Функции множества переменных
ФУНКЦИИ МНОЖЕСТВА ПЕРЕМЕННЫХСОДЕРЖАНИЕ
ВВЕДЕНИЕ
МНОЖЕСТВО
И РАССТОЯНИЕ В НЁМ.
ОТКРЫТЫЕ И ЗАМКНУТЫЕ МНОЖЕСТВА В ![]()
iЕРА
.
НЕКОТОРЫЕ СВОЙСТВА iЕРЫ
.
СПИСОК ИСПОЛЬЗОВАННЫХ ИСТОЧНИКОВ
Ва
ВВЕДЕНИЕ
Многие величины, представляющие интерес, зависят не от одного, а от очень многих факторов, и если сама величина и каждый из определяющих его факторов могут быть охарактеризованы некоторым числом, то указанная зависимость сводится к тому, что упорядоченному набору
чисел, каждое из которых описывает состояние соответствующего фактора, становится в соответствие значение
исследуемой величины, которое она приобретает при этом состоянии определяющих величину факторов.
Например, площадь прямоугольника есть произведение длин его сторон; объём данного количества газа вычисляется по формуле
,
где
тАУ постоянная,
тАУ масса,
тАУ абсолютная температура и
тАУ давление газа. Таким образом, значение
зависит от переменной упорядоченной тройки чисел
или, как говорят
есть функция трёх переменных
.
Мы ставим себе целью научиться исследовать функции многих переменных так же, как мы научились исследовать функции одного переменного.
Как и в случае функции одного переменного, изучение функции многих числовых переменных начинается с описания их области определения.
Ва
МНОЖЕСТВО
И РАССТОЯНИЕ В НЁМ.
Условимся через
обозначать множество всех упорядоченных наборов
, состоящих из
действительных чисел ![]()
.
Каждый такой набор будем обозначать одной буквой
и в соответствии с удобной геометрической терминологии называть точкой множества
.
Число
в наборе
называют
-й координатой точки
.
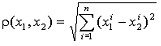
Геометрические аналогии можно продолжить и ввести на множестве
расстояние между точками
,
по формуле
(1)
Функция
,
определяемая формулой (1), очевидно, обладает следующими свойствами:
.
Последнее неравенство (называемое опять-таки по геометрической аналогии неравенством треугольника) есть частный случай неравенства Минковского.
Функцию, определённую на парах
точек некоторого множества
и обладающую свойствами a), b), c), d), называют метрикой или расстоянием в
.
Множество
вместе с фиксированной в нём метрикой называют метрическим пространством.
Таким образом, мы превратили
в метрическое пространство, наделив
метрикой, заданной соотношением (1).
Из соотношения (1) следует, что при ![]()
(2)
т. е. расстояние между точками
мало в том и только в том случае, когда мало отличаются соответствующие координаты этих точек.
Из (2), как и из (1), видно, что при
множество
совпадает с множеством действительных чисел, расстояние между точками которого измеряется стандартным образом посредством модуля разности чисел.
Ва
ОТКРЫТЫЕ И ЗАМКНУТЫЕ МНОЖЕСТВА В ![]()
Определение 1. При
множество
![]()
называется шаром с центром
радиуса
или также
-окрестностью точки
.
Определение 2. Множество
называется открытым в
, если для любой точки
найдётся шар
такой, что
.
Пример 1.
тАУ открытое множество в
.
Пример 2.
тАУ пустое множество тАУ вообще не содержит точек и потому может считаться удовлетворяющим определению 2, т. е.
тАУ открытое множество в
.
Пример 3. Шар
тАУ открытое множество в
.
Действительно, если
, т. е.
, то при
будет
, поскольку
.
Пример 4. Множество
, т. е. совокупность точек, удалённых от фиксированной точки
на расстояние больше чем
является открытым, что, как и в примере 3, легко проверить, используя неравенство треугольника для метрики.
Определение 3. Множество
называется замкнутым в
, если его дополнение
в
является множеством, открытым в
.
Пример 5. Множество
, т. е. совокупность точек, удалённых от фиксированной точки
не больше чем на
, является замкнутым, что следует из определения 3 и примера 4. Множество
называют замкнутым шаром с центром
радиуса
.
Ва
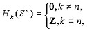
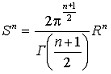
iЕРА
.
Сфера тАУ множество
точек
евклидова пространства
, находящихся от некоторой точки
(центр сферы) на постоянном расстоянии
(радиус сферы), т. е.
.
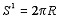
Сфера
тАУ пара точек, сфера
тАУ это окружность, сферу
при
иногда называют гиперсферой. Объём сферы
(длина при
, поверхность при
) вычисляется по формуле
,
в частности,
,
,
,
.
Уравнение сферы
в декартовых прямоугольных координатах в
имеет вид
![]()
(здесь
,
,
, тАУ координаты
,
соответственно), т. е. Сфера тАУ (гипер)квадрика, или поверхность второго порядка специального вида.
Положение какой-либо точки в пространстве относительно сферы характеризуется степенью точки. Совокупность всех сфер, относительно которых данная точка имеет одинаковую степень, составляет сеть сферы. Совокупность всех сфер, относительно которых точки некоторой прямой (радикальной оси) имеют одинаковую степень (различную для различных точек), составляет пучок сферы.
Ва
НЕКОТОРЫЕ СВОЙСТВА iЕРЫ
.
С точки зрения дифференциальной геометрии, сфера
тАУ риманово пространство, имеющее постоянную (гауссову при
и риманову при
) кривизну
. Все геодезические линии сферы замкнуты и имеют постоянную длину
тАУ это так называемые большие окружности, т. е. пересечения с
двумерных плоскостей в
, проходящих через её центр. Внешнегеометрические свойства
: все нормали пересекаются в одной точке, кривизна любого нормального сечения одна и та же и не зависит от точки, в которой оно рассматривается, в частности имеет постоянную среднюю кривизну, причём полная средняя кривизна сферы тАУ наименьшая среди выпуклых поверхностей одинаковой площади, все точки сферы омбилические.
Некоторые из таких свойств, принятые за основные, послужили отправной точкой для обобщения понятия сферы. Так, например, аффинная сфера определяется тем, что все её (аффинные) нормали пересекаются в одной точке; псевдосфера тАУ поверхность в
постоянной гауссовой кривизны (но уже отрицательной); одна из интерпретаций орисферы (предельной сферы) тАУ множество точек внутри
, определяемое уравнением также второго порядка
.
На сферу
дважды транзитивно действует ортогональная группа
пространства
(2 тАУ транзитивность означает, что для любых двух пар точек, с равными расстояниями, существует вращение тАУ элемент
, переводящая одну пару в другую); наконец, сфера есть однородное пространство:
.
С точки зрения (дифференциальной) топологии, сфера
тАУ замкнутое дифференцируемое многообразие, разделяющее
на две области и являющееся их общей границей; при этом ограниченная область, гомеоморфная
тАУ это (открытый) шар, так, что сферу можно определить как его границу.
Группы гомологий сферы
,
:

в частности
не стягивается в точку сама по себе, т. е. тождественное отображение
в себя существенно.
Группы гомотетий сферы
,
:

Например,
,
при
. В общем случае тАУ для любых
и
,
, группы
не вычислены.
И здесь понятие сфера получает обобщение. Например, дикая сфера тАУ топологическая сфера в
, не ограничивающая области, гомеоморфной
; Милнора сфера (экзотическая сфера) тАУ многообразие, гомеоморфное, но не диффеоморфное
.
Топологическое пространство, гомеоморфное сфере, называется топологической сферой. Одним из основных здесь является вопрос об условиях того, что некоторое пространство является топологической сферой.
Примеры.
а) Инвариантная топологическая характеристика сферы
при
не известна. О случае
см. Одномерное многообразие. Для того чтобы континуум был гомеоморфен сфере
, необходимо и достаточно, чтобы он был локально связан, содержал хотя бы одну простую замкнутую линию и чтобы всякая лежащая на нём такая линия разбивала его на две области, имеющие эту линию своей общей границей (теорема Уайлдера).
б) Полное односвязное риманово пространство размерности
кривизна
которого для всех касательных двухмерных плоскостей ![]()
тАУ ограничена
, т. е.
гомеоморфно
(теорема о сфере).
в) Односвязное замкнутое гладкое многообразие, (целые) гомологии которого совпадают с гомологиями
при
(при
тАУ неизвестно). Если
, то оно также и гомеоморфно
, при
гипотеза остаётся, при
диффеоморфизм не имеет места.
Совершенно аналогично определяется сфера
в метрическом пространстве
. Однако это множество, вообще говоря, может быть устроено достаточно сложно (или может быть пустым).
В нормированном пространстве
с нормой
сферой называется множество
: это, по существу, произвольная, вообще говоря, бесконечномерная выпуклая (гипер)поверхность, не всегда обладающая, например, гладкостью, округлостью и т. п. полезными свойствами обычной сферы. Один из вариантов, применяющихся в топологии, тАУ тек называемая бесконечномерная сфера тАУ строгий индуктивный предел
последовательности вложенных сфер:
![]()
другое определение:
, где
тАУ бесконечномерное многообразие Штифеля. Для любого
оказывается, что
.
Приложения понятия сфера чрезвычайно разнообразны. Например сферы участвуют в конструкциях новых пространств или дополнительных структур на них. Так, например, проективные пространства ![]()
можно интерпретировать как сферу
с отождествлёнными диаметрально противоположными точками; сфера с ручками и дырами используются в теории ручек.
Ва
СПИСОК ИСПОЛЬЗОВАННЫХ ИСТОЧНИКОВ
- Буземан Г., Геометрия геодезических. тАУ М., 1962.
- Зорич В. А. Математический анализ. Ч.1. тАУ М.: Наука, Главная редакция физико-математической литературы, 1981.
- Розенфельд Б. А. , Многомерные пространства. М., 1966.
- Розенфельд Б. А. , Неевклидовы пространства. М., 1969.
Вместе с этим смотрят:
ФункцияФункция и ее свойства
Циклические группы
Цилиндр