Интеграл Пуассона
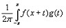
ИНТЕГРАЛ ПУАССОНАПусть Вж ( x ) , g ( x ) , x О R 1 тАУсуммируемые на [ - p , p ] , 2 p - периодические, комплекснозначные функции. Через f * g(x) будем обозначать свертку
f * g(x) = ![]()
dt ![]()
![]()
![]()
![]()
Из теоремы Фубини легко следует, что свертка суммируемых функций также суммируема на [ - p , p ] и
c n ( f * g ) = c n ( f ) Ч c n ( g ) , n = 0, В± 1 , В± 2 , .. ( 1 )
где { c n ( f ) } -- коэффициенты Фурье функции f ( x ) :
c n =
- i n t dt , n = 0, В± 1 , В± 2 , СШ
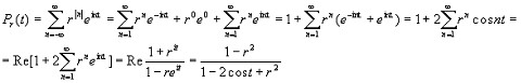
Пусть Вж О L 1 (- p , p ) . Рассмотрим при 0 РИ r < 1 функцию
Вж r ( x ) =
n ( f ) r | n | e i n x , x О [ - p , p ] , ( 2 )
где ряд в правой части равенства (2) сходится равномерно по х для любого фиксированного r , 0 РИ r < 1 . Коэффициенты Фурье функции Вж r ( х ) равны
c n ( f r ) = c n Ч r | n | , n = 0 , В± 1 , В± 2 , СШ , а это согласно (1) значит, что Вж r ( x ) можно представить в виде свертки : ![]()
Вж r ( x ) =
, ( 3 )
где
, t О [ - p , p ] . ( 4 )
Функция двух переменных Р r (t) , 0 РИ r < 1 , t О [ - p , p ] , называется ядром Пуассона , а интеграл (3) -- интегралом Пуассона
![]()
![]()
![]()

![]()
Следовательно,
P r ( t ) =
, 0 РИ r < 1 , t О [ - p , p ] . ( 5 )
Если Вж О L 1 ( - p , p ) - действительная функция , то , учитывая , что
c -n ( f ) = ` c n ( f ) , n = 0 , В± 1 , В± 2 , СШ , из соотношения (2) мы получим :
f r ( x ) = ![]()
=
, ( 6 )
где
F ( z ) = c 0 ( f ) + 2
( z = re ix ) ( 7 )
- аналитическая в единичном круге функция . Равенство (6) показывает, что для любой действительной функции Вж О L 1 ( - p , p ) интегралом Пуассона (3) определяется гармоническая в единичном круге функция
u ( z ) = Вж r (e ix ) , z = re ix , 0 РИ r < 1 , x О [ - p , p ]
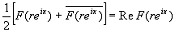
При этом гармонически сопряженная с u (z) функция v (z) c v (0) = 0 задается формулой
v (z) = Im F (z) =
. ( 8 )
Утверждение1
Пусть u (z) - гармоническая ( или аналитическая ) в круге | z | < 1 + e ( e > 0 ) функция и Вж (x) = u (e ix ) , x О [ - p , p ] . Тогда
u (z) =
( z = re ix , | z | < 1 ) ( 10 )
Так как ядро Пуассона P r (t) - действительная функция, то равенство (10) достаточно проверить в случае, когда u (z) - аналитическая функция:
=
, | z | < 1 + e
Но тогда

и равенство (10) сразу следует из (2) и (3)
Прежде чем перейти к изучению поведения функции Вж r ( x ) при r Во 1 , отметим некоторые свойства ядра Пуассона:
а)
;
б)
;
в) для любого d >0
![]()
Соотношения а) и в) сразу следуют из формулы (5), а для доказательства б) достаточно положить в (2) и (3) Вж ( х ) i 1 . ![]()
Теорема 1
Для произвольной (комплекснозначной) функции
( - p , p ) , 1 РИ p < ТР , имеет место равенство ![]()
;
если же Вж (x) непрерывна на [ - p , p ] и Вж (- p ) = Вж ( p ) , то
![]()
Доказательство
В силу (3) и свойства б) ядра Пуассона
( 12 )
Для любой функции
, пользуясь неравенством Гельдера и положительностью ядра Пуассона , находим
![]()

![]()

Следовательно,
![]()

Для данного e > 0 найдем d = d ( e ) такое, что
. Тогда для r , достаточно близких к единице, мы получим оценку
![]()
![]()
![]()
Аналогично второе неравенство вытекает из неравенства
![]()

Теорема 1 доказана
Дадим определения понятий "максимальная функция" и "оператор слабого типа", которые понадобятся нам в ходе доказательства следующей теоремы
Определение1
Пусть функция
суммируема на любом интервале (-А, А), А > 0 . Максимальной функцией для функции
называется функция
![]()
где супремум берется по всем интервалам I , содержащим точку х
Определение 2
Оператор
называется оператором слабого типа (р,р) , если для любого y > 0
![]()
Теорема 2 (Фату)
Пусть
- комплекснозначная функция из
. Тогда
для п.в. ![]()
Доказательство
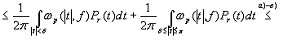
Покажем, что для
и ![]()
, ( 13 )
где С - абсолютная константа , а M ( f, x ) - максимальная функция для f (x) . Для этой цели используем легко выводимую из (5) оценку
![]()
( К - абсолютная константа)
Пусть
- такое число, что
![]()
Тогда для ![]()



![]()


![]()
Неравенство (13) доказано. Используя затем слабый тип (1,1) оператора
, найдем такую последовательность функций
,что
,
( 14 )
для п.в. ![]()
Согласно (13) при x О (-2 p , 2 p )
![]()
![]()
Учитывая , что по теореме 1
для каждого x О [- p , p ] и (14)
Из последней оценки получим
при n Во ТР
Теорема 2 доказана
Замечание
Используя вместо (13) более сильное неравенство (59), которое мы докажем позже, можно показать, что для п.в. x О [- p , p ]
, когда точка re it стремится к e ix по некасательному к окружности
пути
Мы считаем , что f (x) продолжена с сохранением периодичности на отрезок [ - 2 p , 2 p ] (т.е.
f (x) = f (y) , если x,y О [-2 p ,2 p ] и x-y=2 p ) и f (x) = 0 , если | x | > 2 p
Вместе с этим смотрят:
ИнтегралыИнтерполирование сплайнами
Интерполяция многочленами
Искусственный интеллект