо теперь сформулировать следующим образом.
V 1. Если функция
во всех точках области интегриВнрования
удовлетворяет неравенствам
![]()
то
![]()
где V - объем области
.
VI 1. Тройной интеграл равен произведению значения подынВнтегральной функции в некоторой точке области интегрирования на объем области интегрирования, т. е.
![]()
II. Вычисление тройных интегралов.
Вычисление тройного интеграла
может быть осуществлено посредством ряда последовательных интегрировании. Мы ограничимся описанием соответствующих правил.
1. Декартовы координаты.
Пусть дан тройной интеграл от функции ![]()
![]()
причем область
отнесена к системе декартовых координат Oxyz, Разобьем область интегрирования и плоскостями, параллельными координатным плоскостям. Тогда частичными областями будут параллелепипеды с гранями, параллельными плоскостям Оху, Охz, Оуz. Элемент объема .будет равен, произведению дифференциалов переменных интегрирования
![]()
В соответствии с этим будем писать
![]()
Установим теперь правило для вычисления такого интеграла.
Будем считать, что область интегрирования
имеет вид, изобраВнженный на рис. 1).
Опишем около и цилиндрическую поверхность с образующей, перпендикулярной к плоскости Оху. Она касается области
вдоль некоторой линии L, которая делит поверхность, ограничивающую область, на две части: верхнюю и нижнюю. Уравнением нижней поверхности пусть будет
, уравнением верхней
.
Построенная цилиндрическая поверхность высекает из плоскости Оху плоскую область D, которая является ортогональной проекВнцией пространственной области
на плоскость Оху, при этом линия L проектируется в границу области
.
Будем производить интегрирование сначала по Направлению оси Оz. Для этого функция
интегрируется по заключенВнному в
отрезку прямой, параллельной оси Оz и проходящей через некоторую точку Р(х, у) области D (на рис. 1 отрезок
). При данных х и у переменная интегрирования z будет изменяться от
- аппликаты точки ВлвходаВ» (
) прямой в область
, до
- аппликаты точки ВлвыходаВ» (
) прямой из области
.
Результат интегрирования представляет собой величину, завиВнсящую от точки Р (х, у); обозначим ее через F(х, у):

При интегрировании х и у рассматриваются здесь как постоянВнные.
Мы получим значение искомого тройного интеграла, если возьмем интеграл от функции F(х, у) при условии, что точка Р(х, у) изменяется по области D, т. е. если возьмем двойной интеграл
![]()
Таким образом, тройной интеграл I может быть представлен в виде

Приводя, далее, двойной интеграл по области D к повторному и интегрируя сначала по y, а затем по x, получим
(*)
где
и
- ординаты точек ВлвходаВ» в область D и ВлвыхоВндаВ» из нее прямой
(в плоскости Оху), а a и b - абсциссы конечных точек интервала оси Ох, на который проВнектируется область D.
Мы видим, что вычисВнление тройного интеграла по области
производитВнся, посредством трех посВнледовательных интегрироВнвании.
Формула (*) сохраняетВнся и для областей, имеюВнщих цилиндрическую форВнму, т. е. ограниченных цилиндрической поверхноВнстью с образующими, параллельными оси Оz, а сниВнзу и сверху поверхностями, уравнения которых соответственно
и
(рис. 2).

Рис.2
Если областью интегрирования служит внутренность паралВнлелепипеда с гранями, параллельными координатным плоскостям (рис. 3), то пределы интегрирования постоянны во всех трех .интегралах :

В этом случае интегрирование можно производить в любом порядке, пределы интегрирования будут при этом сохраняться.
Если же в общем случае менять порядок интегрирования ( т.е., скажем, интегрировать сначала по направлению оси Oy, а затем по области плоскости Oxz), то это приведёт к изменению порядка интегрирования в тройном интеграле и к изменению пределов интегрирования по каждой переменной.
Рис.3 Рис.4

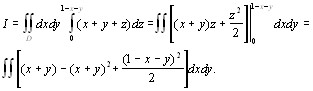
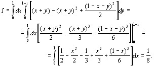
А) Пример.
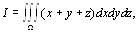
Вычислим тройной интеграл
![]()
где
- область, ограниченная координатными плоскостями
![]()
и плоскостью
(пирамида, изображённая на рис.4).
Интегрирование по z совершается от z=0 до
Поэтому, обозначая проекцию области
на плоскость Oxy через D, получим

Расставим теперь пределы интегрирования по области D - треугольнику, уравнения сторон которого ![]()

2. Цилиндрические координаты.
Отнесём область
к системе цилиндрических координат
, в которой положение точки M в пространстве определяется полярными координатами
ее проекции Р на плосВнкость Oxy и ее аппликатой (z). Выбирая взаимное распоВнложение осей координат, как указано на рис. 5, устаВнновим связь, между декартоВнвыми и цилиндрическими коВнординатами точки М, именно:
(*)

Рис.5
Разобьем область
на частичные области
тремя системами координатных поверхностей:
которыми будут соответственно круговые цилиндрические поверхности, осью котоВнрых является ось Оz, полуплоскости, проходящие через ось Оz, и плоскости, параллельные плоскости Оху. Частичными областями
служат прямые цилиндры MN (рис. 5). Так как объем цилиндра MN равен площади основания, умноженной на высоту, то для элемента объема получаем выражение
![]()
Преобразование тройного интеграла
к цилиндрическим координатам производится совершенно аналогично преобраВнзованию двойного интеграла к полярным. Для этого нужно в выВнражении подынтегральной функции
переменные x, y, z заменить по формулам (*) и взять элемент объёма равным ![]()
Получим
![]()
Если, в частности,
то интеграл выражает объём V области ![]()
![]()
Вычисление тройного интеграла в цилиндрических координатах приводится к интегрированиям по r, по
и по z на основании тех же принципов, что и в случае декартовых координат. В частВнности, если областью интегрирования служит внутренность циВнлиндра
то пределы трехкратного интеграла постоянны и не меняются при перемене порядка интегрирования:

3. Сферические координаты.
Отнесём теперь область интегрирования
к системе сферических координат
. В этой системе координат положение точки M в пространстве определяется её расстоянием r от начала координат (длина радиуса-вектора точки), углом
между радиусом-вектором точки и осью Oz и углом
между проекцией радиуса вектора точки на плоскость Oxy и осью Ox (рис. 6). При этом
может изменятся то 0 до
а
- от 0 до
.

Рис.6
Связь между сферическими и декартовыми координатами легко устанавливается. Из рис.6 имеем

Отсюда
(**)
Разобьем область
на частичные области
, тремя системами координатных поверхностей:
которыми будут

соответственно сферы с центром в наВнчале координат, полуплоскости, проходящие, через ось Оz, и конусы с вершиной в начале координат и с осями, совпадаВнющими с одной из полуосей Оz. Частичными областями
служат ВлшестигранникиВ» (рис. 7). ОтВнбросив бесконечно малые высших порядков, будем рассматривать шестигранник MN как прямоуВнгольный параллелепипед с измеВнрениями, равными:
по направВнлению полярного радиуса,
по направлению меридиана,
по направлению параллели. Для элемента объема мы получим тогда выражение
![]()
Заменив в тройном интеграле
по формулам (**) и взяв элемент объема равным полученному выражению, будем иметь
![]()
Особенно удобно применение сферических координат в случае, когда область интегрирование
- шар с центром в начале коорВндинат или шаровое кольцо. Например, в последнем случае, если радиус внутреннего шара
, а внешнего
, пределы интегрироВнвания следует расставить так:

Если
- шар, то нужно положить ![]()
A) Пример.
Вычислим объем шара радиуса R. В этом случае подынтегральную функцию надо взять равной 1, и мы получим

Применение тройных интегралов.
Для вычисления коордиВннат центра тяжести тела нужны статические моменты относительно координатных плоскостей Оху, Охz, Оуz; обозначим их соответВнственно
Повторяя рассуждения получим следующие формулы для координат
центра тяжести неоднородного тела, плотность которого задается функцией
занимающего область
:

Если тело однородно, т. е.
, то формулы упрощаются:

где V- объём тела.
Пример. Найдем центр тяжести однородного полушара
:
![]()
Две координаты центра тяжести
равны нулю, ибо полушар симметричен относительно оси Оz (тело вращения с осью Оz).
Интеграл
удобно вычислить, перейдя к сферическим координатам:

Так как объём полушара равен
то

Перейдём к вычислению моментов инерции тела относительно координатных осей. Так как квадраты расстояний от точки P(x, y, z) до осей Ox, Oy, Oz соответственно равны
то полагая для простоты
получим следующие формулы :
![]()
Аналогично плоскому случаю интегралы
![]()
называются центробежными моментами инерции.
Для полярного момента инерции формула имеет вид
![]()
Если тело неоднородное, то в каждой формуле под знаВнком интеграла будет находиться дополнительный множитель
- плотность тела в точке P.
Пример. Вычислим полярный момент инерции однородного шара радиуса R. В этом случае очень удобно перейти к сфериВнческим координатам. Будем иметь

где МтАФмасса шара.
Так как для сферы моменты инерции относительно осей коорВндинат, очевидно, равны между собой, то, учитывая, что
получим
![]()
Моменты инерции тела относительно оси играют важную роль при вычислении кинетической энергии тела при его вращении около соответствующей оси. Пусть тело
вращается около оси Оz с постоянной угловой скоростью
. Найдем кинетическую энерВнгию
тела. Как известно, кинетическая энергия точки измеряВнется величиной
, где т - масса точки, а
- величина ее скорости. Кинетическая энергия системы точек определяется как сумма кинетических энергий отдельных точек, а кинетическая энергия тела - как сумма кинетических энергий всех частей, на которые оно разбито. Это обстоятельство позволяет применить для вычисления .кинетической энергии интеграл.
Возьмем какую-нибудь окрестность
точки Р(х, у, z) тела
. Величина линейной скорости
точки Р при вращении около оси Оz равна
и значит, кинетическая энергия части
тела
выразится так :
![]()
где
- плотность тела в точке Р. Для кинетичеВнской энергии всего тела
получаем
![]()
т.е.
![]()
Кинетическая энергия тела, вращающегося около некоторой оси с постоянной угловой скоростью, равна половине квадрата угловой скорости, умноженной на момент инерции тела относительно оси вращения.
Список использованной литературы.
1. А.Ф. Бермант ,И.Г. Араманович.
Краткий курс математического анализа для втузов: Учебное пособие для втузов: - М.: Наука, Главная редакция физико-математической литературы, 1971 г.,736с.
Вместе с этим смотрят:
Применение тройных или кратных интеграловПрирода математических абстракций
Проекции точки
Прямая, параллельная плоскости