Дзета-функция Римана
Министерство образования Российской Федерации
Ставропольский Государственный университет
Кафедра математического анализа
Курсовая работа на тему :
ВлДзета-функция РиманаВ»
Выполнил: студент 2го курса ФМФ группы ВлБВ» Симонян Сергей Олегович
Ставрополь, 2004 г.
Введение.
Функция тАУ одно из основных понятий во всех естественнонаучных дисциплинах. Не случайно ещё в средней школе дети получают интуитивное представление об этом понятии. Со школьной скамьи наш багаж знаний пополняется сведениями о таких функциях как линейная, квадратичная, степенная, показательная, тригонометрические и других. В курсе высшей математики круг известных функций значительно расширяется. Сюда добавляются интегральные и гиперболические функции, эйлеровы интегралы (гамма- и бета-функции), тета-функции, функции Якоби и многие другие.
Что же такое функция? Строгого определения для неё не существует. Это понятие является в математике первичным, аксиоматизируется. Однако, под функцией понимают закон, правило, по которому каждому элементу какого-то множества X ставится в соответствие один или несколько элементов множества Y. Элементы множества X называются аргументами, а множества Y тАУ значениями функции. Если каждому аргументу соответствует одно значение, функция называется однозначной, если более одного тАУ то многозначной. Синонимом функции является термин ВлотображениеВ». В простейшем случае множество X может быть подмножеством поля действительных R или комплексных C чисел. Тогда функция называется числовой. Нам будут встречаться только такие отображения.
Функции могут быть заданы многими различными способами: словесным, графическим, с помощью формулы. Функция, которую мы будем рассматривать в этой работе, задаётся через бесконечный ряд. Но, несмотря на такое нестандартное определение, по своему представлению в виде ряда она может быть хорошо изучена методами теории рядов и плодотворно применена к различным теоретическим и прикладным вопросам математики и смежных с ней наук.
Конечно же, речь идёт о знаменитой дзета-функции Римана, имеющей широчайшие применения в теории чисел. Впервые ввёл её в науку великий швейцарский математик и механик Леонард Эйлер и получил многие её свойства. Далее активно занимался изучением дзета-функции немецкий математик Бернгард Риман. В честь него она получила своё название, так как он опубликовал несколько исключительно выдающихся работ, посвящённых этой функции. В них он распространил дзета-функцию на область комплексных чисел, нашёл её аналитическое продолжение, исследовал количество простых чисел, меньших заданного числа, дал точную формулу для нахождения этого числа с участием функции
и высказал свою гипотезу о нулях дзета-функции, над доказательством или опровержением которой безрезультатно бьются лучшие умы человечества уже почти 150 лет.
Научная общественность считала и считает решение этой проблемы одной из приоритетных задач. Так Давид Гильберт, выступавший на Международной Парижской математической конференции 1900 году с подведением итогов развития науки и рассмотрением планов на будущее, включил гипотезу Римана в список 23 проблем, подлежащих решению в новом столетии и способных продвинуть науку далеко вперёд. А на рубеже веков, в 2000 году американский The Clay Mathematics Institute назвал семь задач, за решение каждой из которых будет выплачен 1 миллион долларов. В их число также попала гипотеза Римана.
Таким образом, даже бы поверхностное знакомство с дзета-функцией будет и интересным, и полезным.
Глава 1.
Итак, приступим к изучению этой важной и интересной дзета-функции Римана. В данной главе мы получим некоторые свойства функции в вещественной области, исходя из её определения с помощью ряда.
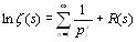
Определение. Дзета-функцией Римана О¶(s) называют функцию, которая любому действительному числу s ставит в соответствие сумму ряда
(1)
если она существует.
Основной характеристикой любой функции является область определения. Найдём её для нашей функции.
Пусть сначала sтЙд0, тогда s=тИТt, где t принадлежит множеству неотрицательных действительных чисел R+
{0}. В этом случае
и ряд (1) обращается в ряд
, который, очевидно, расходится как при t>0, так и при t=0. То есть значения sтЙд0 не входят в область определения функции.
Теперь пусть s>0. Для исследования сходимости ряда (1) воспользуемся интегральным признаком Коши. При каждом s рассмотрим функцию
, где
, которая является на промежутке непрерывной, положительной и монотонно убывающей. Возникает три различных возможности:
- 0<s<1. Тогда
, поэтому ряд (1) расходится и промежуток (0;1) не входит в область определения дзета-функции; - s=1. Получаем
, то есть при s=1 дзета-функция Римана также не определена; - s>1. В этом случае

. Ряд (1) сходится.
Обобщив результаты, находим, что область определения дзета-функции есть промежуток
. На этом промежутке функция оказывается непрерывной и дифференцируемой бесконечное число раз.
Докажем непрерывность функции О¶(s) на области определения. Возьмём произвольное число s0>1. Перепишем ряд (1) в виде
. Как было выше показано, ряд
сходится, а функции
при s>s0 монотонно убывают и все вместе ограничены единицей. Значит, по признаку Абеля для s>s0 ряд (1) сходится равномерно. Используя теорему о непрерывности суммы функционального ряда, получаем, что в любой точке s>s0 дзета-функция непрерывна. Ввиду произвольности s0 О¶(s) непрерывна на всей области определения.
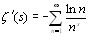
Теперь почленным дифференцированием ряда (1), пока формально, найдём производную дзета-функции Римана:
(2).
Чтобы оправдать этот результат, достаточно удостовериться в том, что ряд (2) равномерно сходится на промежутке
и воспользоваться теоремой о дифференцировании рядов. Используем тот же приём. Зафиксируем любое s0>1 и представим ряд (2) в виде
для s>s0. Множители
, начиная с n=2, монотонно убывают, оставаясь ограниченными числом ln 2. Поэтому по признаку Абеля ряд (2) сходится равномерно при s>s0, а значит и при любом s>1. Какое бы значение s>1 ни взять его можно заключить между
и
, где
, а
; к промежутку
применима вышеуказанная теорема.
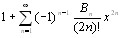
Таким же путём можно убедиться в существовании для дзета-функции производных всех порядков и получить их выражения в виде рядов:
.
Попытаемся построить наглядное изображение функции в виде графика. Для этого изучим сначала её поведение на бесконечности и в окрестности точки s=1.
В первом случае, ввиду равномерной сходимости ряда (1), по теореме о почленном переходе к пределу, имеем
. При n=1 предел равен единице, остальные пределы равны нулю. Поэтому
.
Чтобы исследовать случай
, докажем некоторые вспомогательные оценки.
Во-первых, известно, что если для ряда
существует непрерывная, положительная, монотонно убывающая функция
, определённая на множестве
, такая, что
, и имеет первообразную
, то остаток ряда оценивается так:
, где
. Применяя вышесказанное к ряду (1), найдём, что необходимая функция
, а
и
. Отсюда, подставляя в двойное неравенство, имеем
(3). В левом неравенстве положим n=0, тогда
, то есть
. В правом же возьмём n=1 и получим
, далее
,
и, наконец,
. Переходя в неравенствах
к пределу при
, находим
.
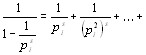
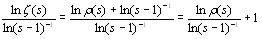
Отсюда, в частности, следует, что
. Действительно, положим
. Тогда
, то есть
. Поэтому
. Из того, что
, а
, вытекает доказываемое утверждение.
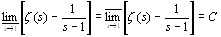
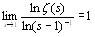
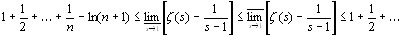
Можно, однако, получить ещё более точный результат для оценки поведения дзета-функции в окрестности единицы, чем приведённые выше, принадлежащий Дирихле. Будем отталкиваться от очевидного при произвольном n равенства
. Прибавим ко всем частям неравенств (3) сумму
и вычтем
. Имеем
. Пусть здесь s стремится к единице. По правилу Лопиталя легко вычислить
и
. Мы пока не знаем, существует ли предел выражения
при
, поэтому, воспользовавшись наибольшим и наименьшим пределами, напишем неравенства так: ![]()
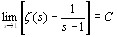
. Ввиду произвольности n возьмём
. Первое и последнее выражения стремятся к эйлеровой постоянной C (C
0,577). Значит
, а, следовательно, существует и обычный предел и
.
Найденные выше пределы позволяют получить лишь приблизительное представление о виде графика дзета-функции. Сейчас мы выведем формулу, которая даст возможность нанести на координатную плоскость конкретные точки, а именно, определим значения
, где k тАУ натуральное число.
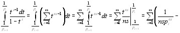
Возьмём известное разложение
, где
- знаменитые числа Бернулли (по сути, через него эти числа и определяются). Перенесём слагаемое
в левую часть равенства. Слева получаем
cth
, а в правой части -
, то есть
cth
. Заменяем
на
, получаем
cth
.
С другой стороны, существует равенство cth
, из которого
cth
. Подстановкой
вместо
находим
cth
. Если
, то для любого
N
и по теореме о сложении бесконечного множества степенных рядов
cth
.
Приравняем полученные разложения:
, следовательно
. Отсюда немедленно следует искомая формула
(4), где
- k-е число Бернулли. Она удобна тем, что эти числа хорошо изучены и для них составлены обширные таблицы.
Теперь, исходя из полученных результатов, можно построить эскиз графика дзета-функции Римана, достаточно хорошо отражающий её поведение на всей области определения.

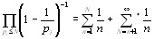
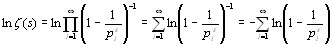
Леонард Эйлер, впервые рассмотревший дзета-функцию, получил замечательное разложение её в бесконечное произведение, которое иногда тоже принимают за определение:
, где pi тАУ i-е простое число (4).
Докажем тождественность ряда (1) и произведения (4). Вспомнив формулу суммы геометрической прогрессии, получаем равенство 
Если перемножить конечное число таких рядов, отвечающих всем простым числам, не превосходящим заданного натурального числа N, то получившееся частичное произведение окажется равным
, где символ * означает, что суммирование распространяется не на все натуральные числа, а лишь на те из них (не считая единицы), которые в своём разложении содержат только простые числа меньшие N. Так как первые N натуральных чисел этим свойством обладают, то
(5).
Сумма
содержит не все числа, большие N+1, поэтому, очевидно,
. Из (5) получаем
(6).
Ввиду сходимости ряда (1), выражение справа, представляющее его остаток после N-го члена, стремится к нулю при N стремящимся к бесконечности, а
есть произведение (4). Значит из неравенства при
, что и требовалось доказать.
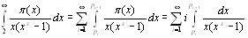
Формула (4) важна потому, что она связывает натуральный ряд, представленный множеством значений аргумента дзета-функции, со множеством простых чисел. Ещё один шаг в этом направлении мы сделаем, оценив
, а именно показав, что
, где
остаётся ограниченным при
.
Из (4) следует, что
, где
N, а
при
. Возьмём логарифм от обеих частей равенства, тогда
. Натуральные логарифмы под знаком суммы разлагаются в ряд:
. Подставив полученные разложения в равенство и устремив N к бесконечности, имеем
. Остаётся доказать ограниченность последнего слагаемого. Ясно, что
. Последнее равенство справедливо, так как
. Далее, очевидно,
, что и завершает доказательство.
На этом закончим изложение свойств дзета-функции Римана для действительного аргумента, так как наибольший теоретический и прикладной интерес представляет случай изложенный во второй главе.
Глава 2.
Все результаты первой главы, касающиеся дзета-функции Римана, были получены в предположении, что её аргумент s тАУ действительное число. Однако, самые выдающиеся исследования и многочисленные важные приложения стали возможны лишь после включения в область определения функции комплексных чисел. Впервые рассмотрел дзета-функцию как функцию мнимого аргумента немецкий математик Бернгард Риман, глубоко изучивший её свойства и широко применявший её в теории чисел. В честь него функция получила своё название.
Для комплексной дзета-функции остаётся в силе определение, данное в главе 1, с тем лишь изменением, что теперь там будет
C. Возникает необходимость найти новую область определения. С этой целью докажем следующее утверждение: в полуплоскости
(
действительная часть числа x) ряд
(1) сходится абсолютно.
Пусть
. Подсчитаем абсолютные величины членов ряда (1),
. Первый множитель содержит только вещественные числа и
, так как
. Ко второму же множителю применим знаменитую формулу Эйлера, получим ![]()
. Значит,
. Ввиду сходимости ряда
при О±>1, имеем абсолютную сходимость ряда (1).
На своей области определения дзета-функция аналитична. Действительно, при всяком q>0 и фиксированном О±>1+q, числовой ряд
мажорирует ряд из абсолютных величин
, где
, откуда, по теореме Вейерштрасса, следует равномерная сходимость ряда в полуплоскости
. Сумма же равномерно сходящегося ряда из аналитических функций сама является аналитической функцией.
Нетрудно показать, что все полученные для дзета-функции формулы без изменений переносятся на случай комплексного аргумента. Доказательства претерпевают незначительные преобразования, связанные с переходом к абсолютным величинам.
В связи с этим замечанием становится возможным использовать разложение дзета-функции в произведение
, где s теперь любое комплексное число, такое, что
. Применим его к доказательству отсутствия у функции
корней.
Оценим величину
, используя свойство модуля
:
, где как обычно
. Так как
, то
, а
, следовательно, дзета-функция в нуль не обращается.
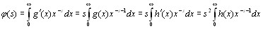
Вопрос о нулях дзета-функции, а также другие прикладные вопросы получают новые широкие возможности для исследования, если распространить её на всю комплексную плоскость. Поэтому, сейчас мы одним из многих возможных способов найдём аналитическое продолжение дзета-функции и выведем её функциональное уравнение, характеризующее и однозначно определяющее
.
Для этого нам понадобится формула
(2), которая выводится следующим образом. Используя свойства интегралов можно записать
. Для любого d при
, значит
и
, а
.
. Следовательно,
![]()
![]()
. Интеграл
можно найти интегрированием по частям, принимая
,
; тогда
, а
. В результате
. Вычтем из этого интеграла предыдущий и получим
, отсюда легко следует равенство (2).
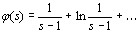
Теперь положим в (2)
,
, a и b тАУ целые положительные числа. Тогда
. Пусть сначала
, примем a=1, а b устремим к бесконечности. Получим
. Прибавим по единице в обе части равенств:
(3).
Выражение
является ограниченным, так как
, а функция
абсолютно интегрируема на промежутке
при
, то есть при
,
. Значит, интеграл
абсолютно сходится при
, причём равномерно в любой конечной области, лежащей в комплексной плоскости справа от прямой
. Тем самым он определяет аналитическую функцию переменной s, регулярную при
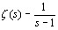
. Поэтому правая часть равенства (3) представляет собой аналитическое продолжение дзета-функции на полуплоскость
и имеет там лишь один простой полюс в точке
с вычетом, равным единице.
Для
можно преобразовать выражение (3) дзета-функции. При
имеем
, значит,
и
. Теперь при
(3) может быть записано в виде
.
Немного более сложными рассуждениями можно установить, что в действительности (3) даёт аналитическое продолжение дзета-функции на полуплоскость
. Положим
, а
, то есть
первообразная для
.
ограничена, так как
, а интеграл
и
ограничен из-за того, что
. Рассмотрим интеграл
при x1>x2 и
. Проинтегрируем его по частям, приняв
,
, тогда
, а по указанному выше утверждению
. Получаем
. Возьмём
, а
. Имеем
,
, потому что
является ограниченной функцией. Значит,
(4).
Пользуясь абсолютной сходимостью интеграла
, если
, и ограниченностью функции
, делаем вывод, что в левой части равенства (4) интеграл тоже сходится при
. Значит формулой (3) можно продолжить дзета-функцию и на полуплоскость правее прямой
.
Нетрудно установить, что для отрицательных
, поэтому из (3) имеем
(5) при
.
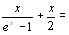
Из теории рядов Фурье известно, что для нецелых значений x справедливо разложение в ряд
(6).
Подставим его в равенство (5) и проинтегрируем ряд почленно:
. Сделаем в полученном интеграле подстановку
, отсюда следует
, а
, и получим далее
. Известно, что
, значит
. Из известного соотношения для гамма-функции
, по формуле дополнения
, следовательно

Итак, мы получили функциональное уравнение дзета-функции Римана
(7),
которое само по себе может служить средством изучения этой функции, так как вполне характеризует её, в том смысле, что любая другая функция
, удовлетворяющая равенству (7), а также ещё некоторым естественным условиям, тождественна с
.
Пока, правда, как следует из рассуждений, мы доказали формулу (7) для
. Однако правая часть этого равенства является аналитической функцией s и при
. Это показывает, что дзета-функция может быть аналитически продолжена на всю комплексную плоскость, причём не имеет на ней никаких особенностей, кроме упоминавшегося полюса при
.
Чтобы доказательство было строгим, мы должны ещё обосновать почленное интегрирование. Поскольку ряд (6) сходится почти всюду и его частичные суммы остаются ограниченными, почленное интегрирование на любом конечном отрезке допустимо. Ввиду
для любого
, остаётся доказать, что
при
. Но интегрируя внутренний интеграл по частям имеем 
. Отсюда без труда получается наше утверждение.
Функциональное уравнение дзета-функции (7) может быть записано многими способами. Например, заменим s на 1-s, получаем равносильное равенство
(8). Из него можно получить два небольших следствия.
Подставим в (8) вместо s число 2m, где m тАУ натуральное число. Имеем
. По формуле (4) первой главы
, а
, поэтому
и произведя в правой части все сокращения, учитывая, что
, получим
.
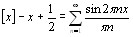
Покажем ещё, что
. Для этого прологарифмируем равенство (8):
и результат продифференцируем
. В окрестности точки s=1
,
,
, где С тАУ постоянная Эйлера, а k тАУ произвольная постоянная. Следовательно, устремляя s к единице, получим
, то есть
. Опять из формулы (4) главы 1 при k=0
, значит, действительно,
.
Глава 3.
Как уже было сказано, дзета-функция Римана широко применяется в математическом анализе. Однако наиболее полно важность её выявляется в теории чисел, где она оказывает неоценимую помощь в изучении распределения простых чисел в натуральном ряду. К сожалению, рассказ о серьезных и нетривиальных применениях дзета-функции Римана выходит за рамки этой работы. Но чтобы хотя бы немного представить мощь этой функции, докажем с её помощью несколько интересных утверждений.
Например, известно, что простых чисел бесконечно много. Самое знаменитое элементарное доказательство принадлежит Евклиду. Оно состоит в следующем. Предположим, что существует конечное число простых чисел, обозначим их p1, p2, тАж , pn. Рассмотрим число p1p2тАжpn+1, оно не делится ни на одно из простых и не совпадает ни с одним из них, то есть является простым числом, отличным от вышеуказанных, что противоречит предположению. Значит, количество простых чисел не может быть конечным.
Другое доказательство этого факта, использующее дзета-функцию, было дано Эйлером. Рассмотрим данное в первой главе равенство (5) при s=1, получим
, отсюда
и ввиду расходимости гармонического ряда, имеем при
(1). Если бы количество простых чисел было конечным, то и это произведение имело конечное значение. Однако, полученный результат свидетельствует об обратном. Доказательство завершено.
Теперь перепишем (1) в виде
. Опираясь на теорему о сходимости бесконечного произведения, из расходимости предыдущего делаем вывод, что ряд
расходится. Это предложение даёт некоторую характеристику роста простых чисел. Подчеркнём, что оно гораздо сильнее утверждения о расходимости гармонического ряда, так как здесь речь идёт лишь о части его членов, тем более что в натуральном ряде имеются сколь угодно длинные промежутки без простых чисел, например:
,
, тАж ,
.
Несмотря на свою простоту приведённые выше предложения важны в концептуальном плане, так как они начинают череду исследований всё более и более глубоких свойств ряда простых чисел, которая продолжается по сей день. Первоначально, основной целью изучения дзета-функции как раз и было исследование функции
, то есть количества простых чисел не превосходящих x. В качестве примера формулы, связывающей
и
, мы сейчас получим равенство
(2).
Сначала воспользуемся разложением дзета-функции в произведение:
. Из логарифмического ряда
, учитывая, что
, приходим к ряду
. Значит,
.
Теперь вычислим интеграл в правой части (2). Так как при
, то
. Во внутреннем интеграле положим
, тогда
и
, отсюда
.В промежутке интегрирования
, поэтому верно разложение
и
. Получаем
. Теперь
. Если сравнить полученное значение интеграла с рядом для
, то увидим, что они тождественны и равенство (2) доказано.
Используем формулу (2) для доказательства одной очень серьёзной и важной теоремы, а именно получим асимптотический закон распределения простых чисел, то есть покажем, что
.
В качестве исторической справки отмечу, что великий немецкий математик Карл Фридрих Гаусс эмпирически установил эту закономерность ещё в пятнадцатилетнем возрасте, когда ему подарили сборник математических таблиц, содержащий таблицу простых чисел и таблицу натуральных логарифмов.
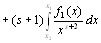
Для доказательства возьмём формулу (2) и попытаемся разрешить это уравнение относительно
, то есть обратить интеграл. Сделаем это с помощью формулы обращения Меллина следующим образом. Пусть
. Тогда
(3). Этот интеграл имеет нужную форму, а
не повлияет на асимптотику
. Действительно, так как
, интеграл для
сходится равномерно в полуплоскости
, что легко обнаруживается сравнением с интегралом
. Следовательно,
регулярна и ограничена в полуплоскости
. То же самое справедливо и относительно
, так как
.
Мы могли бы уже применить формулу Меллина, но тогда было бы весьма затруднительно выполнить интегрирование. Поэтому прежде преобразуем равенство (3) следующим образом. Дифференцируя по s, получаем
. Обозначим левую часть через
и положим
,
, (
,
и
полагаем равными нулю при
). Тогда, интегрируя по частям, находим
при
, или
.
Но
непрерывна и имеет ограниченную вариацию на любом конечном интервале, а так как
, то
(
) и
(
). Следовательно,
абсолютно интегрируема на
при
. Поэтому
при
, или
при
. Интеграл в правой части абсолютно сходится, так как
ограниченна при
, вне некоторой окрестности точки
. В окрестности
и можно положить
, где
ограниченна при
,
и имеет логарифмический порядок при
. Далее,
. Первый член равен сумме вычетов в особых точках, расположенных слева от прямой
, то есть
. Во втором члене можно положить
, так как
имеет при
лишь логарифмическую особенность. Следовательно,
. Последний интеграл стремится к нулю при
. Значит,
(4).
Чтобы перейти обратно к
, используем следующую лемму.
Пусть
положительна и не убывает и пусть при
. Тогда
.
Действительно, если
- данное положительное число, то
(
). Отсюда получаем для любого
. Но так как
не убывает, то
. Следовательно,
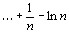
. Полагая, например,
, получаем
.
Аналогично, рассматривая
, получаем
, значит
, что и требовалось доказать.
Применяя лемму, из (4) имеем, что
,
, поэтому
и теорема доказана.
Для ознакомления с более глубокими результатами теории дзета-функции Римана могу отослать заинтересованного читателя к прилагаемому списку использованной литературы.
Список использованной литературы.
- Титчмарш Е.К. Теория дзета-функции Римана. Череповец, 2000 г.
- Фихтенгольц Г.М. Курс дифференциального и интегрального исчисления, том II. М.,1970 г.
- Привалов И.И. Введение в теорию функций комплексного переменного. М.,1999 г.
- Айерленд К., Роузен М. Классическое введение в современную теорию чисел. М.,1987 г.
- Шафаревич З.А. Теория чисел. М.,1986г.
Вместе с этим смотрят:
Диалектика развития понятия функцииДидактические игры на занятиях по математике
Дисперсионный анализ
Дифференциальные уравнения I и II порядка