Исследование кривых и поверхностей второго порядка
Международный университет природы, общества и человека
ВлДубнаВ»
Кафедра высшей математики
Курсовая работа
по линейной алгебре и аналитической геометрии
студентки I курса 1033 группы
Ярмак Елены Владимировны
ВлИсследование кривых и поверхностей
второго порядкаВ»
Руководители: старший преподаватель Маркова И. А.
ассистент Павлов А. С.
Дубна, 2002 ОглавлениеОглавление 2
Задание 1 3
Задание 2 3
Цель 3
Задача 3
Исходные данные 4
Анализ кривой второго порядка 4
1. Определение зависимости типа данной кривой (1) от параметра β с помощью инвариантов 4
2. Приведение уравнения кривой при β = 0 к каноническому виду, применяя преобразования параллельного переноса и поворота координатных осей 6
4. Вывод уравнения осей канонической системы координат 8
5. Построение кривой в канонической и общей системах координат 9
Анализ поверхности второго порядка 11
1. Исследование формы поверхности методом сечений и построение полученных сечений 11
2. Построение поверхности в канонической системе координат 16
Вывод 17
Список использованной литературы 18
Задание 11.Определить зависимость типа данной кривой от параметра β с помощью инвариантов.
2. Привести уравнение кривой при β = 0 к каноническому виду, применяя преобразования параллельного переноса и поворота координатных осей.
3. Найти фокусы, директрисы, эксцентриситет и асимптоты (если они есть) данной кривой второго порядка.
4. Написать уравнения осей канонической системы координат.
5. Построить кривую в канонической и общей системах координат.
Задание 2Для данного уравнения поверхности второго порядка:
1. Исследовать форму поверхности методом сечений и построить полученные сечения.
2. Построить поверхность в канонической системе координат.
ЦельЦелью курсовой работы является закрепление и углубление полученных студентом знаний и технических навыков по изучению и анализу свойств кривых и поверхностей второго порядка.
ЗадачаОпределить зависимость типа данной кривой от параметра β с помощью инвариантов. Привести уравнение кривой при β = 0 к каноническому виду, применяя преобразования параллельного переноса и поворота координатных осей. Найти фокусы, директрисы, эксцентриситет и асимптоты (если они есть) данной кривой второго порядка. Написать уравнения осей канонической системы координат. Построить кривую в канонической и общей системах координат.
Исследовать форму данной поверхности методом сечений и построить полученные сечения. Построить поверхность в канонической системе координат.
Исходные данныеУравнение кривой второго порядка:
.
Уравнение поверхности второго порядка:
.
Их инварианты и классификация.
Анализ кривой второго порядкаДля данного уравнения кривой второго порядка:
(1)
Для уравнения кривой второго порядка (1) имеем:
![]()
Вычислим инварианты кривой
.
.
.
В соответствии с классификацией кривых второго порядка:
Если I2 = 0, то уравнение (1) определяет кривую параболического типа. Но I2 = -306-11β , следовательно, если
, то уравнение (1) определяет кривую параболического типа. Но при этом
, следовательно, если
, то уравнение (1) определяет параболу.
Если I2 ≠ 0, то данная кривая тАУ центральная. Следовательно, при
данная кривая тАУ центральная.
Если I2 > 0, то уравнение (1) определяет кривую эллиптического типа. Следовательно, если
, то данная кривая есть кривая эллиптического типа. Но при этом I1I3 = (1-β)(4885β-306) < 0, и в соответствии с признаками кривых второго порядка (I2 > 0, I1I3 < 0) получим, что если
, то уравнение (1) определяет эллипс.
Если I2 < 0, то уравнение (1) определяет кривую гиперболического типа. Следовательно, если
, то уравнение (1) определяет кривую гиперболического типа.
Если I2 < 0 и I3 = 0, то уравнение (1) определяет две пересекающиеся прямые. Получим:

Следовательно, если
, то уравнение (1) определяет две пересекающиеся прямые.
Если I2 < 0 и I3 ≠ 0, то данная кривая тАУ гипербола. Но I3 ≠ 0 при всех
за исключением точки
. Следовательно, если
, то уравнение (1) определяет гиперболу. Используя полученные результаты, построим таблицу:
Значение параметра β |
|
|
|
|
|
Тип кривой |
Эллипс |
Парабола |
Гипербола |
Две пересекающиеся прямые |
Гипербола |
При β = 0 уравнение (1) принимает следующий вид:
(2)
Согласно таблице, это гипербола. Приведем уравнение кривой (2) к каноническому виду, применяя преобразования параллельного переноса и поворота координатных осей. Мы установили, что данная кривая тАУ центральная, поэтому используем методику приведения к каноническому виду для уравнения центральной кривой.
а) Совершим параллельный перенос начала координат в точку
. При этом координаты x, y произвольной точки М плоскости в системе координат xOy и координаты xтАЩ, yтАЩ в новой системе координат xтАЩOтАЩyтАЩ связаны соотношениями:
.
Подставляя эти выражения для x и y в уравнение (1), получим:
.
Раскрывая скобки и приводя подобные члены, получим уравнение вида

В этом уравнении коэффициенты при xтАЩ и yтАЩ приравняем к нулю. Получим систему уравнений относительно
,
которая определяет координаты центра исходной кривой. Следовательно,
,
- решение данной системы и точка ОтАЩ(2, 4) тАУ центр данной кривой. Подставим найденные значения
в уравнение (2), получим
![]()
(3)
б) Дальнейшее упрощение уравнения (3) достигается при помощи поворота осей координат на угол α.
При повороте осей координат на угол α координаты xтАЩ, yтАЩ произвольной точки М плоскости в системе координат хтАЩOтАЩyтАЩ и координаты Х, Y в новой системе координат XOтАЩY связаны соотношениями:
. (4)
Подставляя (4) в уравнение кривой (3), получим:
.
Раскроем скобки и приведем подобные члены, получим уравнение вида:
(5)
Выберем угол α такой, что в уравнении (5) коэффициент при произведении X⋅Y равен нулю:
![]()
Это требование эквивалентно уравнению:
(6)
Решая уравнение (6), получим:
![]()
Tgα=k, k тАУ угловой коэффициент оси ОтАЩХ. Он определяется формулой:
![]()
λ1 тАУ корень характеристического уравнения данной кривой, совпадающий со знаком I3. Характеристическое уравнение для данной кривой (1) имеет вид
![]()
![]()
Следовательно, ![]()
Тогда получим, что
, через tgα найдем sinα и cosα:
.
.
Подставляя эти значения в уравнение (5), получим:
![]()
т. е. преобразование уравнения будет иметь вид
![]()
и, соответственно, уравнение

- это каноническое уравнение исходной гиперболы с центром в точке OтАЩ(2, 4) и полуосями
и
.
3. Нахождение фокусов, директрис, эксцентриситета и асимптот (если они есть) данной кривой второго порядка
Найдем фокусы гиперболы. Коoрдинаты F1,2 равны (±с, 0), с определяется по формуле:
,
Следовательно, точки
и
- фокусы данной гиперболы.
Найдем эксцентриситет гиперболы:
.
Найдем директрисы гиперболы:
D1:
D2:
.
Найдем асимптоты гиперболы:
.
Напишем уравнения осей канонической системы координат. Из задания 2 известно, что точка ОтАЩ(2, 4) тАУ центр данной кривой. Оттуда же известен угловой коэффициент оси OтАЩX
. Напишем уравнения осей новой системы координат XOтАЩY в исходной системе координат xOy. Так как система XOтАЩY тАУ каноническая для данной гиперболы, то ее центр находится в центре кривой тАУ точке ОтАЩ(2, 4), т е. оси ОтАЩX и OтАЩY проходят через точку ОтАЩ. Уравнение прямой, проходящей через данную точку
, с заданным угловым коэффициентом k имеет вид:
Следовательно, ось ОтАЩX в системе координат xOy имеет уравнение
или ![]()
Так как ось ОтАЩY перпендикулярна оси ОтАЩX, то ее угловой коэффициент
Следовательно, ось ОтАЩY имеет уравнение
или
.
На основе полученной информации, нарисуем кривую в канонической и общей системах координат:
Рис. 1. Кривая в общей и канонической системах координат.
Рис. 2. Кривая в канонической системе координат.
Анализ поверхности второго порядкаДля данного уравнения поверхности второго порядка:
(7)
1) Для того чтобы исследовать поверхность методом сечений, сначала приведем уравнение (7) к каноническому виду с помощью параллельного переноса и поворота осей координат.
Совершим параллельный перенос начала координат в точку
. При этом координаты x, y, z произвольной точки М плоскости в системе координат Oxyz и координаты xтАЩ, yтАЩ, zтАЩ в новой системе координат OтАЩxтАЩyтАЩzтАЩ связаны соотношениями:
.
Подставляя эти выражения для x, y, z в уравнение (7), получим:
Раскрывая скобки и приводя подобные члены, получим уравнение вида
(8)
В уравнении (8) коэффициенты при x,тАЩ yтАЩ, zтАЩ приравняем к нулю. Получим систему уравнений относительно
,
,
которая определяет координаты центра исходной поверхности. Следовательно,
,
,
- решение данной системы и точка
тАУ центр данной поверхности. Подставим найденные значения
,
в уравнение (8), получим
. (9)
Дальнейшее упрощение уравнения (3) достигается при помощи поворота осей координат на угол α. При повороте осей координат OтАЩY и OтАЩZна угол α координаты yтАЩ, zтАЩ произвольной точки М плоскости yOz в системе координат OтАЩхтАЩyтАЩzтАЩ и координаты Y, Z в новой системе координат OтАЩXYZ связаны соотношениями:
. (10)
Подставляя (10) в уравнение поверхности (9) с последующим раскрытием скобок и приведением подобных членов, получим уравнение вида:
(11)
Выберем угол α такой, что в уравнении (11) коэффициент при произведении Y⋅Z равен нулю:
.
Получим, что
,
. Чтобы выбрать нужный α, решим характеристическое уравнение для эллипса
:
![]()
Отсюда вычислим угловой коэффициент поворота осей k:
![]()
Следовательно, cosα = sinα = ±
.
Подставляя эти значения в уравнение (11), получим:
,
т. е. уравнение
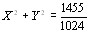
(12)
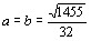
тАУ это каноническое уравнение для данной поверхности, которое задает эллипсоид с полуосями
и
. Т. к. a=b, то эллипсоид называется сплюснутым.
2) Данное каноническое уравнение (12) задает эллипсоид.
Рассмотрим линии, полученные в сечениях эллипсоида плоскостями Z=h (h=const). Эти линии определяются системой уравнений:

Решая эту систему, получаем:
(13)
где h тАУ любое вещественное число. Уравнения (13) тАУ это уравнения окружностей с радиусом
, уменьшающимся с увеличением |h|, с центрами на оси OтАЩZ в точках C(0, 0, h). Плоскость XOтАЩY (h=0) пересекает эллипсоид по окружности:
![]()
Эта окружность будет наибольшей, как видно из выражения радиуса. При
получаем уравнение:
,
т. е. сечения в таких значениях h будут представлять собой точки в центре координат полученных сечений. При
получаем отрицательное число под корнем, т. е. при таких значениях h плоскость XOтАЩY не пересекает данный эллипсоид. При
получаем окружность:
![]()
Изобразим полученные сечен

ия:
Рис. 3. Сечение плоскостью Z=h.
Рассмотрим линии, полученные в сечениях эллипсоида плоскостью X=h:

Решая эту систему, получаем:
(14)
где h тАУ любое вещественное число. Уравнения (14) тАУ это уравнения эллипсов с полуосями:
![]()
уменьшающимися с увеличением |h|, с центрами на оси OтАЩX в точках C(h, 0, 0) и осями, параллельными плоскости YOтАЩZ.
Плоскость YOтАЩZ (h=0) пересекает эллипсоид по эллипсу

Этот эллипс будет наибольшим, как видно из выражения полуосей. При
получаем уравнение

т. е. сечения в таких значениях h будут представлять собой точки в центре координат полученных сечений. При
получаем

т. е. при таких значениях h плоскость YOтАЩZ не пересекает данный эллипсоид. При
получаем эллипс:

Изобразим полученные сечения:
Рис. 4. Сечение плоскостью X=h.
Аналогичная картина получаются при сечении эллипсоида плоскостью XOтАЩZ.

Проанализировав каноническое уравнение эллипсоида (12) и на основе данных исследований методом сечений плоскостями, построим эллипсоид:
Рис. 5. Эллипсоид.
ВыводМы научились приводить уравнения кривых и поверхностей второго порядка к каноническому виду, применяя параллельный перенос и поворот осей, строить их, исследовать поверхность методом сечений. Также мы приобрели навыки оформления текстовых документов.
Список использованной литературы- Ильин В. А., Позняк Г. Аналитическая геометрия. тАУ М.: Наука, 1974
- Ефимов А. В., Демидович Б. П. Сборник задач по математике для ВТУЗов (4 части). тАУ М.: Наука, 1993.
Преподаватель. |
Оценка. |
Подпись. |
Дата. |
Вместе с этим смотрят:
Исследование свойств прямоугольного тетраэдраИсследование элементарных функций
Исторические сведения о развитии тригонометрии
Исторические сведения о тригонометрии