Эконометрика
Московский институт международных экономических отношений(факультет заочного обучения)
КОНТРОЛЬНАЯ РАБОТА по дисциплине ЭКОНОМЕТРИКАфакультет: менеджмент организации
Группа 113МВыполнила студентка Бродниковская
Надежда Григорьевна
Преподаватель______________________
2001г.
![]()
1. Наблюдения за дневной выручкой восьми продавцов на рынке дали следующие результаты:
Выручка, Тыс.у.е. |
12 |
13 |
15 |
16 |
18 |
Число продавцов |
1 |
1 |
3 |
2 |
1 |
а) Определить вероятность того, что средняя выручка по всему рынку будет отличаться от среднего восьми продавцов не более чем на 2,5 тыс.у.е.
![]()
Найти среднюю выручку
средняя выручка
среднее отклонение
![]()

![]()
![]()
![]()
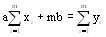
![]()
![]()
d=2,5
U=2,89= 0,993 0,998![]()
![]()
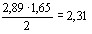
б) С вероятностью
найти доверительный интервал для генерального среднего выручки M(X).
значение t=0,95
t=1,65
d=2,31 доверительный интервал.
2. Используя метод средней, построить зависимость типа y=ax+b, если результаты наблюдений представлены таблицами:
а)
|
1 |
2 |
3 |
4 |
5 |
|
3,2 |
4,2 |
2,7 |
0,7 |
1,5 |
у=ax+b a
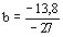
m=2 n=5
![]()
3a+2b=7,4
12a+3b=4,9
![]()
![]()
![]()
![]()
б)
xi |
1 |
2 |
3 |
4 |
5 |
6 |
yi |
1,3 |
2,5 |
0,8 |
3,8 |
1,8 |
3,6 |
![]()
![]()
![]()
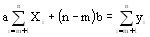
m=3 n=6
6a+3b=4,6
m=3 n=15
15a+3b=9,2
![]()
6=
![]()
![]()
![]()
![]()
![]()
3. Путем расчета коэффициента корреляции доказать, что между X и Y существует линейная корреляция. Методом наименьших квадратов найти уравнение прямой линии регрессии, построить графики корреляционных зависимостей и оценить адекватность регрессионных моделей.
а)
xi |
1,0 |
4,1 |
3,8 |
3,9 |
1,2 |
3,9 |
4,1 |
0,8 |
0,7 |
1,3 |
yi |
23,6 |
31,9 |
35,2 |
36,4 |
23,6 |
34,0 |
38,2 |
17,3 |
28,8 |
19,7 |
![]()
a= 11,64-0,4b 3,38(11,64-0,4b)+b=32,55 39,34-1,35b+b=32,55
-0,35b=-6,79 b=19,4 a=3,88
y=3,88x+19,4 ![]()
XB=
![]()
N. |
XI |
YI |
|
|
XI-XB |
YI-YB |
|||
1 |
23,6 |
1 |
23,6 |
-1,48 |
-5,27 |
7,7996 |
2,1904 |
27,7729 |
|
4,1 |
31,9 |
16,81 |
130,79 |
1,62 |
3,03 |
4,9086 |
2,6244 |
9,1809 |
|
3,8 |
35,2 |
14,44 |
133,76 |
1,32 |
6,33 |
8,3656 |
1,7424 |
40,0689 |
|
3,9 |
36,4 |
15,21 |
141,96 |
1,42 |
7,53 |
10,6926 |
2,0164 |
56,7009 |
|
1,2 |
23,6 |
1,44 |
28,32 |
-1,28 |
-5,27 |
6,7456 |
1,6384 |
27,7729 |
|
3,9 |
34 |
15,21 |
132,6 |
1,42 |
5,13 |
7,2846 |
2,0164 |
26,3169 |
|
4,1 |
38,2 |
16,81 |
156,62 |
1,62 |
9,33 |
15,1146 |
2,6244 |
87,0489 |
|
0,8 |
17,3 |
0,64 |
13,84 |
-1,68 |
-11,57 |
19,4376 |
2,8224 |
133,8649 |
|
0,7 |
28,8 |
0,49 |
20,16 |
-1,78 |
-0,07 |
0,1246 |
3,1684 |
0,0049 |
|
1,3 |
19,7 |
1,69 |
25,61 |
-1,18 |
-9,17 |
10,8206 |
1,3924 |
84,0889 |
|
24,8 |
288,7 |
83,74 |
807,26 |
91,284 |
22,236 |
492,821 |
![]()
Значение коэффициента детерминации равное 0,75 свидетельствует о средней связи между Х и У, и о среднем общем качестве построенного уравнения регрессии
б)
XI |
3,0 |
1,1 |
2,9 |
3,0 |
0,8 |
1,5 |
2,1 |
3,2 |
1,2 |
3,0 |
YI |
37,6 |
18,5 |
29,1 |
38,5 |
18,8 |
20,6 |
29,6 |
36,8 |
15,8 |
33,4 |
![]()
![]()
y=8,69x+8,9 ![]()
![]()
![]()
![]()
N |
XI |
YI |
|
XI YI |
XI-XB |
YI-YB |
||||
1 |
3 |
37,6 |
9 |
112,8 |
0,82 |
9,73 |
7,9786 |
0,6724 |
94,6729 |
|
2 |
1,1 |
18,5 |
1,21 |
20,35 |
-1,08 |
-9,37 |
10,1196 |
1,1664 |
87,7969 |
|
3 |
2,9 |
29,1 |
8,41 |
84,39 |
0,72 |
1,23 |
0,8856 |
0,5184 |
1,5129 |
|
4 |
3 |
38,5 |
9 |
115,5 |
0,82 |
10,63 |
8,7166 |
0,6724 |
112,9969 |
|
5 |
0,8 |
18,8 |
0,64 |
15,04 |
-1,38 |
-9,07 |
12,5166 |
1,9044 |
82,2649 |
|
6 |
1,5 |
20,6 |
2,25 |
30,9 |
-0,68 |
-7,27 |
4,9436 |
0,4624 |
52,8529 |
|
7 |
2,1 |
29,6 |
4,41 |
62,16 |
-0,08 |
1,73 |
-0,1384 |
0,0064 |
2,9929 |
|
8 |
3,2 |
36,8 |
10,24 |
117,76 |
1,02 |
8,93 |
9,1086 |
1,0404 |
79,7449 |
|
9 |
1,2 |
15,8 |
1,44 |
18,96 |
-0,98 |
-12,07 |
11,8286 |
0,9604 |
145,6849 |
|
10 |
3 |
33,4 |
9 |
100,2 |
0,82 |
5,53 |
4,5346 |
0,6724 |
30,5809 |
|
11 |
||||||||||
12 |
21,8 |
278,7 |
55,6 |
678,06 |
70,494 |
8,076 |
691,101 |
![]()
Значение коэффициента детерминации равное 0,88 свидетельствует о средней связи между Х и У, и о среднем общем качестве построенного уравнения регрессии
4. Используя аксиомы метода наименьших квадратов вывести систему нормальных уравнений для теоретической линии регрессии вида: yx=ax2+bx+c
![]()
![]()
![]()
![]()
![]()
![]()
![]()
![]()
yx-ax3-bx2-cx=0
yx=ax3+bx2+cx
![]()
y-ax2-bx-c=0 ![]()
Вместе с этим смотрят:
Экстремумы функций многих переменныхЭлементарные конформные отображения
Абу Али Хусейн ибн-Абдаллах ибн-Али ибн-Сина
Аварийная сигнализация в живом организме