Численное дифференцирование
ЧИСЛЕННОЕ ДИФФЕРЕНЦИРОВАНИЕ .
Пусть имеется функция
которую необходимо продифференцировать несколько раз и найти эту производную в некоторой точке.
Если задан явный вид функции, то выражение для производной часто оказывается достаточно сложным и желательно его заменить более простым. Если же функция задана только в некоторых точках (таблично), то получить явный вид ее производных ввобще невозможно. В этих ситуациях возникает необходимость приближенного (численного) дифференцирования.
Простейшая идея численного дифференцирования состоит в том, что функция заменяется интерполяционным многочленом (Лагранжа, Ньютона) и производная функции приближенного заменяется соответствующей производной интерполяционного многочлена

Рассмотрим простейшие формулы численного дифференцирования, которые получаются указанным способом.
Будем предполагать, что функция задана в равностоящих узлах
Ее значения и значения производных в узлах будем обозначать
![]()
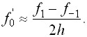
Пусть функция задана в двух точках
и
ее значения
Посстроим интерполяционный многочлен первой степени
![]()
Производная
равна

![]()
Производную функцию
в точке
приближенно заменяем производной интерполяционного многочлена
(1)
Величина
называется первой разностной производной.
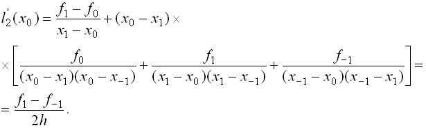
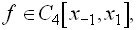
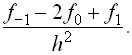
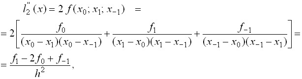
Пусть
задана в трех точках
Интерполяционный многочлен Ньютона второй степени имеет вид
![]()
Берем производную
![]()
В точке
она равна

Получаем приближенную формулу
(2)
Величина
называется центральной разностной производной.
Наконец, если взять вторую производную
получаем приближенную формулу.
(3)
Величина
называется второй разностной производной.
Формулы (1)-(3) называются формулами численного дифференцирования.
Предполагая функцию
достаточное число раз непрерывно дифференцируемой, получим погрешности приближенных формул (1)-(3).
В дальнейшем нам понадобится следующая лемма.
Лемма 1. Пусть
произвольные точки,
Тогда существует такая точка
что

Доказательство. Очевидно неравенство
По теореме Больцано-Коши о промежуточных значениях непрерывной функции на замкнутом отрезке она принимает все значения между
и
Значит существует такая точка
что выполняет указанное в лемме равенство.
Погрешности формул численного дифференцирования дает следующая лемма.
Лемма 2.
1.Предположим, что
Тогда существует такая точка
, что
(4)
- Если
то существует такая точка
, что
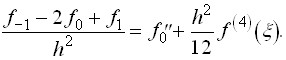
(5)
- Когда
то существует
такая, что
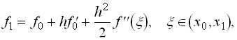
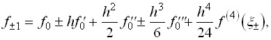
(6) Доказательство. По формуле Тейлора

откуда следует (4).
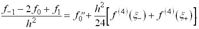
Если
то по формуле Тейлора
(7)
где ![]()
Подставим (7) в
Получаем

Заменяя в соответствии с леммою 1
![]()
получаем

Откуда и следует (6).
Равенство (5) доказывается аналогично ( доказательство провести самостоятельно).
Формулы (4)-(6) называются формулами численного дифференцирования с остаточными членами.
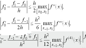
Погрешности формул (1)-(3) оцениваются с помощью следующих неравенств, которые вытекают из соотношений (4)-(6):

Говорят, что погрешность формулы (1) имеет первый порядок относительно
(или порядка
), а погрешность формул (2) и (3) имеет второй порядок относительно
(или порядка
). Также говорят, что формула численного дифференцирования (1) первого порядка точности (относительно
), а формулы (2) и (3) имеют второй порядок точности.
Указанным способом можно получать формулы численного дифференцирования для более старших производных и для большего количества узлов интерполирования.
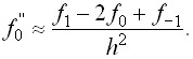
Выбор оптимального шага. Допустим, что граница абсолютной погрешности при вычислении функции
в каждой точке удовлетворяет неравенству
(8)
Пусть в некоторой окрестности точки
производные, через которые выражаются остаточные члены в формулах (5), (6), непрерывны и удовлетворяют неравенствам
(9)
где
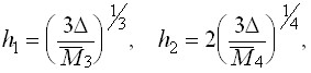
- некоторые числа. Тогда полная погрешность формул (2), (3) (без учета погрешностей округления) в соответствии с (5), (6), (8), (9)не превосходит соответственно величин
Минимизация по
этих величин приводит к следующим значениям
:
(12)
при этом
(13)
Если при выбранном для какой-либо из формул (2), (3) значении
отрезок
не выходит за пределы окрестности точки
, в которой выполняется соответствующее неравенство (9), то найденное
есть оптимальным и полная погрешность численного дифференцирования оценивается соответствующей величиной (13).
Вместе с этим смотрят:
Численные методыЧисленный анализ
Что же такое математика
Штейнер Якоб