Феномен программированного обучения
СОДЕРЖАНИЕВведение 3
1. Программированное обучение 4
Список литературы 30
ВВЕДЕНИЕИнформационный взрыв породил множество проблем, важнейшей из которых является проблема обучения. В педагогике появилось понятие информатизации обучения. Что же это такое?
Под информатизацией обучения в современной дидактике чаще все го понимается использование вычислительной техники и связанных с ней информационных технологий в процессе обучения как средств управления познавательной деятельностью школьников и предоставления учителю и учащемуся необходимой текстовой и наВн глядной информации, дополняющей содержание образования.
Как тенденция, информатизация обучения получила наибольшее распространение в последние десятилетия, что связано с появлениВнем в 70-е годы персональных компьютеров, ставших к настоящему времени относительно дешевым, доступным в системе образования и простым в управлении видом вычислительной техники. Однако первые попытки внедрения информационных технологий в практиВнку обучения имеют уже достаточно богатую историю. Здесь, прежде всего, необходимо рассмотреть феномен программированного обучеВнния.
Теория программированного обучения начала развиваться в 40-50 гг. XX в. в США, затем в Европе. Она дала импульс к развитию технологии обучения, к разработке теории и практики технически сложных обучающих систем. Программирова нное обучение тАФ это относительно самостоятельное и индивидуальное усвоение знаний и умений по обучающей программе с помощью компьютерных средВнств обучения. В традиционном обучении ученик обычно читает полВнный текст учебника и воспроизводит его, при этом его работа по восВнпроизведению почти никак не управляется, не регламентируется. Главная идея программированного обучения тАУ это управление учеВннием, учебными действиями обучающегося с помощью обучающей программы.
В этой работе изложен материал, касающийся программированного обучения, его видов, принципов, средств, возможностей. Однако была продела работа лишь по поиску того, что уже сделано. К сожалению, не было нигде найдено такого нового вида обучения, как дистанционное (дистантное), хотя оно относится к изучаемой теме. Материал имеется, но по личным соображениям автор решил не загромождать работу еще и рассмотрением дистантного образования, хотя такая возможность существует.
1 ПРОГРАММИРОВАННОЕ ОБУЧЕНИЕ 1.1 ГЕНЕЗИС ПРОГРАММИРОВАННОГО ОБУЧЕНИЯСуществует мнение, что с элементами программированного обучения можно встретиться уже в древние времена. Об этом может свидетельствовать хотя бы описанный ПлатоВнном в Меноне диалог Сократа с мальчиком о том, как можно рассчитать площадь четырехугольника. В этом диаВнлоге Сократ, мастерски пользуясь эвристической беседой, заставлял собеседника сразу же давать оценку каждому ответу на заданный ему вопрос, требовал исправления допущенных ошибок, подчеркивал логические связи между отдельными шагами на пут и от незнания к знанию, учил мыслить самостоятельно и критически, сохраняя при этом подходящий для мальчика темп работы. До полного пеВнречня важнейших особенностей современной концепции программированного обучения сократовской эвристике не хватает только двух: так называемого самоконтроля и постепенного повышения уровня сложности работы учащеВнгося за счет рационального уменьшения числа наводящих указаний. -
В новое время мы также находим дидактические требоВнвания, авторы которых могут рассматриваться как провозВнвестники современной версии программированного обучеВнния. Многие из этих положений были сформулированы в XVII в. Именно тогда в своем ВлРассуждении о методеВ» Декарт заявил, что нашел путь, который постепенно, шаг за шагом, ведет ученика от незнания к знанию. СложВнности, с которыми на этом пути встретится ученик, можно легко преодолеть, если каждый обширный фрагмент матеВнриала разделить на Влрациональные элементыВ». В тот же период сформулировал указания, которыми в настоящее время руководствуются все авторы программированных текстов. Коменский, создавал их таким образом, чтобы учащийся переходил от простого к сложному, от хорошо известного к неизвестному, от того, что близко, к тому, что более отдаленно.
Элементы программированного обучения, согласно тому же мнению, можно также обнаружить в дидактичеВнских концепциях Гербарта и его учеников, а также Дьюи, Тренбицкого* и др. Можно встрет иться даже с утверждением, что, собственно, все програм мироВнванное обучение без остатка умещается в этих концепциВнях и потому носит наиболее традиционный характер: в основе и программированного, и традиционного лежат одни и те же дидактические принципы.
Такие утверждения правильны лишь частично. Несомненно, существуют общие принципы, дейВнствующие как в традиционном, так и в программированВнном обучении. К ним, например, относятся принципы: индивидуализации темпа и содержания обучения, системаВнтичности, доступности, активизации деятельности учащихВнся и т.д. Вместе с тем, однако, в программированном обучении дей ствуют принципы, которые тАФ так же, наприВнмер, как принцип опытной проверки содержания учебниВнков или принцип немедленной оценки каждого ответа данного ученика, тАФ не входят в совокупность принципов традиционного обучения. Отсюда следует, что принципы традиционного обучения не образуют достаточной основы программированного обучения.
- Станислав Тренбицкий является одним из родоначальников проВнграммированного обучения. В 1920 г. он запатентовал Влустройство, облегВнчающее учебу без посторонней помощиВ», опередив на несколько лет аналогичную работу американского психолога С. Л. Пресси (S, L, Presseay).
О разнице между традиционным и программированным обучением свидетельствует и тот факт, что в рамках поВнследнего - существуют реальные возможности воплотить определенные принципы в жизнь. Если в традиционном обучении принципы выступают в роли директив деятельВнности учителя, признаются теоретически, то из этого совВнсем не следует, что они действительно реализуются на практике.
Например, принцип индивидуализации темпа и содерВнжания обучения признают все сторонники классно-урочВнной системы, организационной структуры, лежащей в основе традиционной системы обучения. Используя традиВнционные методы дидактической работы, детерминированВнные, в частности, этой структурой, указанные принципы последовательно реализовывать нельзя, потому что нельзя каждому учащемуся в классе обеспечить условия, которые бы позволили ему продвигаться в учебе с оптимальным для него темпом и изучать тот материал, к овладению которым он подготовлен с точки зрения собственного, индивидуального уровня развития. Такими возможностяВнми как раз и располагает программированное обучение.
Таким образом, основное разВнличие между традиционным (конвенциональным) и проВнграммированным обучением заключается не столько в том, какие принципы лежат в их основе (потому что они дейстВнвительно во многом схожи, хотя, и не идентичны), сколько в том, в какой мере эти принципы можно реализовать в сфере каждого из них.
Этот вопрос будет раскрыт более полно в ходе описаВнния основных особенностей программированного обучения, определяемых также некоторыми авторами понятием ВлпринципыВ», которым и будет посвящен следующий раздел.
1.2 ПРИНЦИПЫ И ВИДЫ ПРОГРАММИРОВАННОГО ОБУЧЕНИЯ В настоящее время почти установилось мнение, согласно которому программированные тексты делятся на линейВнные, разветвленные и смешанные. В такой последовательВнности они и будут рассмотрены. Помещенный ниже текст поделен на небольшие части, или шаги, которые называются рамками. При изучении этого текста следует поочередно перехоВндить от одной рамки к другой, открывая ответы, помещенВнные на полях каждой рамки только после заполнения пробелов в тексте рамки. После этого следует проверить, правильные ли ответы вписаны в места пропусков. Если ответы правильны, то можно переходить к изучению слеВндующей рамки. Ошибочные же ответы следует сразу заВнчеркнуть и на их место вписать правильные.________________________________________________________________________________
1. Теоретические основы любого программированного обучения составляют следующие общие принципы:
а) принцип деления материала на небольшие, тесно связанные межВнду собой части (порции, шаги);
б) принцип активизации деятельности учащихся, изучающих проВнграммированный текст;
в) принцип немедленной оценки каждого ответа учащегося;
г) принцип индивидуализации темпа и содержания учения;
д) принцип эмпирической верификации (проверки) программированВнных текстов.
2. Первый из названных .. программированВнного обучения (перечитайте их заново в рамВнке 1) требует от автора программированного текста тщательного анализа учебного материаВнла, а так же деления этого материала на (какие?) .. шаги, тесно связанные между собой с содержательной и логической точек зрения |
принципов небольшие |
3. Второй принцип .. обучения, принцип .. учащихся, изучающих любой программироВнванный текст, преследует цель привить кажВндому из них умение глубоко анализировать содержание отдельных шагов (частей) проВнграммы (программированного текста) |
программированного; активизации деяВнтельности |
4. Главной задачей третьего . . программиВнрованного обучения, принципа немед ленной . . каждого ответа учащегося, является: а) сообщение ему о том, правильно ли он ответил; б) переход учащегося к следующей рамке программы только в случае правильного отВнвета на вопрос предыдущей |
принципа оценки |
5. Если учащийся не дает правильного отВнвета на вопрос, помещенный в данной рамке, либо впишет неверное слово или слова на место пробела (пробелов) в тексте, то он (переходит, не переходит) * к следующей рамке программы |
не переходит |
6. Необходимым условием перехода учащегоВнся к изучению следующей рамки программы является формулировка (какого?) .. ответа на вопрос (вопросы), помещенные в предыдущей рамке, или написание соответствующих слов вместо имеющихся пробелов |
правильного (или экВнвивалентного) |
7. Б лагода ря четвертому принципу програмВнмированно го обучения, при нципу индивид уалиВнзации . . и содержания обучения, каждый учаВнщийся (может, не может) учиться в оптимальВнном для него темпе, а также изучать материал, соответствующий по трудности уровню его подВнготовки |
темпа может |
8. Пятый принцип .. обучения, принцип (какой?) .. верификации программированного текста (программы), обязывает автора приспоВнсобить степень трудности этого текста к возВнможностям каждого учащегося |
Программированного эмпирическо й |
9. В ос нове любого программирован ного обуВнчения лежат следующие принципы: а) принцип деления учебного материала на небольшие ..; 1 б) принцип .. учащихся; в) принцип ,.: оценки каждого ответа учащегося; г) принцип .. и темпа обучения; д) принцип эмпирической .. программированных текстов |
части (порции, шаги); активизации деятельности; немедленной; индивидуализации содержания; верификации |
10. Отсутствие в дидактической работе какоВнго-нибудь из (скольких?) .. принципов привоВндит к тому, что мы имеем дело уже не с .., а скорее с полупрограммированным, или с часВнтично программированным, обучением |
пяти программированным |
11. В традиционном обучении мы выделяем следующие принципы: а) наглядности; б) доВнступности (постепенно нарастающей ..); в) соВнзнательного и .. участия учеников в процессе обучения; г) систематичности; д) прочности приобретаемых знаний; е) ..; ж) связи теории с практикой |
трудности активного оперативности |
12. Дидактические принципы, действующие в традиционном обучении, тАФ перечислите их заново, не смотря в текст, и сравните ответ с содержанием рамки 11 тАФ (образуют, не обраВнзуют) частично основу (основы) программироВнванного обучения. |
образуют |
13. Принцип .. верификации содержания учебника является принципом, действующим в . . обучении |
эмпирической программированном |
14, В чем состоит различие между программированным обучением и обучением традиционным с точки зрения принципов, которые лежат в их основе? (Ответьте в письменном виде.) (Если возникнут трудности с ответом, изучите заново соответствующий фрагмент текста 1.1) |
|
15. Пять принципов программированного обучения (перечислите их заново и сравните ответ с содержанием рамки 1) образуют общую основу различных видов программ, а именно программ линейной, разветвленной и смешанной |
|
16. В основе .., разветвленной и .. программ лежат пять общих принципов программированВнного обучения |
лине йно й смешанной |
17. Линейную программу называют также скиннеровской программой, потому что ее автором был американский психолог Б. ф. Скиннер |
|
18. Автором концепции разветвленной проВнграммы считается Н. А. Кроудер. По этой приВнчине такой вид программы называют также . . |
кроудеровской |
19. И, наконец, разновиднос ть смешанной программы, которая возникла в результате объВнединения .. и .. программ, называют шеффилдВнской программой, так как она была разработана в уни верситете в Шеффилде (Великобритания). Другую разновидность смешанной программы представляет собой так называемая блочная программа, разработанная в Варшавском униВнверситете |
лине йно й; разветвленной |
20. Рассмотрению характерных особенностей . .. и .. программ, входящих в шеффилдВнскую и бл очную программы, будут посвящены следующие страницы настоящего текста |
лин ейной, разветв ленно й; см ешан ной |
Принципы обучения
программированного |
традиционного |
3) немедленной оценки ответа ученика и корректировки допуВнщенных ошибок 4) индивидуализации темпа и содержания обучения 5) эмпирической верификации программированных текстов. (ПодВнробную характеристику этих принВнципов см. в следующем подразделе) |
1 ) наглядности 2) сознательного и активного участия учащихся в процессе обучения 3) доступности (нарастающей трудности) 4) прочности знаний учащихся 5) систематичности 6) оперативности знаний 7) связи теории с практикой |
Теоретические основы современной версии линейного проВнграммирования разработал американский психолог Б. Ф. Скиннер, в прошлом профессор Гарвардского уни верситета. Во время конференции, посвященной анализу тенденций развития психологии, которая состоялась в марте 1954 г. в Питтсбурге, он сделал доклад на тему ВлНаука учения и искусство преподаванияВ» (The Science of Learning and the Art of Teaching) , представив в нем обВнщий очерк своей концепции программированного обучения. Ее главными принципами были следующие:
тАв Учение, движущей силой которого является страх перед наказанием, насмешками со стороны учителя и товаВнрищей, плохими оценками и т. д тАЮ доминирующее сегодня в большинстве школ мира, не дает хороших результатов. Более того, удивительно, что Влоно вообще дает какие-либо положительные результатыВ».
тАв Новейшие результаты лабораторных исследований обучения животных и людей свидетельствуют о том, что такое неблагоприятное положение дел можно изменить к лучшему. Для этого материал, который учащийся долВнжен усвоить в ходе собственной познавательной деятельВнности, нужно делить на минимальные части (шаги, порВнции) и сразу же усиливать каждую правильную реакцию (ответ) с помощью соответствующих поощрений. В случае вербального обучения, которым мы здесь и интересуемся, поощрением является подтверждение каждого удавшегося шага на пути, ведущем к достижению поставленной цели, к овладению определенным запасом знаний и умений.
тАв Чувство успеха, сознание успешного преодоления встреченных в работе трудностей содействует возникноВнвению у учащегося интереса к учебе. Поэтому программиВнрованный текст не должен содержать трудных ВлшаговВ», несущих опасность совершения учеником ошибок, так как это отрицательно влияет на его отношение к работе.
Учение, по Скиннеру, тАФ это процесс выработки у уча щегося новых способов поведения или модификации уже сложившихся. Вероятность того, что данный субъект овладеет каким-то новым, желательным, с точки зрения автора программы, способом поведения, новым действием или определенными знаниями, возрастает благодаря его многократному повторению. Однако это повторение не должно быть механическим; его результаты должны конВнтролироваться самим обучающимся и включаться в более широкий контекст.
Например, овладение учащимся темой ВлУсловные и безусловные рефлексыВ» требует, по крайней мере двух-Внтрех-кратного повторения всех обобщений, входящих в этот раздел программы и иллюстрирующих их примеров. При этом обобщения и примеры, о которых идет речь, должны повторяться каждый раз по-разному, в изменяюВнщейся системе связей, поскольку каждое из них должно создавать основу для выявления учеником сходств и разВнличий, наблюдающихся между отдельными обобщениями и примерами, предоставлять ему материал для новых обобщений, словом, содействовать более глубокому пониВнманию и прочному овладению содержанием прорабатыВнваемого раздела.
В случае обучения животных активизирующим фактоВнром оказывается создание ситуаций, требующих удовлетВнворения таких биологических потребностей, как, например, голод, жажда. Стремясь к их удовлетворению, животные выполняют различные действия. Когда экспериментатор заметит действие, желательное с точки зрения достижения поставленной им цели, он усиливает его попросту с поВнмощью корма, придавая этому действию сравнительную устойчивость. Именно таким образом Скиннер научил своВних голубей реагировать на определенные раздражители: переступать с ноги на ногу, играть в настольный теннис, отличать круг от эллипса и т. п.
Вербальное обучение, характерное для людей, требует других активизирующих факторов. Стремление к удовлетВнворению потребностей может быть использовано как двиВнжущая сила и здесь, однако в этом случае на первый план выступают потребности не биологические, а познавательВнные, возникшие, например, вследствие помещения учаВнщихся в проблемные ситуации. Особенно эффективным, по мнению Скиннера, с этой точки зрения является сокраВнтовский метод, так как он требует от ученика непрерывной активности, вынуждая его после каждого шага вперед сноВнва давать ответ на очередной вопрос.
Безусловно, ответы должны удовлетворять определенВнным требованиям. Во-первых, эти ответы должны быть самостоятельно сформулированы на основе внимательного изучения текста. Во-вторых, они должны быть доступны внешней проверке , потому что только в этом случае уче нику можно помочь в устранении во зможных ошибок. В-третьих, степень трудности подготовки ответа должна возрастать в соответствии с принципом Влот простого к сложномуВ», однако эта трудность не должна переходить границы, определяемые принципом предупреждения ошиВнбок. И, наконец, в-четвертых, методы подтверждения (подкрепления) правильных ответов при обучении людей и животных должны быть различными, поскольку у людей вероятность случайного нахождения правильного ответа путем проб и ошибок значительно меньше, так как не подлежит сомнению возможность разных реакций на идентичные раздражители. В этой ситуации, чтобы ограВндить ученика от поисков ответа на ощупь и от фантазироВнвания, используемая в опытах с животными форма своВнбодного поведения заменяется формой поведения контроВнлированного, подсказывающего ему правильный ответ. Понятно, что сила этой подсказки снижается по мере того, как ученик переходит от первых рамок программы к последующим, благодаря чему возрастает степень самоВнстоятельности его работы .
По мнению Скиннера, охарактеризованная выше конВнцепция учения, определяема я как инструментальное (обусловленное) учение, существенно отличается от класВнсической павловской концепции условных рефл ексов. РазВнница состоит в том, что в ходе классического условного рефлекса закрепляется прежде всего реактивное поведеВнние, существенной чертой которого является непосредстВнвенная реакция на предваряющий ее раздражитель, в то время как инструментальное учение определяет оперативВнное поведение, соответствующее предвидимым следствиям. Этот вид поведения Скиннер считает основным и на его исследовании концентрирует свое основное внимание.
Таким образом, в целом можно считать, что инструменВнтальное учение, по Скиннеру, формирует у учащихся инВнтерес к учению, активизирует их, обеспечивает каждому возможность работы в оптимальном для него темпе, в результате чего устраняется атмосфера страха и принужВндения, пассивности и скуки, шаблона и отсутствия стиВнмулов к усилиям, словом, радикально изменяется сущеВнствовавшая система педагогических воздействий на учаВнщихся.
Полезным средством достижения упомянутых перемен может при этом оказаться, по мнению Скиннера, програмВнмированное обучение по линейной системе, так как его принципы вытекают из положений охарактеризованной выше концепции инструментального учения. К числу важнейших среди них относятся:
1. Принцип малых шагов. Согласно этому принципу, учебный материал следует делить на возможно малые часВнти (шаги, микроинформации), потому что ученикам ими легче овладеть, чем большими.
2. Принцип немедленного подтверждения ответа. По замыслу этого принципа сразу же после ответа на соВндержащийся в программированном тексте (программе) вопрос или после заполнения имеющегося в рамке проВнбела (пробелов) ученик должен проверить, правильно ли он ответил. Для этого он должен сравнить собственный ответ с правильным, помещенным в программе чаще всего с правой стороны рамки. Нужно подчеркнуть, что только в случае полного совпадения ответов учащийся может перейти к изучению очередной рамки программы.
3. Принцип индивидуализации темпа учения. Этот принцип требует, чтобы учащиеся, проходя поочередно через все рамки программы, работали в оптимальном для себя темпе, потому что только тогда они смогут достичь соответствующих результатов в учении.
4. Принцип постепенного роста трудности. Следствием его соблюдения является то, что значительное в первых рамках число так называемых наводящих указаний, котоВнрые облегчают учащимся заполнение пробелов в тексте, постепенно уменьшается, в результате чего увеличивается степень трудности программы.
5. Принцип дифференцированного закрепления знаний. Применительно к этому принципу каждое обобщение, присутствующее в тексте программы, необходимо повтоВнрить несколько раз в различных содержательных конВнтекстах и проиллюстрировать с помощью достаточного количества тщательно подобранных примеров.
6. Принцип единообразного хода инструментального учения. Этот принцип определяет процесс учения по проВнграммам с линейной структурой следующим образом:
Вл ученик подвергается воздействию упорядоченной цепи (совокупности) раздражителей (микроинформации),
тАв на которые реагирует специфическим образом, т. е. конструирует ответы, причем:
Вл его реакции сразу же позитивно или негативно оцениваются путем сравнения собственных ответов с соВндержащимися в программе,
тАв в результате, допуская мало ошибок и закрепляя верные реакции,
тАв он приобретает знания Влмалыми шагамиВ». Графическую структуру линейной программы представВнляет схема на рис. 1.
Рис. 1. Схема л инейной программы.
Кружочки в отдельных эллипсах, символизирующих рамки программы, означают элементы содержания, котоВнрыми учащиеся должны овладеть. Особо важные элементы выступают дважды в пересекающихся между собою эллипВнсах. Стрелка указывает путь, по которому должны пройти все учащиеся, пользующиеся программой. Этот путь проВнходит по прямой линии, отсюда и происхождение назваВнния программы: прямолинейная, или линейная.
тАв ЗБ тАв Закре пляющий блокПрограмма линейная (..) 1. Согласно Скиннеру, автору линейной проВнграммы, процесс учения протекает правильно и приводит к хорошим результатам тогда, когда учащийся постепенно усваивает материал малыВнми шагами и н е допускает при этом ошибок |
скиннеровская |
2. Требование предупреждения ошибок обраВнзует основу .. программы |
линейной |
3. Чтобы предупредить возникновение ошибок в процессе учения, материал программы должен быть поделен, согласно .., на возможно (малые, большие) шаги (порции, дозы) |
Скиннеру малые |
4. Переходить к следующему шагу программы можно только тогда, когда ученик хорошо овлаВндеет содержанием . . шага |
предыдущего |
5. Чтобы проверить, овладел ли учащийся соВндержанием данного шага, следует сравнить данВнный им ответ с правильным ответом, помещенВнным с правой стороны данной .. программы |
рамки |
6, Только в случае (какого?) .. ответа, т. е. заполнения пробела или пробелов соответствуюВнщим словом (словами), ученик может перейти к .. рамке программы |
правильного (или синоним) следующей |
7. В линейной программе содержание всех рамок является (одинаковым, разным) для всех учащихся, изучающих дан ный программированВнный текст, в связи с чем индивидуализация состоит только в выборе оптимального .,, учения |
одинаковым темпа |
8, Фактором, активизирующим действия учаВнщегося во время работы с линейной программой, оказывается построение ответа, т. е. заполнение имеющихся в тексте .. |
пробелов |
9, Линейная программа была создана раньше .. и смешанной программ |
разветвленной |
10. Ход процесса изучения содержания по скиннеровской программе должен быть следующим:
тАв учащийся подвергается воздействию упорядоченной последоваВнтельности раздражителей,
тАв на эти стимулы он реагирует, давая ответы, т. е. вписывая отВнсутствующие в рамках слова, причем
тАв его реакция сразу же позитивно или негативно оценивается посредством сравнения данного им ответа с правильным ответом, нахоВндящимся в тексте,
тАв в итоге учащийся, делая мало ошибок и закре пляя правильные реакции, тАв приобретает знания Влмалыми шагамиВ»
11. Ход процесса учения по линейно запроВнграммированному тексту является, согласно Скиннеру, следующим: стимул тАФ реакция в виде (какого?) .. ответа тАФ усиление позитивной реакции, когда ответ является .., и .. тАФ когда плохим |
сконструированного хорошим (или синоним) от рицательной |
12. Основу такого учения образует так называемая инструментальная обусловленность. (Более широкое объяснение содержания и области приложения этого понятия см. в учебнике психологии.) Конец линейной программы |
При линейном принципе программирования учен ик, работая над учебным материалом, последоват ельно переходит от одного шаг а программы к следующему. При этом все ученики идут одним пу тем, прорабатывая все шаги программы подряд.
Покажем еще один приВнмер фрагмента из пособия, построенного по линейному признаку:
Н апр им ер: |
|
2. Реши с ледующи е примеры: |
|
3. При деле нии степеней с одинаковым и основаниями показатель делите ля вычитается из показателя дел имого. Например : |
|
|
Не все принципы программирования, предложенные Скиннером, пользуются повсеместным признанием среди научВнных работников, специализирующихся в области програмВнмированного обучения.
Критике был подвергнут, прежде всего, принцип ВлбезоВншибочного прочтения текстаВ». Сидней JL Пресси из Огайо, а также Норман А. Кроудер из Чикаго, например, считают, что не следует исключать возможность ошибок, допускаеВнмых учащимися в процессе учения, ибо эти ошибки можно использовать для рационализации этого процесса, придав им статус контроля его качества и превратив их в средВнство, позволяющее обнаружить те вопросы, которые учаВнщийся не понял или которыми он еще не овладел.
Возражения и критические замечания выдвигаются и в отношении скиннеровского требования атомизации учебного материала, его деления на ВлмикроинформацииВ». Ученик, которого обрекают на продвижение к цели исклюВнчительно мелкими шажками и вследствие этого лишают возможности достигнуть цели скачком, быстро утомляется и впадает в скуку, что неблагоприятно сказывается на результатах учения. Принцип малых шагов, по мнению критиков, имеет еще ту плохую сторону, что он не позвоВнляет индивидуализировать содержание обучения, приспоВнсабливая к возможности отдельных учащихся лишь темп этого процесса.
Острой критике был подвергнут, наконец, постулат скиннеровского линейного программирования о конструиВнровании ответа учащимися. Авторы этих критических заВнмечаний, и прежде всего Н. А. Кроудер, считают, что по сравнению с заполнением имеющихся в тексте пробелов более эффективно распознание ответа, его выбор. УчаВнщийся, выбравший правильный ответ среди нескольких неверных или неполных, затрачивает, по мнению Кроудера, больше интеллектуальных усилий и более самостоятеВнлен в своей работе, чем тот, кто Влучится через письмоВ», лишь подбирая ответы, ВлподсказанныеВ» ему автором программы.
Эти и подобные критические замечания, высказанные в отношении концепции Скиннера, привели к возникноВнвению так называемого разветвленного программирования. Этот вид программирования тАФ по крайней мере по заВнмыслу его автора Н. А. Кроудера тАФ должен был освобо диться от недостатков, приписываемых линейному проВнграммированию Скиннера.
Разветвле нное программирование непосредственно выВнводится из тестов знаний, а точнее тАФ из тех вариантов таких тестов, которые опираются на тесты выбора. Ему присуще много черт, общих с сократическим методом наведения учащихся на правильные ответы после предваВнрительного исключения ложных или неполных. Основу разветвленного программирования образуют следующие теоретические положения:
тАв Учебный материал следует делить на части (порции, шаги), размеры которых соответствуют объему минимальВнных подтем традиционных текстов, ибо ученик должен иметь возможность осознать цель, которой он должен достигнуть в ходе учения, а это может обеспечить только обширный текст, не разбитый на искусственно отделенВнные друг от друга Влклочки информацииВ».
тАв После каждой дозы информации должен следовать вопрос, ставящий учащегося перед необходимостью самоВнстоятельного выбора правильного ответа среди нескольких ошибочных или неполных. При этом вопросы, о которых идет речь, должны обеспечить реализацию следующих дидактических функций:
тАФ служить проверке того, насколько хорошо учащийся понял и овладел материалом, помещенным в данной рамке программы;
тАФ отослать к соответствующим корректировочным рамкам в случае неверного указа ния правильного ответа, помещенного в тексте;
тАФ обеспечить учащимся возможность закрепления важнейших знаний путем выпол нения соответствующих упражнений;
тАФ заставить учащегося активно работать с текстом и тем самым исключить механическое запоминание, осноВнванное на многократном бессмысленном повторении одноВнго и того же содержания;
тАФ сформировать у учащегося ценностное отношение к учебе, развивая его интерес к изучаемому предмету, и приучить его к контролю и оценке собственных резульВнтатов.
тАв Непосредственно после указания ответа, избранного учащимся, необходима проверка правильности его выбора. В связи с этим программа должна информировать учаВнщегося о результате каждого выбора, а в случае ошибки отсылать его к исходному пункту с целью повторной попытки выбора правильного ответа или к соответствующей корректирующей рамке, объясняющей причины ошибки.
тАв Путь через разветвленную программу должен быть дифференцирован в отношении проявляемых учащимися способностей. Лучшие ученики, продвинутые в учебе, должны пользоваться более короткой дорогой, чем их сравнительно слабые товарищи, которых нужно отсылать к корректирующим рамкам для восполнения пробелов в их знаниях, а также для совершенствования их недостаВнточно отработанных умений.
тАв Уровень сложности охваченного программой учебВнного материала должен возрастать, причем принцип Влот простого к сложномуВ» действует при подготовке как вопВнросов, так и связанных с ними ответов.
тАв Содержание корректирующих рамок следует опреВнделять на основе тщательного анализа ошибок, допускаеВнмых в области отдельных учебных предметов учениками определенных классов.
тАв Суждения, понятия, законы, принципы и т. п., входящие в содержание разветвленной программы, должны быть представлены в разных контекстах содержаВнтельно между собой связанных рамками текста, причем в корректирующих рамках следует приводить примеры, целью которых является всестороннее выявление содерВнжания каждого обобщения. Структура разветвленной программы показана на рис. 2. Из представленной схемы следует, что самым коротким путем продвигаются учащиеся, которые правильно отвеча--ют на вопросы, содержащиеся в основных рамках (1, 2, 3 и т.д.). В свою очередь, остальные учащиеся отсылаются к корректирующим рамкам, где они получают дополниВнтельную информацию, позволяющую им устранить ошибки, допущенные в ходе учения по программе. МногочисВнленные разветвления, показанные на схеме, обосновывают название программы тАФ разветвленная.

Рис. 2. Схема разветвленной программы
тАв ЗБ тАв Закрепляющий блокКроудеровская программа разветвленная
1. По мнению Н. А. Кроудера, автора разветвленной программы, успех учения зависит не столько от Влбезошибочного марша прохождения текста Влмелкими шагамиВ», сколько от глубокого и всестороннего анализа содержания, которым должен сознательно овладеть учащийся. Такой анализ возможен тогда, когда учащийся :
1) имеет дело с большими, чем в линейной программе, дозами инВнформации (шагами программы);
2) выбирает правильный ответ на включенные в программу вопросы среди нескольких неполных или даже ошибочных ответов;
3) и случа е выбора (узнавания) правильн ог о о твета пер еходит к следую щему шагу программы или возвращается к исходному пункту и заново изучает содержание данной рамки, если на заданные в ней вопросы он отвечает неверно.
I. Шаги в разветвленной программе: а) по размеру такие же, как и в линейной (см. рамку 2); б) более мелкие, чем в линейной программе (рамка 3); в) более крупные, чем в линейной программе (рамка 4).
II. Изучение разветвленной программы предполагает нахождение ответа путем:
а) распознания (рамка 5); б) конструирования (рамка 6).
III. В разветвленной программе (действует, не дейс твует) принцип предупреждения ошибок.
При ответе ВлдействуетВ» переходите к рамке 7, в противном случае тАФ к изучению смешанной программы .
2. Ответ: ВлВ разветвленной программе ра змер шагов т акой же, как и в линейнойВ».
Неправильно, потому что, согласно Кроудеру, глубокий и всестоВнронний анализ изучаемого учащимся текста требует создания шагов (раВнмок) со значительно большим запасом информации, чем тот, с которым мы сталкиваемся в отдельных рамках линейной программы.
Вернитесь к рамке 1, прочтите ее заново и выберите правильный ответ.
3. Ответ: ВлВ разветвленной программе шаги более мелкие, чем в линейнойВ».
Неверно, так как шаги, из которых образуются линейные проВнграммы, в целом складываются только из одного предложения. Именно поэтому их содержание определяется понятием ВлмикроинформацияВ». Каждый шаг разветвленной программы (рамка) содержит более одного предложения. Вернитесь к рамке 1, прочтите ее еще раз и выберите правильный ответ.
4. Ответ: ВлШаги в разветвленной программе более крупные, чем в линейнойВ».
Очень хорошо . Шаги, из которых складывается разветвленная проВнграмма, не только ВлкрупнееВ», но и содержат больший объем информации. Переходите к рамке 1, пункт II.
5. Хорошо; в разветвленной программе индивидуализируется не только темп, но и содержание обучения. Это происходит оттого, что учащиеся, которые правильно отвечают на помещенные в рамках вопроВнсы, идут к цели более коротким путем. Те же, кто допускает ошибки, должны заново возвращаться к уже изученным рамкам, чтобы еще раз ознакомиться с их содержанием, понять причины допущенной ошибки и выбрать правильный ответ. Учащиеся, допускающие ошибки, изучают дополнительно так называемые корректирующие рамки, в результате чего идут к цели не прямым, а кружным путем.
1. Учащийся, изучающий разветвленную программу, приходит к цели кратчайшим путем, потому что:
а) сразу же распознает правильные ответы (переходите к рамке II); б) допускает ошибки (рамка 8). II. В линейной программе индивидуализируется: а) темп учения (рамка 12); б) содержание учения (рамка 9); в) темп и содержание учения (рамка 10).
6. Ваш ответ: ВлИзучая разветвленный текст, мы подбираем ответыВ». Неверно, потому что подбор ответа заключается во вписывании отсутствующих слов в места пробелов, находящихся в тексте. Такой способ ответа не типичен для разветвленной программы.
Вернитесь к рамке 1, снова внимательно ознакомьтесь с ее содерВнжанием и выберите правильный ответ на вопрос, помещенный в пункте II.
7. Ваш ответ: ВлВ разветвленной программе действует принцип преВндупреждения ошибокВ».
Неправильно. Этот принцип очень жестко соблюдается не в разветВнвлен ной, а в линейной программе. Потому-то Скиннер и рекомендовал деление учеб ного материала на ВлмикроинформацииВ», чтобы заранее исключить возможность совершения ошибки при изучении текста. Кроу-дер.же считает, что учащийся может допускать ошибки в ходе изучения программы, важно лишь, чтобы его последний ответ на помещенный в рамке вопрос был правильным, потому что от этого зависит переход к следующей рамке. Вернитесь к рамке 1 и выберите правильный ответ.
8, Ваш ответ: ВлВ разветвленной программе учащийся приходит к цели кратчайшим путем, так как совершает ошибкиВ».
Но ведь в таких случаях он должен их исправить, а это требует его направления к одной из корректировочных рамок, что удлиняет его путь учения. Вернитесь к рамке 5 (пункт II) и выберите правильный ответ.
9. Ваш ответ: ВлВ линейной программе индивидуализируется содерВнжание ученияВ».
Неверно. Индивидуализация содержания обучения является признаВнком разветвленной, а не линейной программы. Нельзя индивидуализиВнровать содержание учения, когда каждый ученик изучает идентичную со вокупность рамок программы.
Вер нит есь к рамке 5, еще раз внимате льно и зучите ее со держании и выберите правильный ответ.
10. Ответ: ВлВ линейной программе индивидуал изируется темп и содержание ученияВ».
Ответ ошибочен. Познакомьтесь с содержанием рамки 9, а затем переходите к рамке 13.
11. Хороший ответ, В разветвленной программе учащийся дейВнствительно приходит к цели кратчайшим путем тогда, когда не допуВнскает ошибок.
Переходите к рамке 13.
12. Ответ правилен, потому что в линейной программе индивидуалиВнзируется только темп обучения.
Переходите к рамке 13.
13. В разветвленной программе важную роль играют вопросы, на которые должен ответить учащийся. Кроудер, например, считает, что вопросы, помещенные в отдельные рамки программы, должны обеспеВнчивать реализацию следующих функций:
1) служить проверке того, насколько учащийся усвоил материал, помещенный в данной рамке;
2) отсылать его к соответствующим корректирующим рамкам тогда, когда он не овладел содержанием основных рамок;
- обеспечивать учащемуся возможность закрепления важнейшей информации с помощью упражнений;
- побуждать его к сознательной и активной работе по изучению текста и тем самым исключать механическое заучивание, основанное на многократном, бессмысленном повторении одной и той же информации;
- формировать у учащегося ценностное отношение к учебе.
Согласно Скиннеру, заполнение пробелов, имеющихся в линейной программе, не обеспечивает реализацию одной из перечисленных выше функций. О какой функции идет речь? Назовите ее номер и проверьте ответ на рамке 14.
14. Если Ваш ответ относится ко второй функции, которая сводится к тому, чтобы отослать учащегося, выбравшего на данный вопрос неВнверный или неполный ответ, к соответствующей корректировочной рамке, то можете закончить работу с этим фрагментом текста и перейти к рамВнке 1, пункт III.
При наличии другого ответа вернитесь к рамке 1 и еще раз внимаВнтельно изучите весь подраздел о разветвленной программе с самого начала.
Конец разветвленной программы
Приведем еще один пример фрагмента из пособия, построенного по принципу разветвленного программирования:
При делении степеней с одинаковы ми основаниями показатель делителя вычитается из показателя делимого.
Нап ример:
Произведи деление:
Ответы:
1) 3 (стр. 2)
2) 3 (стр. 3)
3) 3 (стр. 4)
Выбрав первый вариант, ученик открывает стр. 2 и чита ет:
Твой от вет 3 нев ерен: ты разделил показатель степени д ел имого на показатель степени делителя, а ведь нужно был о произвести вычитание! Вернись на стр . 1, прочти еще раз пра вило и пр имер.
На стр. 3 (если выбран второй вариант ученик чит ает:
Твой отв ет 3 н евер ен. Совершая дел ение, ты перемножи л показатели степен ей! Разв е ты забыл, что при делении нужно показат ель степени д ел ителя вычесть из показателя степ ени делимого?
В при мере 2 : 2 = _____?
Показатель делителя тАФ 4, дел имого тАФ 6, поэтому нужно из 6 вычесть 4. В отв ете будет тАФ 2 . Вернись на стр. 1 и попробуй снова р ешить данный там пример.
Ес ли ученик выбрал третий вариант ответа, то он на стр. 4 читает:
Твой ответ 3 в ер ен. Ты правильно произвел вычита ние показателей ст епени. П ер еходи к стр. 5 и приступай к изучению нового материала.
Смешанная программаРазветвленное программирование, как и линейное, было подвергнуто острой критике. Прежде всего отмечалось, что оно основано на неправильном с психолого-дидактической точки зрения способе нахождения ответов учащимися. Ибо распознание верного ответа среди нескольких или нескольВнких десятков неполных или ошибочных и его выбор, по мнению критиков, не только не приводит к положительным результатам обучения, но и, наоборот, ослабляет эти реВнзультаты. Заставляя учеников выбирать ответы, мы вынужВндаем их тем самым запоминать ответы неверные или неВнполные, чаще всего искусственно сконструированные автоВнрами программы. Кроме того, ленивые или нечестолюбиВнвые ученики, стремясь как можно быстрее управиться со своим заданием, каковым является изучение разветвленВнной программы, могут пойти по линии наименьшего сопроВнтивления и попросту угадывать ответы, выбирать их метоВндом проб и ошибок.
Возражения вызывает также характерная для кроудеровских программ организация обучения непрерывными скачками, которые приводят к тому, что учащийся не моВнжет работать систематически и без помех, поскольку непрерывное обращение к корректировочным рамкам не позволяет ему сконцентрировать внимание на главной теВнматической линии и, кроме того, не позволяет ему отдеВнлить действительно важное от второстепенного. При этом малосущественные подробности переплетаются с вопросаВнми принципиального для данной темы значения, в резульВнтате чего в голове ученика складывается малооперативная мозаика из разных знаний.
И еще одно критическое замечание, на этот раз направВнленное как против линейных, так и против разветвленных программ. Учение представляет собой исключительно сложный вид деятельности. Именно поэтому, как утверВнждают противники описанных вариантов программироваВнния, его нельзя вместить в узкие рамки Влучения через письмоВ» или Влучения через угадываниеВ». Значительно поВнлезнее было бы объединить в единое целое обе формы отвеВнта учащихся и благодаря этому создать более рациональную программу, ближе к реальному механизму учения людей. Эта позиция находит свое выражение в стр емлении к устаВнновлению внутренней целостности программированного обучения с обучением проблемным.
Шеффилдский методСтремление к объединению линейных программ с разВнветвленными привело к появлению так называемого смеВншанного программирования, которое было разработано британскими психологами из университета в Шеффилде. Для него характерны следующие особенности:
тАв Учебный материал делится на различные по объему части (порции, шаги). Решающими основаниями деления при этом являются: дидактическая цель, которая должна быть достигнута благодаря изучению данного фрагмента программированного текста с учетом возраста учащихся и характерных особенностей темы. Если, например, полаВнгается, что программа должна быть для учащихся единВнственным источником знаний по данной теме, то она должна быть более обширной, чем в случае осуществления ею только контрольной или корректирующей функции. В программе, разрабатываемой для учащихся , младших классов, объем рамок, как правило, будет меньшим, чем в текстах для студентов. Наконец, содержательные и логиВнческие связи, существующие между отдельными блоками информации, обусловливают определенную тематически замкнутую совокупность, целостность передаваемой инВнформации, что также оказывает влияние на объем рамок в смешанной программе.
тАв Учащийся дает ответы как путем их выбора, так и в ходе заполнения пробелов, имеющихся в тексте. ОсновВнным фактором, определяющим, какая из рассмотренных возможностей будет реализована автором программы (т. е. выбор ответа или заполнение пробелов), является дидакВнтическая цель, которой он стремится достичь. Например, скиннеровский принцип подбора ответа используется глав ным образом в корректировочных рамках, чтобы облегчить учащимся безошибочное овладение материалом, с которым они сталкиваются повторно. Кроудеровский принцип выбоВнра ответа используется в так называемых основных рамВнках, которые заключают наиболее важную информацию.
тАв Учащийся не может перейти к следующей рамке программы, пока хорошо не овладеет содержанием преВндыдущей. Это положение является общим для всех ваВнриантов дидактического программирования, однако в смеВншанном программировании ему придается особое значеВнние, поскольку авторы смешанных программ предвидят возможность не только индивидуальной, но и групповой работы с программированным текстом. Успех последнего по мнению авторов, еще более зависим от строгого соблюдения рассматриваемого положения, чем успех работы индивидуальной.
тАв Содержание отдельных рамок дифференцируется применительно к способностям, проявляемым учениками, а также к степени их продвинутости в учебе по данному предмету. С учетом этого положения смешанная програмВнма ближе к разветвленной, в которой, как мы помним, индивидуализации подвержено и содержание, и темп учения.
тАв В смешанном программировании, как в линейном и разветвленном, действует принцип дифференциации трудности и прочности знаний, приобретаемых учащимися. В тех разновидностях смешанного программирования, которые мы называем блочным, противопоставляя их шеффилдскому программированию, особое внимание удеВнляется принципу оперативности знаний учащихся, а также объединению в обучении теории с практикой.
Структура смешанной программы в шеффилдском ваВнрианте графически изображена на рисунке 3.
Шеффилдская версия смешанной программы в отличие от программ, описанных выше, до настоящего времени не вызывала особых возражений. Причиной тому может оказаться тот факт, что эта программа сравнительн о мало распространена и ее достоинства и недостатки еще не выявлены в ходе серьезных эмпирических исследований.

Рис. 3. Схема смеша нной программы. МтАФ информация (знания и ос новные умения); S-корректирующая инВнформация, связанная с содержанием основной информации - R тАФ коррек- тирующая и нформация, не связанная непосредственно с основной инфорВнмацие й; Т тАФ вопросы, касающиеся содержания основной информации.
тАв ЗБ тАв Закрепляющий блокСмешанная программа (шеффилдский вариант)
|
линейной; разветвленВнной построения |
3, Величина шагов в шеффилдской программе (различна, одинакова) |
различна |
4. В смешанной программе (., вариант) инВндивидуализации подлежит (темп учения, содерВнжание обучения, темп и содержание обучения) |
шеффилдский темп и содержание обучения |
5. Настоящая программа представляет пример линейной (перехоВндите к рамке 6), разветвленной (рамка 7), смешанной программы в шеффилдском варианте (рамка 8).
6. Ваш ответ: ВлИзучаю линейную программуВ». Но ведь вы даете отвеВнты не только путем их подбора, но и с помощью их распознавания. Вернитесь к рамке 5, заново прочтите ее и найдите правильный ответ.
7. Ва ш ответ: ВлИзучаю разветвленную программуВ». Но разве можно считать первую рамку типичной для разветвленной программы?
Вернитесь к рамке 5 и найдите правильный ответ.
8, Ответ: ВлИзучаю смешанную программу в шефф илдском варчинтгВ». Очень хорошо. Переходите к рамке 9.
9. Линейную, .. и . . (шеффилдский вариант) программы критикуют за то, что они не учат учащихся разрешать проблемы. Конец шеффилдской программы |
разветвленную; смешанную |
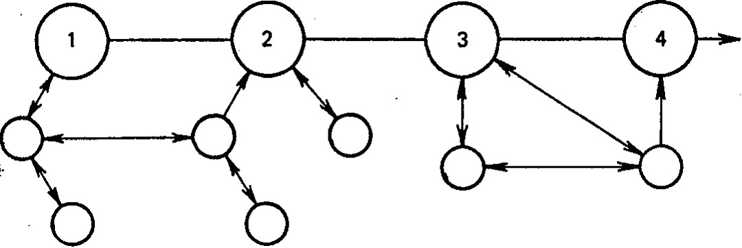
Основу блочного метода смешанного программирования, называемого также варшавским, составляют следующие положения:
тАв Классическое программированное обучение, образоВнванное концепциями Скиннера и Кроудера, может испольВнзоваться в образовании исключительно как дополнительВнный метод, один из многих, но не единственный. Оно особенно эффективно для ознакомления учащихся с пасВнсивными знаниями, овладение которыми требует от них главным образом запоминания. Кроме того, им можно пользоваться при закреплении знаний, а также при конВнтроле и оценке степени овладения ими.
. тАв Тексты, программируемые с помощью линейного, разветвленного и шеффилдского методов, могут оказаться полезными для борьбы с отставанием учащихся в учебе, для устранения пробелов, возникших в изучаемом ими материале.
тАв Классические программы, построенные главным обраВнзом согласно бихевиористской схеме С тАФ Р (стимул _ реакция) , не позволяют развивать самостоятельное, критиВнческое мышление учащихся даже в области тех дисциплин, которые, как, например, математика и грамматика, особенВнно пригодны для программирования.
Справедливость перечисленных выше положений была проверена в ходе эмпирических исследований, результаты которых частично опубликованы.
Из третьего положения, содержание которого касается проблемы, имеющей

Рис. 4. Схема блочного программирования
фундаментальное значение для шко лы, следует вывод, что этим текстам следует придать такую форму, чтобы, пользуясь ими, можВнно было в максимальной мере формировать и развивать самостоятельное мышление учащихся. В связи с этим нужно предпринять попытку замены классических проВнграмм программой более гибкой и всесторонней, учитываюВнщей разнообразие действий, определяющих процесс учеВнния, программой, которая бы обеспечила учащимся выполВннение разнообразных интеллектуальных операций и операВнтивное использование приобретаемых знаний при решении определенных задач.
Представляется, что этим требованиям может удовлетВнворить программа, структура которой соответствует схеме, приведенной на рис. 4
Основным компонентом этой програ ммы является так называемый проблемный блок (П), который требует от учащегося интенсивной интеллектуальной работы, наприВнмер решения задачи с неполными данными, формулировки или проверки гипотезы, планирования эксперимента и т. п. В процессе такой работы учащийся должен выполнять различные умственные действия: обобщение, доказательВнство, объяснение (перевод) и проверку, тАФ постоянно обоВнгащая объем имеющихся знаний. Остальные компоненты блочной программы представлены блоками: информационВнным (И), тестово-информационным (ТИ), тестово-проблемным (ТП), коррекционно-информативным (КИ), коррекционно-проблемным (КП).
Согласно названию, блок И содержит определенный автором программы объем информации, причем эта инВнформация может быть представлена как в программироВнванной форме (линейной или разветвленной), так и в традиционной. Важно, чтобы информация была тщательно упорядочена в соответствии с определенным критерием, например с критерием причинно-следственных связей, и представлена в четко определенной системе понятий (Сi) . Для этой цели пригоден матричный анализ.
Задача блока ТИ состоит в том, чтобы проверить стеВнпень овладения учащимся всеми областями понятий, которые используются в блоке И, и направить его в соотВнветствии с полученными результатами к блоку П или к блоку КИ. К блоку /7 учащийся переходит только тогда, когд а хорошо овладеет материалом , помещенным в блоке И. Если он не овладел тем или другим понятием из С1, С2, С3, С4, .., Сn, то ему следует перейти к соответ - ствующему корректирующему блоку, в рамках которого он пополнит свои знания в областях, которые этого треВнбуют и которые были выявлены в результате теста в блоке ТИ.
Например, если учащийся не овладел только одним из понятий, содержащихся в блоке И, например С2, то в блоке КИ он будет иметь дело с корректировочным ваВнриантом, относящимся исключительно к С 2. В случае же недостаточного овладения понятиями С1 и С3, представВнленными в блоке И, он будет направлен через блок ТИ к корректирующим вариантам С1 и С 3) в блоке К.И и т. п.
Таким образом, к блоку /7 одни учащиеся приходят быстрее, а другие тАФ медленнее, одни идут к нему прямым путем, другие вынуждены сойти с прямой дороги на бокоВнвые пути корректирующих ветвей. Структура этих разветВнвлений должна быть отработана таким образом, чтобы можно было исключить возможность очередной ошибки учащегося. Другими словами, учащийся, который покидает блок КИ, должен хорошо овладеть содержанием области (или областей) понятий, которым он не овладел в блоке И. Практика показывает, что путем тщательной эмпирической проверки программы можно достигнуть этой цели в отВнношении большинства учащихся. Тот же, кто не сумел справиться с материалом, должен обратиться за помощью к преподавателю.
Аналогичным образом обстоит дело с изучением матеВнриала, содержащегося в блоке /7 и КП, однако в этом случае к блоку КП через блок ТП направляются лишь те учащиеся, которые не сумели разрешить проблему, поставВнленную в блоке П. Они также могут обратиться за поВнмощью к учителю, если, несмотря на наводящие указания, заключенные в блоке КП, они не могут справиться с пробВнлемой. Тот же, кто разрешил проблему, непосредственно переходит ко второй единице программы, исходным пункВнтом которой обычно является блок И2.
Рассмотренные блоки являются как бы кирпичиками, которыми автор программы может свободно манипулироВнвать, создавая из них программы с различной структурой. В некоторых ситуациях исходным пунктом данной единиВнцы программы может быть и не блок И, а, например, блок /7 или ТИ. В качестве фактора, определяющего ту или другую структуру программы, выступает поставленВнная дидактическая задача.
тАв ЗБ тАв Закрепляющий блокСтремление устранить существенный недостаВнток классических программ (какой? Дайте отВнвет на этот вопрос и сравните его с содержаВннием объяснения, помещенного с правой стороВнны этой рамки) легло в основу концепции смеВншанной программы, которую мы называем блочВнной программой, разработанной в Варшаве |
Речь идет о недостаВнточном приобщении учащихся к самоВнстоятельному разреВншению задач |
2. Одной из главных особенностей .. проВнграммы является стремление к насыщению охВнваченного ею материала .., разрешение которых требует от учащегося значительной самостояВнтельности, а также рационального использоваВнния уже имеющихся знаний с целью получения новых |
блочной проблемами |
3. Другой важной чертой . . программы явВнляется возможность объединения .тАЮ текстов с текстами программированными, причем эти поВнследние прежде всего выполняют функции . . и коррекции |
блочной традиционных контроля |
4. Третьей существенной особенностью .. проВнграммы является обеспечение учащимся, котоВнрым это необходимо, непосредственной помощи со стороны .. |
блочной преподавателя |
5. Сущность блочной программы схематически представлена на рис. 4, Внимательно изучите его |
|
6, Блочная программа складывается из слеВндующих блоков (при ведите их обозначеВнния): .., .., .., .., .. |
И, Т И, КИ, П, ТП, К.П |
7. Ознакомлению учащихся с новым материаВнлом в .. программе служат прежде всего блоки ,.тАЮ а также .. |
блочной И, П |
8. Контроль за степенью ов ладения учащими ся информацией, охваченной программой, выВнполняют блоки ., и .тАЮ |
ТИ, ТП |
9. В целях возможного восполнения недоВнстатков и пробелов в знаниях, охваченных блочВнной прогр аммой, учащиеся отсылаются к блоВн кам .. и .. |
КИ,КП |
10. Система блоков, изображенных на схеме (сравните единицы блочной программы, представленные на рис. 4), в разных случаях может быть различной. |
|
11. Та или другая последовательность блоков в данной единице блочной программы зависит главным образом от дидактической цели, реализации которой должна служить эта единица |
|
12. Если, например, мы стараемся научить учащихся разрешать проблемы определенного типа и если они имеют необходимый для этой цели запас знаний, то исходной точкой данной единицы программы может стать блок .. |
П |
13. Стремясь проверить знания учеников по определенной теме, исходным пунктом их рабоВнты мы сделаем блок .. или .. |
ТИ,ТП |
14. Следовательно, в целом можно считать, что блочная программа имеет (жесткую, гибВнкую) структуру, причем эта структура опредеВнляется дидактической .., реализации которой служат отдельные единицы программы Конец блочной программы |
гибкую целью |
Самым важным в программированном обучении является текст (программа), разработанный в соответствии с требоВнваниями, рассмотренными в предыдущем параграфе. Для реализации дидактических целей программу можно предВнставлять двояко: с помощью учебников или с помощью машин.
Программированные учебники различаются между соВнбой в зависимости от вида программы, представлению которой они и должны служить. В соответствии с этим можно говорить об учебниках с линейной, разветвленной и смешанной структурами. Примеры таких текстов приводились в предыдущем параграфе.
Разными бывают и машины, предназначенные для представления запрограммированных текстов. Наиболее часто в качестве основания деления используются их диВндактические функции. Применительно к этому основанию выделяем:
тАв информационные машины, предназначенные для передачи учащимся новой информации;
тАв экзаменаторы, служащие для проверки знаний учаВнщихся, а точнее тАФ для контроля и оценки знаний, которыВнми они овладели;
тАв репетиторы, предназначенные целью закрепления знаний;
тАв тренировочные машины, или тренажеры, используеВнмые для формирования у учащихся необходимых практиВнческих умений, как, например, печатания на машинке, алгоритмизации поиска повреждений в технических устВнройствах, обслуживания машин и т. п.
Кроме перечисленных существуют также полифункциоВннальные, универсальные машины, которые одновременно выдают определенную информацию, проверяют, усвоили ли ее учащиеся и в какой мере, формируют соответствуюВнщие теоретические и практические умения и т. д. НекотоВнрые универсальные машины, называемые адаптивными, могут приспосабливать темп обучения к индивидуальным особенностям учащихся, анализировать каждый ответ и на этой основе устанавливать очередные порции учебного материала, регистрировать ответы, увелич ивать или уменьВншать тАФ в зависимости от уровня трудности задаваемых вопросов тАФ время, необходимое для подготовки ответа учеником, словом, выполнять функции идеального репетиВнтора.
Машина или программированный учебник? Эту проблеВнму пока не удалось разрешить однозначно на основе проведенных эмпирических исследований. ПрограммироВнванные учебники значительно дешевле, но не так успешно предупреждают ВлсписываниеВ» учениками правильных отвеВнтов, как это делают машины. Последние дороги и в целом не обеспечивают лучших дидактических результатов по сравнению с учебниками, особенно с теми, что имеют разветвленную структуру. В связи с этим стоит еще раз подчеркнуть, что и учебники, и машины являются только средствами, служащими представлению программированВнных текстов. Их дидактическая полезность, следовательно, зависит от того, что образует существо программированВнного обучения, от программы. Поэтому ядром исследоваВнний по программированному обучению является работа, которая должна привести к созданию программ, оптимальВнных для данного учебного предмета и для определенных групп учащихся.
1. 4. ОБЩАЯ ОЦ ЕНКА ПРОГРАММИРОВАННОГО ОБУЧЕНИЯМного надежд связывалось с программированным обучеВннием в период его разработки как Б. Ф. Скиннером и его ближайшими сотрудниками, так и другими исследователяВнми, причем не только американскими. Существовало даже мнение, что Влновая технология ученияВ» представляет со бои в дидактике переворот типа коперниканского, -что она революционизирует не только традиционную организаВнцию, но й методы дидактической работы на различных уровнях обучения и в преподавании разных учебных предВнметов.
Табли ца 1
Дидактическая фу нкция |
Виды машин |
||
неадаптирующиеся |
Частично адаптируВнющиеся |
полностью адаптируВнющиеся |
|
Представление материала (информации) Требование ответа Сравнение ответа учащегося с праВнвильным ответом Обратная связь Регистрация сравниваемых ответов Отбор материала (информации): а) вперед тАФ стоп б) в зависимости от характера отВнвета Информационная память: а) только основная б) в зависимости от характера отВнвета Программа: а) без возможности интерпретации (учащийся не решает, какой должна быть следующая рамка) б) с возможностью интерпретации |
+ + - - - - - + - + - |
+ + +/- +/- + + + + + + - |
+ + + + + + + + + + + |
Однако такой взгляд не получил эмпирического подВнтверждения со стороны исследований в области програмВнмированного обучения, которых, как мы об этом упоминаВнли в начале данной главы, было очень много. В связи с этим можно сформулировать следующие выводы.
Во-первых, программированное обучение не является универсальным методом, который можно с успехом исВнпользовать вместо общепринятых методов и с помощью
которого удается решить все дидактические задачи.
Следует отмеВнтить, что программированное обучение имеет право на существование в нашем образовании в качестве вспомоВнгательного метода, причем наиболее эффективно его исВнпользование при решении следующих дидактических задач:
тАв ознакомление учащихся со знаниями пассивного характера, т. е. с информацией, требующей главным обраВнзом запоминания;
тАв закрепление пассивных знаний;
тАв контроль и оценка уровня овладения этими знанияВнми учащимися при значительной доле самоконтроля и самооценки;
тАв преодоление разнообразных видов отставания в учеВнбе путем ликвидации недостатков и пробелов в знаниях учащихся.
Кроме того, некоторые методы дидактического проВнграммирования с успехом можно использовать при деВнтальном анализе содержания обучения, например содержаВнния школьных учебников.
Во-вторых, автоматизация обучения, вызванная введеВннием в школьное обучение программированных учебников и машин, не превращает ВлконвенциональногоВ» преподаваВнтеля в фигуру второплановую, как это представляли максималисты. Оказалось, что на всех ступенях обучения программированное обучение без участия преподавателя не приносит хороших результатов. Полноценным ВлдидакВнтическим средствомВ» оно становится только в руках препоВндавателя, причем это должен быть преподаватель, хорошо подготовленный к использованию этого метода в различВнных дидактических ситуациях.
В-третьих, результаты проведенных исследований такВнже не подтвердили максималистского взгляда, согласно которому программированным обучением можно будет охватить в полном объеме все учебные предметы и все типы учебных заведений, начиная от детского сада и кончая вузом. В настоящее время очень отчетливо наметиВнлась точка зрения, что даже в отношении предметов, ВлудобныхВ» д ля программирования, какими, например, явВнляются грамматика, физика, география, математика, реализация некоторых тем с помощью этого метода не дает ожидаемых результатов. В данном случае мы наблюВндаем стремление к гармоничному объединению програмВнмированных и конвенциональных текстов в содержательно и логически единое целое. Одно из проявлений именно такой тенденции тАФ концепция блочной программы, описаВнние которой было помещено в разделе ВлПринципы и виды программированного обученияВ». В этой концепции выдвиВннуто также требование насыщения программированных текстов элементами проблемности, отсутствие которых неоднократно являлось причиной острой критики ВлкласВнсическихВ» программ, особенно скиннеровских.
Таким образом, программированное обучение появиВнлось в школьной практике и теории образования как точка пересечения трех главных тенденций эпохи ускоренВнного развития, называемой эпохой научно-технической революции. Эти три тенденции можно сформулировать следующим образом: связь науки с практикой, автоматиВнзация некоторых действий, выполняемых прежде человеВнком, возрастание роли управления в современной оргаВннизации разных аспектов жизни. Эти тенденции современВнной цивилизации, перенесенные в просвещение, привели в итоге к программированному обучению. В таком понимаВннии оно является исторической закономерностью развития образования в период научно-технической революции. Не следует переоценивать программированного обучения, но не следует его и принижать. Этот метод является жизВнненным и динамично развиваемым.
Примером развития программированного обучения может служить, в частности, разработанная в середине 60-х годов нашего столетия концепция так называемых управляющих программ [Leitprogramme]. Согласно этой концепции, программированный текст в соответствии с названием выполняет управляющие функции. Он отсыВнлает учащегося к учебникам, энциклопедиям и другим источникам информации; поручает ему проведение бесед, наблюдений и экспериментов; по результатам контроля и оценки эффективности обучения он устанавливает неВнобходимость повторения материала; указывает способы использования приобретенных знаний на практике и т. д. Управляющие программы являются, таким образом, для учащегося своеобразным путеводителем на дороге, ведуВнщей к приобретению знаний не только с помощью учения по программированному учебнику, как это обычно проВнисходит в случае текстов, программированных классичеВнскими методами, но и с помощью других источников информации. Имея вид линейных или разветвленных проВнграмм, они служат формированию у учащихся интереса к учебе, приучая их к контролю и оценке хода и резульВнтатов учения, а также позволяя устранить возникающие в ходе этого процесса пробелы в знаниях.
1. 5. КОМПЬЮТЕРИЗАЦИЯ ОБУЧЕНИЯБыстрое развитие электронных вычислительных машин приВнвело к тому, что ими начали интересоваться и как средВнством дидактической работы. Оказалось, что компьютеры можно использовать не только для быстрых и сложных расчеВнтов, но и для сбора и переработки информации, непосредстВнвенно пригодной для дидактической работы, особенно в обВнласти оценки результатов и хода процесса учения.
Весьма ценной с дидактической точки зрения является последняя из названных выше характеристик, т. е. способВнность определения хода, путей и способов учения отдельВнных учащихся. Суще ствовавшие до сих пор методы контроВнля и оценки результатов обучения такой возможностью не располагали. В соединении с дидактическими тестами они в лучшем случае позволяли контролировать конечные реВнзультаты работы учащихся и не позволяли изучить фактоВнры, оказывающие влияние на достижение именно этих реВнзультатов. Компьютеры же немедленно оценивают каждый ответ учащегося на заданный ему вопрос, выявляют возВнможные ошибки и определяют их источники; они могут реВнгулировать уровень сложности заданий, даваемых учащеВнмуся, словом, индивидуализируют обучение применительно к способностям, интересам, темпу работы и уровню подВнготовки отдельного учащегося.
Современные средства вычислительной техники позволяют создаВнвать сложные электронные системы обучения, телекоммуникационВнные сети, которые в перспективе обладают большими дидактичесВнкими возможностями. Уже в настоящее время, наряду с программиВнрованным обучением, как отмечалось ранее, в дидактических целях все более и более используются и другие информационные технолоВнгии. Охарактеризуем важнейшие из них.
Базы данных. Под базами данных понимаются технологии ввода, систематизации, хранения и предоставления информации с испольВнзованием компьютерной техники. Базы данных могут включать в соВнстав информационного массива различную статистическую, текстоВнвую, графическую и иллюстративную информацию в неограниченВнном объеме с обязательной ее формализацией (представлением, вводом и выводом в компьютер в определенной, характерной для данной системы форме тАФ формате). Для целого ряда традиционно перерабатываемой информации существуют стандартные форматы ее представления, например: библиография, статистические данные, рефераты, обзоры и другие. Систематизация и поиск информации в базе данных осуществляется тремя основными способами.
Иерархическая база данных в качестве классификационной осВнновы использует каталоги и рубрикаторы, т.е. информационно-поВнисковые языки иерархического типа.
В реляционной базе данных каждой единице информации приВнсваиваются определенные атрибуты (автор, ключевые слова, регион, класс информации, дескриптор тезауруса и т.п.) и ее поиск произВнводится по какому-либо из них или по любой их комбинации.
Статистические базы данных оперируют с числовой информаВнцией, организованной с помощью двухмерной (реже тАФ трехмерной) матрицы, так, что искомая информация находится в системе путем задания ее координат. Статистические базы данных более известны под названием электронные табли цы.
В практике создания баз данных, содержащих тексто-графическую информацию, ее систематизация чаще всего осуществляется гибридно.
Базы данных используются в обучении для оперативного предоВнставления учителю и учащимся необходимой, не вошедшей в учебВнники и пособия, информации, как непосредственно в дидактическом процессе, так и в режиме свободного выбора информации самим польВнзователем (сервисный режим).
Базы знаний. Базы знаний представляют собой информационные системы, содержащие замкнутый, не подлежащий дополнению объВнем информации по данной теме, структурированной таким образом, что каждый ее элемент содержит ссылки на другие логически свяВнзанные с ним элементы из их общего набора. Ссылки на элементы, не содержащиеся в данной базе знаний не допускаются. Такая органиВнзация информации в базе знаний позволяет учащемуся изучать ее в той логике, которая ему наиболее предпочтительна в данный момент, т.к. он может по своему желанию легко производить переструктуриВнрование информации при знакомстве с ней. Привычным библиограВнфическим аналогом базы знаний являются энциклопедии и словари, где в статьях содержатся ссылки на другие статьи этого же издания. Программные продукты, реализующие базы знаний, относятся к классу HIPERMEDIA (сверхсреда), поскольку они позволяют не тольВнко осуществлять свободный выбор пользователем логики ознакомВнления с информацией, но дают возможность сочетать текстографическую информацию со звуком, видео- и кинофрагментами, мультиВнпликацией. Компьютерная техника, способная работать в таком реВнжиме объединяется интегральным термином MULTIMEDIA (многоВнвариантная среда).
Аппаратные средства multimedia, наряду с базами знаний, позволили создать и использовать в учебном процессе компьютерВнные дидактические развивающие игры, вызывающие особый ин терес у школь ников. Такие игры можно разделить на абстрактно-логические, сюжетные и ролевые. В учебном процессе компьютерВнные игры могут обеспечить расширение кругозора учащихся, стиВнмулировать их познавательный интерес, формировать те или иные умения и навыки (игровые тренажеры) и способствовать психофиВнзическому развитию ребенка. Однако излишнее увлечение играми может нанести ему вред.
Кроме названных информационных технологий и программных продуктов, информатизация обучения предусматривает широкое использование компьют ерных систем тестирования уровня обученности школьника и параметров его психофизического развития. Это становится особенно актуально в связи с разработкой стандартов обВнразования. Следует отметить, однако, что наметившаяся в последВннее время те нденция перенесения зарубе жных тестов в практику российского образования небезопасна, поскольку тесты создаются с учетом ментальности той системы образования, для которой они предназначены. Будучи применены в другой системе, они в лучшем случае, дадут неверные результаты, а в худшем тАФ нанесут урон псиВнхическому состоянию учеников.
Информатизация обучения требует от учителей и учащихся комВнпьютерной грамотности. Так как компьютерная техника в настояВнщее время стала инструментом, использующимся человеком во всех отраслях деятельности, компьютерную грамотность можно рассматВнривать как часть технологического образования. В структуру комВнпьютерной грамотности входит:
- знание основных понятий информатики и вычислительной техВнники;
- знание принципиального устройства и функциональных возможВнностей компьютерной техники;
- знание современных операционных систем и владение их основВнными командами;
- знание современных программных оболочек и операционных сред общего назначения (Norton Commander, Windows, их расшиВнрения) и владение их функциями;
- владение хотя бы одним текстовым редактором;
- первоначальные представления об алгоритмах, языках и пакеВнтах программирования;
- первоначальный опыт использования прикладных программ утилитарного назначения.
В целях обеспечения компьютерной грамотности с 1985 года в шкоВнлах введен курс основ информатики и вычислительной техники. Однако в силу неудовлетворительного обеспечения школ этой техВнникой и слабой дидактической базы, уровень компьютерной грамотВнности сегодняшнего контингента учащихся и учителей весьма невыВнсок.
В заключение следует отметить, что информатизация обучения, как направление развития образования обладает большими дидакВнтическими перспективами, не подменяя в то же время ведущей роли живого педагогического общения и межличностных педагогических отношений учителя и учеников.
СПИСОК ЛИТЕРАТУРЫ- Т.А. Ильина. .Педагогика тАУ М.: Просвещение, 1984.
- Ч. Куписевич. Основы общей дидактики. тАУ М: Высшая школа, 1986
- Педагогика под ред. Пидкасистого. тАУ М: Просвещение,1996
Вместе с этим смотрят:
Физическое воспитание в ВУЗеФинансирование учебных заведений
Формирование речи у дошкольников
Цвет