Вопросы по теории вероятностей
Вопросы по теории вероятностей
- +Основные пон ятия теории вероятностей: события, вероятность события, частота события, случайная вел ичина.
- + Сумма и п рои зведение событий , тео ремы сложения и умножения вероятностей.
- +Дискретн ые с лучайн ые в еличины. Ряд, многоуголь ник и функция распределения.
- +Непреры вные случ айные велич ины. Функция и п лотность распределения.
- + Функци я распределения; к вантиль и а -процентная точка распределения.
- +Формула п ол ной в ероят ности и теорема гипотез.
- +Числ ов ые ха ракте ристики слу чайных величин: моменты; дисперсия; и среднеквадра т и чное отклонение.
- -
- +Равном ерное распреде ление, его числовые характеристики.
- +Биномиальн ое распредел ение, распределение Пуассона.
- +Нормальное (Га усовское) р аспределение, стандартные нормальные распределения.
- Стандартная нормальная случайная величина.
- +Независи мы е и зав и симые случайные величины: ковариация, корреляция, коэффициент корреляции.
- +Теоремы о числ овых хар ак теристиках.
- +Закон бо ль ших чисел , не р аве нства и теор емы Чебышева, Бернулли.
- +Центральн ая п р еде льная теорема теории вероятностей.
- Выборки, объ ем выборки.
- Состоятель ные, не смешенные и эффективные оценки; оценивание среднего значения и дисперсии.
- +Доверите ль ны е инт ервалы.
- +Тео рема о повт оре нии о пытов.
- Зад а ча_1
- Зад а ча_2
- Зад а ча_3
- Зад а ча_4
- Зада ча_5
- За да ча_6
- За дача_7
- За дача_8
- З а д а ча_9
X тАУ случайная величина.
x тАУ значение случайной величины.
- непрерывная случайная величина
Дискретная случайная величина тАУ можно пересчитать.
Практически не возможное событие, вероятность которого близка к нулю 0 (0,01; 0,1).
Практически достоверное событие, вероятность которого близка к единице 1 (0,99; 0,9888).
Вер н у ться к вопросам
Ответ на билет 2Сумма событий и произведение событий.
А,В,тАж.,G - события
Суммой событий называется некоторое событие S=A+B+тАж.+G=A
B
тАж.
G, состоящее в появлении хотя бы одного из этих событий.
Пример: Допустим идет стрельба по мишени
А1 - попадание при первом выстреле
А2 - попадание при втором выстреле
S=A1+A2 (хотя бы одно попадание)
Произведением некоторых событий называется событие, состоящее в совместном появлении всех этих событий. S=ABCтАжG=![]()
Пример: А1 - промах при первом выстреле
А2 - промах при втором выстреле
А3 - промах при третьем выстреле
(не одного попадания)
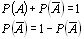
Теорема сложения вероятностей .
Вероятность двух не совместных событий равна сумме вероятностей этих событий.
P(A) P(B)
P(A+B)=P(A)+P(B)
S=S1+S2+тАж+Sn
P(S)=P(S1)+P(S2)+тАж+P(Sn)
Следствие: Если событие S1, S2, тАж, Sn образуют полную группу не совместных событий, то сумма их вероятностей равна 1.
![]()
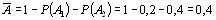
Противоположными событиями называются два не совместных события, образующие полную группу
.
(пример - монетка имеющая орел и орешко)
![]()
Если два события A и B совместны, то вероятность совместного появления двух событий вычисляется по формуле: ![]()
Условие независимости события А от события В: P(A|B)=P(A), то P(B|A)=P(B)
Условие зависимости события А от события В: P(A|B)
P(A), P(B|A)
P(B) (Если А не зависит от В, то и В не зависит от А - условие не зависимости условий взаимно).
Вероятность произведения двух событий равна произведению вероятности одного из событий на условную вероятность другого, вычисленную при условии, что событие первое имело место:
P(AB)=P(A)P(B|A), P(AB)=P(B)P(A|B)
Следствие: Вероятность произведения нескольких не зависимых событий равна произведению вероятностей этих событий. P(A1A2тАжAn)=P(A1)P(A2)тАжP(An)
Пример: на монете выпадет орел 2 раза
S=AорAор S=P2(A)=(1/2)2=1/4
В ерн уть с я к вопросам
Ответ на билет 3Закон распределения случайных величин
Ряд и многоугольник распределений. Случайная величина - это величина, которая в результате опыта может принять то или иное значение не известное заранее какое.
Большие буквы - случайные величины. Малые буквы - их возможные решения.
Рассмотрим случайную дискретную величину Х с возможными значениями x1, x2, тАж, xn
В результате опыта : 
Обозначим вероятность соответствующих событий через Pi
, так как рассматриваемые события образуют полную группу не совместных событий, то ![]()
Х полностью описана с вероятностной точки зрения, если мы зададим распределение вероятности pi(i=1,2тАж,n), то есть в точности указаны решения вероятности pi каждого события xi
Этим будет установлен закон случайной величины xi.
Законом распределения случайной величины называется всякое соотношение устанавливающее связь между возможными значениями случайных величин и соответствующими вероятностями.
Простейшей формой записи законов распределения является таблица:
X |
x1, x2, тАж, xn |
P |
p1, p2, тАж, pn |
Многоугольник и ряд распределения полностью характеризует случайную величину и является одной из форм законов распределения. (Для непрерывной случайной величины построить невозможно).
В ер н ут ь ся к во просам
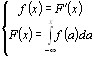
Ответ на билет 4Плотность и функция распределения.
Функция распределения непрерывной случайной величины (Х), задана выражением:

- Найти коэффициент а
- Найти плотность распределения F(x)
- Найти вероятность попадания случайной величины на участок P(0,5<x<3)=?
- Построить график функций
F(4)=1 -> a4=1, a=0,25

- два способа решения.

В ер н ут ься к вопросам
Ответ на билет 5Функция распределения
Для непрерывной случайной величины Х вместо вероятности равенства Х=х используют вероятность Р(Х<х). F(x)=P(X<x)
F-функция распределения случайной величины х
F(x) -интегральный закон распределения или интегральная функция распределения.
F(x) -самая универсальная характеристика случайной величины, она существует для всех случайных величин как дискретных так и непрерывных.
Основные свойства функции распределения.
- Функция распределения F(x) есть не убывающая функция своего аргумента, т.е. при x2>x1 F(x2)>=F(x1)
- При
функция распределения F(x)=0; F(
)=0 - При
F(x)=1; F(
)=1
Для дискретной случайной величины: ![]()
Функция распределения любой дискретной случайной
величины всегда есть разрывная ступенчатая функция,
скачки которых происходят в точках соответствующих
возможных значений случайных величин и равны
вероятностям этих значений. Сумма всех скачков
равна 1.
F(x) непрерывной случайной величины
Часто используют величины квантиль
и
-процентная точка ![]()
Квантиль - решение уравнения ![]()
- процентная точка определяется из уравнения ![]()
![]()
Верн у ться к в опросам
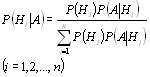
Ответ на билет 6Формула полной вероятности.
Пусть требуется определить вероятность некоторого события А, которое может произойти вместе с одним из событий H1, H2, тАж, Hn, образующие полную группу не совместных событий. Эти события назовем гипотезами. Докажем, что в этом случае вероятность событий:
![]()
Вероятность события А вычисляется как сумма произведений вероятностей каждой гипотезы на условную вероятность события при этой гипотезе.
применяем 2е теоремы:
![]()
-формула полной вероятности
Теорема гипотез (формула Байеса).
Пусть вероятность полной группы не совместных гипотез H1, H2, тАж, Hn известны и равны P(H1), P(H2), тАж, P(Hn). Событие А может появиться совместно с условной вероятностью P(A|Hi) (i=1,2,тАж,n).
Спрашивается, как следует изменить вероятности гипотез после проведения опытов в связи с появлением этого события. Иными словами, требуется найти условную вероятность P(Hi,A).

Формула Байеса: 
Ве р нут ься к вопросам
Ответ на билет 7Числовые характеристики случайных величин.

Закон распределения случайных величин, представленный в той или иной форме, дает исчерпывающее описание случайной величины. Наиболее существенные особенности распределения в компактной форме описываются так называемыми числовыми характеристиками случайных величин. Они играют в теории вероятности огромную роль, с их помощью облегчается решение вероятностных задач. Рассмотрим наиболее часто встречающиеся числовые характеристики.
Характеристики положения.
Мат. Ожидание Мода Медиана
Важнейшая характеристика математическое ожидание, которая показывает среднее значение случайной величины.
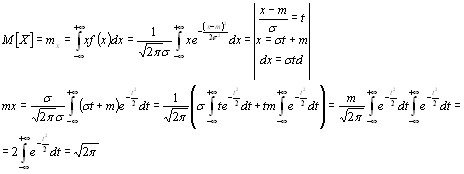
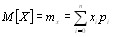
Математическое ожидание величины Х обозначается М[X], или mx.
Для дискретных случайных величин математическое ожидание:
![]()
Сумма значений соответствующего значения на вероятность случайных величин.
![]()
![]()
Модой (Mod) случайной величины Х называют ее наиболее вероятное значение.
Для дискретной случайной величины. Для непрерывной случайной величины.
Mod=X3 Mod=X0
Одно-модальное распределение
Много модальное распределение
В общем случае Mod и математическое ожидание не
совпадают.
Медианой (Med) случайной величины Х называют такое значение, для которой вероятность того что P(X<Med)=P(X>Med). У любого распределения Med может быть только один.
Med разделяет площадь под кривой на 2 равные части. В случае одно-модального и симметричного распределения
mx=Mod=Med
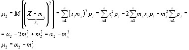
Моменты.
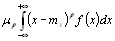
Чаще всего на практике применяются моменты двух видов начальное и центральное.
Начальный момент.
-го порядка дискретной случайной величины Х называется сумма вида:
![]()
Для непрерывной случайной величины Х начальным моментом
порядка называется интеграл
, очевидно, что математическое ожидание случайной величины есть первый начальный момент. ![]()
Пользуясь знаком (оператором) М, начальный момент
-го порядка можно представить как мат. ожидание
-ой степени некоторой случайной величины.
![]()
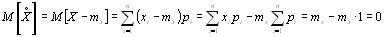
Центрированной случайной величиной соответственной случайной величины Х называют отклонение случайной величины Х от ее математического ожидания:
Математическое ожидание центрированной случайной величины равно 0.
Для дискретных случайных величин имеем:
![]()
Моменты центрированной случайной величины носят название Центральных моментов
Центральный момент порядка
случайной величины Х называют математическим ожиданием
-ой степени соответствующей центрированной случайной величины.
![]()
Для дискретных случайных величин:
![]()
Для непрерывных случайных величин:
![]()
![]()
Связь между центральными и начальными моментами различных порядков

![]()
Из всех моментов в качестве характеристики случайной величины чаще всего применяют первый момент (мат. ожидание)
и второй центральный момент
.
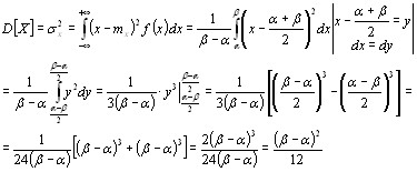
Второй центральный момент называют дисперсией случайной величины. Он имеет обозначение:
![]()
Согласно определению ![]()
Для дискретной случайной величины: ![]()
Для непрерывной случайной величины: ![]()
Дисперсия случайной величины есть характеристика рассеянности (разбросанности) случайных величин Х около ее математического ожидания.
Дисперсия означает рассеивание. Дисперсия имеет размерность квадрата случайной величины.
Для наглядной характеристики рассеивания удобнее использовать величину, my той, что и размерность случайной величины. С этой целью из дисперсии извлекают корень и получают величину, называемую - среднеквадратичным отклонением (СКО) случайной величины Х, при этом вводят обозначение:
![]()
Среднеквадратичное отклонение иногда называют "стандартом" случайной величины Х.
Итак: 
Математическое ожидание mx и Dx (или СКО
) наиболее частые употребляемые характеристики случайных величин, так как они определяют наиболее важные черты распределения, его положения и степень разбросанности.
Вер ну тьс я к вопросам
Ответ на билет 8Ве рн утьс я к вопро сам
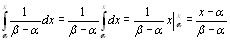
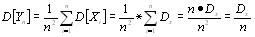
Ответ на билет 9Равномерное распределение
Равномерная плотность распределения определяется следующим образом:

Функция распределения определяется:



Найдем числовые характеристики:

(математическое ожидание)
(медиана), Mod - не существует для данного распределения

(дисперсия),
(среднеквадратичное отклонение)
Вер ну ть ся к вопросам
Ответ на билет 10Закон распределения Пуасона
Рассмотрим дискретную случайную величину х, имеющую ряд распределения:
X |
X0=0 |
X1=1 |
тАж |
Xm=m |
тАж |
P |
P0 |
P1 |
тАж |
Pm |
тАж |
Говорят, что данное случайное распределение подчинено закону распределения Пуасона.
![]()
![]()
(k=m-1)

Вер нут ься к вопросам
Ответ на билет 11Нормальный закон распределения (закон Гауса)
Главная особенность в том, что он является предельным законом, к которому приближаются другие распределения, при весьма часто встречающихся типичных условиях.
Нормальный закон распределения характеризуется плотностью вероятности вида:


![]()
Можно показать, что дисперсия
![]()
Верну ться к вопросам
Ответ на билет 12Вернуться к вопросам
Ответ на билет 13Независимые случайные величины.
![]()
Случайные величины x и y независимы если вероятность
.
Для зависимых величин x и y вероятность ![]()
Корреляционным моментом или Ковариацией случайных величин x и y называют величину:
![]()
Можно показать, что для независимых случайных величин cov(x,y)=0
Коэффициент корреляций ![]()

Случайные величины x1, x2, x3, тАж, xn, называются не коррелированными, если ![]()
Вер н у ться к во просам
Ответ на билет 14Теорема о числовых характеристиках
- Если c не случайная (детерминированная) величина, то M[c]=c и D[c]=0
![]()
- Если c не случайная - постоянная, а Х случайная (детерминированная), то:
![]()
![]()
![]()
![]()
- Математическое ожидание суммы нескольких величин равно сумме их ожиданий.
![]()
- Математическое ожидание линейной функции равно той же линейной функции от математических ожиданий аргументов.
![]()
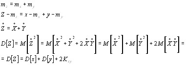
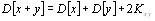
- Дисперсия суммы двух случайных величин равна сумме их дисперсий плюс удвоенный их корреляционный момент.
![]()
![]()

В общем случае:
, где ![]()
Для не корреляционных случайных величин:
![]()
Ве р нут ься к вопросам
Ответ на билет 15В широком смысле слова, закон больших чисел характеризует устойчивость средних. При очень большом числе случайных явлений - перестает быть случайным и может быть предсказан с большей степенью определенности. В узком смысле под законом больших чисел понимается ряд математических теорем, в которых устанавливаются факты приближения средних характеристик большого числа опытов к некоторым определенным постоянным. Другая группа предельных теорем касается уже не предельных значений случайных величин, а предельных законов распределения. Эта группа теорем известна под названием "центральной предельной теоремы".
Неравенство Чебышева.
P( |X-mx| > E) <= Dx/E2
Теорема Чебышева
Теорема Чебышева дает одну из наиболее возможных форм закона больших чисел. Она устанавливает связь между средним арифметическим и ее математическим ожиданием наблюденных значений случайной величины.
Yn=( X1 + X2 + тАж. + Xn) * 1/n = 1/n ![]()
M[Yn] = i/n
= 1/n *
= 1/n * n * mx = mx
![]()
Мат ожидание среднего не зависит от n
![]()
![]()
Теорема Чебышева устанавливает в точной количественной форме это свойство устойчивости среднего арифметического.
Теорема Чебышева: При достаточно большом числе независимых опытов среднее арифметическое наблюденных значений случайной величины сходится по вероятности n т ее математическому ожиданию.
В можематической форме это означает следующее:
, где
и
сколь угодно положительные числа
и
.
Теорема Бернулли
Теорема Бернулли: При неограниченном увеличении числа опытов n, частота события a сходится по вероятности к его вероятности P
- (вероятность). m-произошло событие. n-число опытов.
близко к 0
Вер н ут ь ся к в опросам
Ответ на билет 16Центральная предельная теорема
Рассмотрим одну из наиболее общих форм центральной предельной теоремы:
Пусть имеется взвешенная сумма независимых случайных непрерывных величин x1, x2, x3, тАж., xn с произвольными законами распределения:
, где
постоянная, фиксированная числа.
Пусть i-ая случайная величина имеет
и
(i=1,2,3,тАж,n-1,n)
Согласно теореме о числовых характеристиках случайных величин, получим:
![]()
![]()
Центральная предельная теорема утверждает, что при достаточно общих условиях распределения суммарной Yn при
стремиться к нормальному распределению ![]()
Опыт показывает, что когда
или меньше, то закон распределения суммы может быть заменен нормальным.
Ве рн уться к воп росам
Ответ на билет 17Вер нуться к вопросам
Ответ на билет 18Вернут ься к вопросам
Ответ на билет 19Доверительный интервал и доверительная вероятность используется в математической статистике точности и надежности полученной оценки a* неизвестного параметра a.
=0,95 или 0,98; 0,99 - Назначим вероятность достаточно большую.
Найдем значение интервала
, при котором вероятность a*-a
вероятность, что выйдет за пределы интервала:
![]()
Интервал,
покрывающий a называется доверительным интервалом.
Вероятность
называется доверительной вероятностью.
Оценка a* называется точечной оценкой.
Оценка
называется интервальной оценкой.
Ве р ну т ьс я к вопросам
Теорема о повторении опытовРассмотрим серию из n однородных, не зависимых опытов, проводимых в одинаковых условиях, в каждом из которых может появиться или не появиться событие А. Вероятность появления F=P, не появления q=1-P. Предполагается, что вероятность р остается одной и той же в каждом опыте.
Требуется найти вероятность Рm,n того, что А в этих n опытах появится ровно m раз (0<=m<=n).
-Биномиальное распределение.![]()
, где ![]()
Если производится n неизвестных опытов в каждом из которых событие А появляется с вероятностью Р, то вероятность того что событие А появится ровно m раз выражается формулой:
![]()
Ве р нуться к билетам.
Задача 1Задача на схему случаев
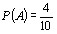
В урне 3 белых и 4 черных шара. Какова вероятность изъятия из урны трех черных шаров?
n - общее число возможных случаев изъятия 3 шаров из урны.
m - число благоприятных случаев. (все три шара черные)
![]()
, ![]()
Ве рн у ться к билетам.
Задача 2Задача на не совместные события.
Мишень состоит из 2-х зон, при одном выстреле вероятность попадания в зону 1=0,2, в зону 2=0,4
Найти вероятность промаха?
- попадание.
- промах.
А=А1+А2; P(A)=P(A1)+P(A2)-P(A1A2); P(A1A2)=0
![]()
![]()
Вер н уться к билетам.
Задача 3Задача на умножение вероятностей.
В урне находится 3 белых и 2 черных шара. Вынимается по 2 шара.
Найти вероятность того, что оба шара белые?
А1 - первый шар белый.
А2 - второй шар белый.
А=А1А2

Вер нуться к билетам.
Задача 4Задача на умножение вероятностей.
В урне находятся 3 белых и 2 черных шара. Вынимают по очереди 2 шара, причем первый обратно возвращают.
Какова вероятность что будут вынуты оба черных шара?

Вер ну ть ся к билетам.
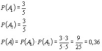
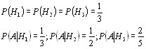
Задача 5Задача на формулу полной вероятности.
Имеется 3 урны.
В одной 2 белых и 1 черный шар
Во второй 1 белый и 1 черный шар.
В третьей 3 белых и 2 черных шара.
Выбирается одна из урн и из нее 1 шар. Какова вероятность, что шар черный?
А - черный шар. P(A)=?
n=10 m=4 ![]()
Второй способ через формулу полной вероятности.
H1; H2; H3;

![]()
![]()
Ве р нуться к билетам.
Задача 6Задача на теорему о повторении опытов.
Проводят 4 независимых опыта. Вероятность события в каждом из опыте равна 0,3
Построить ряд и многогранник числа событий.
Введем Х-число появлений событий в результате проведенных опытов.
X=X0=0
X=X1=1
X=X2=2
X=X3=3
X=X4=4
- теорема о повторении опытов.
X |
0 |
1 |
2 |
3 |
4 |
P |
0,0024 |
0,588 |
P0,4=1*1*0,74=0,0024
P1,4=
*0,31*0,73=0,588
P2,4=
*0,32*0,72=
P3,4=
*0,33*0,71=
P4,4=
*0,34*0,70=
Верну ться к билетам.
Задача 7Задача на подсчет вероятностей
Мишень состоит из 4 зон, производится один выстрел.
Найти вероятность промоха, если вероятность попадание в зоны известна и равна:
P1=0,1
P2=0,15
P3=0,20
P4=0,25
A - попадание в мишень.
- промах.

Ве р нуться к билетам.
Задача 8Задача на условную вероятность.
В урне находятся 3 белых и 2 черных шара. Вынимаются 2 шара.
Найти вероятность, что оба шара белые.
А1 - белый шар
А2 - белый шар
P(A1A2)=?
C=A1A2

Если первый шар возвращается в урну.
P(A1)=P(A2)
![]()
Вер н уться к билетам.
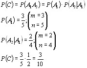
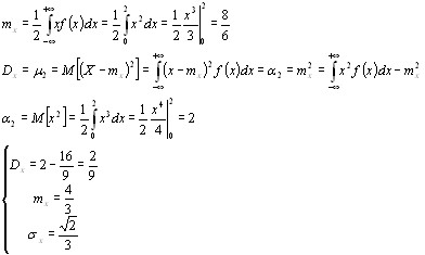
Задача 9![]()
a=? F(x)=? mx=? ![]()



Вер н уть ся к билетам.
Вместе с этим смотрят:
Выдающиеся личности в математикеВычисление двойных интегралов методом ячеек
Вычисление интеграла функции f(x)
Вычисление интеграла функции f(x) методом Симпсона