Методы измерения дальности в РЛС ЗРК

Дальность, как параметр движения цели

В задачах ПВО после обнаружения и опознавания цели стоит задача об определении параметров цели. В зависимости от ее решения зенитной управляемой ракете будет выдано соответствующее полетное задание и его корректировка во время следования ракеты к цели. Существуют несколько принятых в радиолокации систем координат. В зависимости от выбора системы координат, будут ставиться задачи об определении тех или иных параметров цели. Например, в земной сферической системе координат параметрами движения являются азимут, угол места, и дальность цели. Здесь дальность цели тАУ это расстояние от РЛС до самой цели. В данной работе коснемся вопроса об измерении дальности. Рассмотрим, какие же на сегодня используются методы для ее определения в РЛС, а так же сущность этих методов.

Методы измерения дальности Импульсный метод

Импульсный метод измерения дальности основывается на определении времени запаздывания характерного изменения амплитуды принимаемого радиолокационного сигнала. Антенна РЛС посылает мощный радиоимпульс, который отражается от цели и ей же и принимается. Т.к. скорость распространения СВЧ сигнала, в виде которого распространяется радиоимпульс, много больше скорости цели, то в хорошем приближении цель можно считать неподвижной. Тогда время, за которое радиосигнал достигнет цели тАУ равняется времени, за которое отраженный сигнал достигнет антенны РЛС тАУ . Т.е.

Т.о. сигнал испущенный антенной РЛС вернется на нее в отраженном виде через время . СВЧ сигналы распространяются с постоянной скоростью, поэтому . Мы учли, что скорость распространения СВЧ сигнала в воздухе примерно равна его скорости распространения в вакууме - . Учтем предыдущее выражение, и запишем равенство, определяющее дальность в зависимости от времени запаздывания :

   (1.1)

Для того, чтобы постоянно определять дальность, РЛС должна испускать периодическую последовательность импульсов, тАУ работать в импульсном режиме. Проанализированных данных достаточно, чтобы построить общую структурную схему.

Система синхронизации определяет импульсную работу РЛС. Она формирует видеоимпульсы через постоянные промежутки времени Ти. Ти называют периодом повторения импульса. Т.о. система синхронизации определяет период работы тАУ один цикл определения дальности.

Передатчик включается получив очередной импульс от системы синхронизации и на промежутке времени формирует сигнал требуемой мощности, амплитуды и частоты. называют длительностью импульса.

На протяжении времени длительности импульса антенный переключатель направляет излучаемый сигнал на антенну. Затем переключается на приемник. Т.о. образом до конца периода система тАЬждеттАЭ отраженного сигнала. Заметим, что на переключение антенна затрачивает определенное время .

Приемник выделяет огибающую принятого сигнала и передает на оконечное устройство.

Оконечное устройство обычно выполняется в виде ЭЛТ, на экране которой расстояние между двумя соседними разновысокими пиками соответствует расстоянию до цели. В случае выполнения оконечного устройства на ЭЛТ, система синхронизации управляет работой генератора пилообразного напряжения, который выходит на горизонтально отклоняющую пластину. В то время как сигнал с приемника подается на вертикально отклоняющую.

Схематические графики зависимостей на разных структурных элементах будут выглядеть следующим образом:

Система синхронизации.

Передатчик

Приемник

Из равенства (1.1) следует, что tD ~D. Т.о. выведя последний график на систему индикации (оконечное устройство), и соответствующим об разом проградуировав шкалу, будем иметь непосредственно значение дальности до цели.

Достоинства импульсного метода измерения дальности:

  • возможность построения РЛС с одной антенной;
  • простота индикаторного устройства;
  • удобство измерения дальности нескольких целей;
  • простота излучаемых импульсов, длящихся очень малое время , и принимаемых сигналов;

Недостатки:

  • Необходимость использования больших импульсных мощностей передатчика;
  • невозможность измерения малых дальностей
  • большая мертвая зона

Характеристика недостатков содержится в основных показателях импульсного метода измерения дальности:

Минимальная дальность действия (мертвая зона) импульсной РЛС:

  (1.2),

где - время, затрачиваемое на переключение антенны.

Действительно, пока антенна излучает, система не может принимать сигнал.

Предел однозначного отсчета дальности:

  (1.3)

Действительно, система тАЬждеттАЭ отраженного сигнала только до наступления момента излучения нового сигнала.

Потенциальная разрешающая способность по дальности:

  (1.4)

Действительно, чтобы был скачок напряжения, соответствующий сигналу, отраженному от цели, сначала должен быть спад напряжения. Т.е. две цели можно различить лишь в случае, когда расстояние между ними .

Параметры излучения подбираются по полученным формулам таким способом, чтобы вышеописанные показатели были приемлемыми.

Частотный метод

Частотный метод измерения дальности основан на использовании частотной модуляции излучаемых непрерывных сигналов.

В данном методе за период излучается частота, меняющаяся по линейному закону от до . Т.е. за один период зависимость частоты излучаемого сигнала от времени:

  (2.1)

В то время как отраженный сигнал придет промодулированным линейно в момент времени предшествующий настоящему на время задержки . Т.о. частота отраженного сигнала, принятого на РЛС, будет зависеть от времени следующим образом:

   (2.2)

Вычитая из (2.1) (2.2), получим выражение для разностной частоты :

  (2.3)

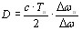
Выражая отсюда , и подставляя в (1.1), найдем зависимость дальности от разностной частоты:

   (2.4)

Из графиков видно как определить время запаздывания тАУ по резкой перемене в частоте разностного сигнала. Очевидно также, что в формулу (2.4) надо подставлять значение разностной частоты, полученное на промежутке времени ( tD  ; Tи ).

Структурная схема частотного дальномера будет выглядеть следующим образом:

Модулятор формирует модуляцию частоты, вырабатываемой генератором СВЧ. После чего сигнал поступает на передающую антенну. Т.к. сигнал непрерывный, то требуется еще и отдельная принимающая антенна.

На приемник поступают прямой и отраженный сигналы, из которых на смесителе выделяется их разностная частота, значение которой после фильтровки передается на систему индикации.

Достоинства частотного метода измерения дальности:

  • позволяет измерять очень малые дальности;
  • используется маломощный передатчик;

Недостатки:

  • необходимо использование двух антенн;
  • ухудшение чувствительности приемника вследствие просачивания в приемный тракт через антенну излучения передатчика, подверженного случайным изменениям;
  • высокие требования к линейности изменения частоты
Фазовый метод

Фазовый метод измерения дальности основан на измерении разности фаз излученных и принятых радиосигналов.

Структурная схема простейшого фазового измерителя дальности выглядит следующим образом:

Генератор ВЧ создает колебания, которые через передающую антенну излучаются во внешнее пространство с соответствующей фазой:

   (3.1),

где - начальное значение фазы.

На приемную антенну поступает отраженный сигнал со значением фазы:

   (3.2),

где - фазовый сдвиг при отражении, - фазовый сдвиг в цепях РЛС, - эта величина постоянна и ее можно подсчитать экспериментально.

Принятый сигнал усиливается и его фаза вместе с фазой первоначального сигнала, детектируемой на фазовом детекторе, поступает на измеритель выходного напряжения.

Т.е. на измеритель выходного напряжения придет сигнал с разностной фазой, полученной при вычитании из (3.1) (3.2):

   (3.3)

Учтем, что . Тогда согласно выражению (1.1) (3.3) запишется в виде:

   (3.4)

Большой недостаток в том, что здесь неизвестен фазовый сдвиг отраженного сигнала, который может меняться как угодно, причем существенным способом.

Поскольку , то из (3.4) следует однозначный диапазон измерения дальности:

   (3.5)

Т.к. используются ультракороткие волны, то однозначный диапазон измерения дальности порядка единиц метра.

Поэтому на практике используют более сложные схемы, в которых присутствует две и больше частот.

Приведем пример двухчастотного фазового дальномера. Его структурную схему изобразим следующим образом:

Здесь частота Ω определяет фазовые сдвиги, а играет роль переносчика информации.

На модуляторе формируется напряжение:

   (3.6)

которое подается на генератор ВЧ, т.о. что напряжение на выходе генератора:

   (3.7),

где - коэффициент модуляции.

Принятые сигналы после усиления детектируются, выделяется их огибающая, фаза которой сравнивается с фазой колебаний модулятора.

   (3.8)

   (3.9)

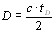
откуда получаем зависимость дальности от разности фаз:

   (3.10)

Теперь при Ω = 1000 с-1, км.

Достоинства фазового метода измерения дальности:

  • маломощное излучение, т.к. генерируются незатухающие колебания;
  • точность не зависит от доплеровского сдвига частоты отражения;
  • достаточно простое устройство

Недостатки:

  • отсутствие разрешения по дальности
  • ухудшение чувствительности приемника вследствие просачивания в приемный тракт через антенну излучения передатчика, подверженного случайным изменениям;
Заключение

В данной работе был приведен обзор основных методов измерения дальности в РЛС ЗРК. Описана их сущность. Как видим, у каждого метода есть свои недостатки и свои преимущества. Для улучшения показателей, характеризующих измерение дальности, используют более сложные схемы, ЛЧМ сигналы. При наличии нескольких станций слежения можно получить значение дальности расчетным путем. В общем, можно сделать заключительный вывод.

Выбор того или иного метода в основе определения такого параметра цели как дальность, зависит от возможных задач РЛС. Поэтому, например, различают РЛС ближнего и дальнего радиуса действия.

Вместе с этим смотрят:

Мотострелковые войска
Мотострелковый танковый батальон и артиллерийский дивизион
МСР в наступлении
МСР в обороне