Комбинаторика

Реферат на тему:

Выполнил ученик 10 класса ВлВВ»
средней школы №53
Глухов Михаил Александрович
г. Набережные Челны
2002 г.
Содержание
Из истории комбинаторики_________________________________________ |
3 |
Правило суммы___________________________________________________ |
4 |
Примеры задач____________________________________________________ |
- |
Правило произведения_____________________________________________ |
4 |
Примеры задач____________________________________________________ |
- |
Пересекающиеся множества________________________________________ |
5 |
Примеры задач____________________________________________________ |
- |
Круги Эйлера_____________________________________________________ |
- |
Размещения без повторений________________________________________ |
6 |
Примеры задач____________________________________________________ |
- |
Перестановки без повторений_______________________________________ |
7 |
Примеры задач____________________________________________________ |
- |
Сочетания без повторений__________________________________________ |
8 |
Примеры задач____________________________________________________ |
- |
Размещения и сочетания без повторений______________________________ |
9 |
Примеры задач____________________________________________________ |
- |
Перестановки с повторениями_______________________________________ |
9 |
Примеры задач____________________________________________________ |
- |
Задачи для самостоятельного решения________________________________ |
10 |
Список используемой литературы___________________________________ |
11 |
Из истории комбинаторики
Комбинаторика занимается различного вида соединениями, которые можно образовать из элементов конечного множества. Некоторые элементы комбинаторики были известны в Индии еще во II в. до н. э. Нидийцы умели вычислять числа, которые сейчас называют "сочетания". В XII в. Бхаскара вычислял некоторые виды сочетаний и перестановок. Предполагают, что индийские ученые изучали соединения в связи с применением их в поэтике, науке о структуре стиха и поэтических произведениях. Например, в связи с подсчетом возможных сочетаний ударных (долгих) и безударных (кратких) слогов стопы из n слогов. Как научная дисциплина, комбинаторика сформировалась в XVII в. В книге "Теория и практика арифметики" (1656 г.) французский автор А. Также посвящает сочетаниям и перестановкам целую главу.Б. Паскаль в "Трактате об арифметическом треугольнике" и в "Трактате о числовых порядках" (1665 г.) изложил учение о биномиальных коэффициентах. П. Ферма знал о связях математических квадратов и фигурных чисел с теорией соединений. Термин "комбинаторика" стал употребляться после опубликования Лейбницем в 1665 г. работы "Рассуждение о комбинаторном искусстве", в которой впервые дано научное обоснование теории сочетаний и перестановок. Изучением размещений впервые занимался Я. Бернулли во второй части своей книги "Ars conjectandi" (искусство предугадывания) в 1713 г. Современная символика сочетаний была предложена разными авторами учебных руководств только в XIX в.
Все разнообразие комбинаторных формул может быть выведено из двух основных утверждений, касающихся конечных множеств тАУ правило суммы и правило произведения.
Правило суммы
Если конечные множества не пересекаются, то число элементов X U Y {или} равно сумме числа элементов множества X и числа элементов множества Y.
То есть, если на первой полке стоит X книг, а на второй Y, то выбрать книгу из первой или второй полки, можно X+Y способами.
Примеры задачУченик должен выполнить практическую работу по математике. Ему предложили на выбор 17 тем по алгебре и 13 тем по геометрии. Сколькими способами он может выбрать одну тему для практической работы?
Решение: X=17, Y=13
По правилу суммы X U Y=17+13=30 тем.
Имеется 5 билетов денежно-вещевой лотереи, 6 билетов спортлото и 10 билетов автомотолотереи. Сколькими способами можно выбрать один билет из спортлото или автомотолотереи?
Решение: Так как денежно-вещевая лотерея в выборе не участвует, то всего 6+10=16 вариантов.
Правило произведенияЕсли элемент X можно выбрать k способами, а элемент Y-m способами то пару (X,Y) можно выбрать k*m способами.
То есть, если на первой полке стоит 5 книг, а на второй 10, то выбрать одну книгу с первой полки и одну со второй можно 5*10=50 способами.
Примеры задач Переплетчик должен переплести 12 различных книг в красный, зеленый и коричневые переплеты. Сколькими способами он может это сделать?Решение: Имеется 12 книг и 3 цвета, значит по правилу произведения возможно 12*3=36 вариантов переплета.
Сколько существует пятизначных чисел, которые одинаково читаются слева направо и справа налево?
Решение: В таких числах последняя цифра будет такая же, как и первая, а предпоследняя - как и вторая. Третья цифра будет любой. Это можно представить в виде XYZYX, где Y и Z -любые цифры, а X - не ноль. Значит по правилу произведения количество цифр одинаково читающихся как слева направо, так и справа налево равно 9*10*10=900 вариантов.
Пересекающиеся множества
Но бывает, что множества X и Y пересекаются, тогда пользуются формулой
, где X и Y - множества, а
- область пересечения.
Примеры задач
20 человек знают английский и 10 - немецкий, из них 5 знают и английский, и немецкий. Сколько Человек всего?
Ответ: 10+20-5=25 человек.
Также часто для наглядного решения задачи применяются круги Эйлера. Например:

Из 100 туристов, отправляющихся в заграничное путешествие, немецким языком владеют 30 человек, английским - 28, французским - 42. Английским и немецким одновременно владеют 8 человек, английским и французским - 10, немецким и французским - 5, всеми тремя языками - 3. Сколько туристов не владеют ни одним языком?
Решение: Выразим условие этой задачи графически. Обозначим кругом тех, кто знает английский, другим кругом - тех, кто знает французский, и третьим кругом - тех, кто знают немецкий.

Всеми тремя языками владеют три туриста, значит, в общей части кругов вписываем число 3. Английским и французским языком владеют 10 человек, а 3 из них владеют еще и немецким. Следовательно, только английским и французским владеют 10-3=7 человек.
Аналогично получаем, что только английским и немецким владеют 8-3=5 человек, а немецким и французским 5-3=2 туриста. Вносим эти данные в соответствующие части.

Определим теперь, сколько человек владеют только одним из перечисленных языков. Немецкий знают 30 человек, но 5+3+2=10 из них владеют и другими языками, следовательно, только немецкий знают 20 человек. Аналогично получаем, что одним английским владеют 13 человек, а одним французским - 30 человек.
По условию задачи всего 100 туристов. 20+13+30+5+7+2+3=80 туристов знают хотя бы один язык, следовательно, 20 человек не владеют ни одним из данных языков.
Размещения без повторений.
Сколько можно составить телефонных номеров из 6 цифр каждый, так чтобы все цифры были различны?
Это пример задачи на размещение без повторений. Размещаются здесь 10 цифр по 6. А варианты, при которых одинаковые цифры стоят в разном порядке считаются разными.
Если X-множество, состоящие из n элементов, mтЙдn, то размещением без повторений из n элементов множества X по m называется упорядоченное множество X, содержащее m элементов называется упорядоченное множество X, содержащее m элементов.
Количество всех размещений из n элементов по m обозначают
![]()
n! - n-факториал (factorial анг. сомножитель) произведение чисел натурального ряда от 1 до какого либо числа n
n!=1*2*3*..*n 0!=1
Значит, ответ на вышепоставленную задачу будет
![]()
Задача
Сколькими способами 4 юноши могут пригласить четырех из шести девушек на танец?
Решение: два юноши не могут одновременно пригласить одну и ту же девушку. И варианты, при которых одни и те же девушки танцуют с разными юношами считаются, разными, поэтому:
Возможно 360 вариантов.
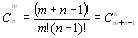
Перестановки без повторений
В случае n=m (см. размещения без повторений) из n элементов по m называется перестановкой множества x.
Количество всех перестановок из n элементов обозначают Pn.
Pn=n!
Действительно при n=m:
![]()
Примеры задач
Сколько различных шестизначных чисел можно составить из цифр 0, 1, 2, 3, 4,5, если цифры в числе не повторяются?
Решение:
- Найдем количество всех перестановок из этих цифр: P6=6!=720
- 0 не может стоять впереди числа, поэтому от этого числа необходимо отнять количество перестановок, при котором 0 стоит впереди. А это P5=5!=120.
P6-P5=720-120=600
Квартет
Проказница Мартышка
Осел,
Козел,
Да косолапый Мишка
Затеяли играть квартет
тАж
Стой, братцы стой! тАУ
Кричит Мартышка, - погодите!
Как музыке идти?
Ведь вы не так сидитетАж
И так, и этак пересаживались тАУ опять музыка на лад не идет.
Тут пуще прежнего пошли у низ раздоры
И споры,
Кому и как сидетьтАж
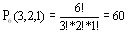
Вероятно, крыловские музыканты так и не перепробовали всех возможных мест. Однако способов не так уж и много. Сколько?
Здесь идет перестановка из четырех, значит, возможно
P4=4!=24 варианта перестановок.
Сочетания без повторений
Сочетанием без повторений называется такое размещение, при котором порядок следования элементов не имеет значения.
Всякое подмножество X состоящее из m элементов, называется сочетанием из n элементов по m.
Таким образом, количество вариантов при сочетании будет меньше количества размещений.
Число сочетаний из n элементов по m обозначается
.
.
Примеры задач

Сколько трехкнопочных комбинаций существует на кодовом замке (все три кнопки нажимаются одновременно), если на нем всего 10 цифр.
Решение:
Так как кнопки нажимаются одновременно, то выбор этих трех кнопок тАУ сочетание. Отсюда возможно
вариантов.
У одного человека 7 книг по математике, а у второго тАУ 9. Сколькими способами они могут обменять друг у друга две книги на две книги.
Решение:
Так как надо порядок следования книг не имеет значения, то выбор 2ух книг - сочетание. Первый человек может выбрать 2 книги ![]()
способами. Второй человек может выбрать 2 книги
. Значит всего по правилу произведения возможно 21*36=756 вариантов.
При игре в домино 4 игрока делят поровну 28 костей. Сколькими способами они могут это сделать?
Первый игрок делает выбор из 28 костей. Второй из 28-7=21 костей, третий 14, а четвертый игрок забирает оставшиеся кости. Следовательно, возможно
.
Размещения и сочетания с повторениями
Часто в задачах по комбинаторике встречаются множества, в которых какие-либо компоненты повторяются. Например: в задачах на числа тАУ цифры. Для таких задач при размещениях используется формула
, а для сочетаний
.
Примеры задач
Сколько трехзначных чисел можно составить из цифр 1, 2, 3, 4, 5?
Решение. Так как порядок цифр в числе существенен, цифры могут повторяться, то это будут размещения с повторениями из пяти элементов по три, а их число равно
.
В кондитерском магазине продавались 4 сорта пироженных: эклеры, песочные, наполеоны и слоеные. Сколькими способами можно купить 7 пироженных.
Решение: Покупка не зависит от того, в каком порядке укладывают купленные пироженные в коробку. Покупки будут различными, если они отличаются количеством купленных пирожных хотя бы одного сорта. Следовательно, количество различных покупок равно числу сочетаний четырех видов пироженных по семь -
.
Обезьяну посадили за пишущую машинку с 45 клавишами, определить число попыток, необходимых для того, чтобы она наверняка напечатала первую строку романа Л.Н. Толстого ВлАнна КаренинаВ», если строка содержит 52 знака и повторений не будет?
Решение: порядок букв имеет значение. Буквы могут повторяться. Значит, всего есть
вариантов.
Перестановки с повторениями
![]()
, где n-количество всех элементов, n1,n2,тАж,nr-количество одинаковых элементов.
Примеры задач
Сколькими способами можно переставить буквы слова ВлананасВ»?
Решение: всего букв 6. Из них одинаковы n1ВлаВ»=3, n2ВлнВ»=2, n3ВлсВ»=1. Следовательно, число различных перестановок равно
.

Задачи для самостоятельного решения
Сколько перестановок можно сделать из букв слова ВлМиссисипиВ».
Ответ: 2520
Имеется пять различных стульев и семь рулонов обивочной ткани различных цветов. Сколькими способами можно осуществить обивку стульев.
Ответ: 16807
На памятные сувениры в ВлПоле ЧудесВ» спонсоры предлагают кофеварки, утюги, телефонные аппараты, духи. Сколькими способами 9 участников игры могут получить эти сувениры? Сколькими способами могут быть выбраны 9 предметов для участников игры?
Ответ: 49, 220
Сколькими способами можно расставить на шахматной доске 8 ладей так, чтобы на одна из них не могла бить другую?
Ответ: 40320
Сколько может быть случая выбора 2 карандашей и 3 ручек из пяти различных карандашей и шести различных ручек?
Ответ:200
Сколько способов раздачи карт на 4 человека существует в игре ВлВерюВатАСВанеВаверюВ» (карты раздаются полностью, 36 карт).
Ответ:
.
В течении 30 дней сентября было 12 дождливых дней, 8 ветреных, 4 холодных, 5 дождливых и ветреных, 3 дождливых и холодных, а один день был и дождливым, и ветреным, и холодным. В течение скольких дней в сентябре стояла хорошая погода.
Ответ: 15
На ферме есть 20 овец и 24 свиньи. Сколькими способами можно выбрать одну овцу и одну свинью? Если такой выбор уже сделан, сколькими способами можно сделать его еще раз?
Ответ: 480, 437
Сколькими способами можно выбрать гласную и согласную буквы из слова ВлзданиеВ»?
Ответ: 9
Сколько существует четных пятизначных чисел, начинающихся нечетной цифрой?
Ответ: 25000
В книжный магазин поступили романы Ф. Купера ВлПрерияВ», ВлЗверобойВ», ВлШпионВ», ВлПионерыВ», ВлСледопытВ» по одинаковой цене. Сколькими способами библиотека может закупить 17 книг на выбранный чек?
Ответ:: 2985
Список используемой литературы
Савина Л.Н., Попырев А.В. ВлКОМБИНАТОРИКАВ» издательство Елабужский государственный педагогический институт 1999г
Халамайзер А. Я. ВлМатематика? тАУ Забавно!В» издание автора 1989г
Интернет
http:\" onclick="return false">
Вместе с этим смотрят:
Комплексные числаКомплексные числа в планиметрии
Комплексные числа и действия над ними
Комплексные числа и действия с ними