Геометрическая прогрессия
Ставропольский Государственный Университет РЕФЕРАТпо теме:
ГЕОМЕТРИЧЕСКАЯ
ПРОГРЕССИЯ
работу выполнил:
студент Ставропольского
Государственного Университета
IV курса, Физ-Мат Факультета,
отделения МИИТ, гр. тАЭБтАЭ
Неботов Виталий Дмитриевич
Ставрополь 1997 г.
СОДЕРЖАНИЕ :
Стр.
1. Вступительное слово..........................................3
2. Определение геометрической прогрессии.........................3
3. Свойства геометрической прогрессии.............................3
4. Сумма геометрической прогрессии...............................4
5. Заключение..................................................5
6. Список использованной литературы..............................6
Геометрическая прогрессия играет большую и важную роль не только в школьном курсе алгебры, но и (как я мог убедится) в дальнейшем обучении в высших учебных заведениях. Важность этого на первый взгляд небольшого раздела школьного курса заключается в его чрезвычайно широких областях применения, в частности он часто применяется в теории рядов, рассматриваемой на II-III курсах университета. Поэтому мне кажется крайне важным дать здесь полное описание этого курса, дабы внимательный читатель мог повторить уже известный ему (надеюсь - прим. автора) из школьного курса материал, или даже почерпнуть много нового и интересного.
Прежде всего необходимо дать определение геометрической прогрессии, ибо не определившись о предмете разговора невозможно продолжать сам разговор. Итак: числовая последовательность, первый член которой отличен от нуля, а каждый член, начиная со второго, равен предшествующему члену, умноженному на одно и тоже не равное нулю число, называется геометрической прогрессией.
Внесу некоторую ясность в данное выше определение: во-первых, мы требуем от первого члена неравенства нулю для того, что при умножении его на любое число мы в результате снова получим ноль, для третьего члена опять ноль, и так далее. Получается последовательность нулей, которая не попадает под данное выше определение геометрической прогрессии и не будет являться предметом нашего дальнейшего рассмотрения.
Во-вторых, число на которое умножаются члены прогрессии опять же не должно быть равно нулю, по вышеизложенным причинам.
В-третьих, предоставляю возможность вдумчивому читателю самому найти ответ на вопрос, почему мы умножаем все члены прогрессии на одно и тоже число, а не, скажем, на разные. Ответ не так прост, как может показаться вначале.
Далее, из определения геометрической прогрессии следует, что отношение любого ее члена к предшествующему равно одному и тому же числу, т. е. b2:b1 = b3:b2 = .. = bn:bn-1 = bn+1:bn = .. . Это число называется знаменателем геометрической прогрессии и обычно обозначается буквой q.
Несколько слов необходимо сказать и о способах задания геометрической прогрессии. Для того чтобы задать геометрическую прогрессию (bn), достаточно знать ее первый член b1 и знаменатель q. Например, условиями b1 = 2, q = -5 (q < 0) задается геометрическая прогрессия 2, -10, 50, -250, .. . Эта прогрессия не является ни возрастающей ни убывающей последовательностью.
Следует заметить, что: последовательность называется возрастающей (убывающей) если каждый последующий член последовательности больше (меньше) предыдущего.
Таким образом, если q > 0 (q
1), то прогрессия является монотонной последовательностью. Пусть, например, b1 = -3, q = 4, тогда геометрическая прогрессия -3, -12, -48, -192, .. есть монотонно убывающая последовательность.
Однако, если q = 1, то все члены прогрессии равны между собой. В этом случае прогрессия является постоянной последовательностью.
Любая геометрическая прогрессия обладает определенным характеристическим свойством. Это свойство является следствием самого правила задания геометрической прогрессии: последовательность (bn) является геометрической прогрессией тогда и только тогда, когда каждый ее член, начиная со второго, есть среднее геометрическое соседних с ним членов, т. е.
.
Пользуясь этим свойством можно находить любой член геометрической прогрессии если известны два рядом стоящие.
Для нахождения n-ного члена геометрической прогрессии есть еще одна формула. Для того чтобы найти любой член геометрической прогрессии необходимо, чтобы она была задана, т. е. были известны значения b1 и q:
.
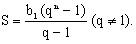
Так как геометрическая прогрессия это числовая последовательность, то мы можем найти ее сумму. Для нахождения суммы геометрической прогрессии применяют следующую формулу:

Если в данную формулу подставить вместо bn его выражение в виде b1qn-1, то получим еще одну формулу для вычисления суммы геометрической прогрессии:

У геометрической прогрессии есть еще одно свойство, а именно: из определения знаменателя геометрической прогрессии следует, что b1bn = b2bn-1 = .., т. е. произведение членов, равно отстоящих от концов прогрессии, есть величина постоянная.
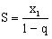
Наконец, нельзя не коснуться такого важного с научной точки зрения понятия, как бесконечной геометрической прогрессии при
. Здесь наиболее важным понятием является понятие суммы бесконечной геометрической прогрессии: пусть (xn) - геометрическая прогрессия со знаменателем q, где
Суммой бесконечной геометрической прогрессии, знаменатель которой удовлетворяет условию
, называется предел суммы n первых ее членов при
.
Найти эту сумму можно по следующей формуле:

Заканчивая описание геометрической прогрессии хочется лишний раз повторить, что за видимой простотой геометрической прогрессии скрывается большой прикладной потенциал этого раздела алгебры.
Список использованной литературы:
1. В. С. Крамор, Повторяем и систематизируем школьный курс
алгебры и начал анализа, Москва, Просвещение, 1990 г.
2. С. А. Теляковский, Алгебра, учебник для 8 класса средней школы,
Москва, Просвещение, 1987 г.
3. Личные заметки и наблюдения автора.
Вместе с этим смотрят:
Геометрия ЛобачевскогоГрафы
Группы преобразований
Давид Гильберт