Расчет и конструирование железобетонных
Министерство строительства РФ
КАЗАНСКИЙ СТРОИТЕЛЬНЫЙ КОЛЛЕДЖ
Специальность 2902
Предмет: “Основы расчета
строительных конструкций”
ПОЯСНИТЕЛЬНАЯ ЗАПИСКА
к курсовому проекту
Тема: “Расчет и конструирование железобетонных
конструкций”
Выполнил студент
Защищен
с оценкой
Руководитель проекта
СОДЕРЖАНИЕ лист
1.Введение
2.Схема перекрытия
3.Расчет и конструирование плит перекрытий
3.1.Исходные данные
3.2.Статический расчет
3.3.Расчет прочности по нормальным сечениям
3.4.Расчет прочности по наклонным сечениям
3.5.Конструирование плит
4.Расчет и конструирование колонны
4.1.Исходные данные
4.2.Нагрузка на колонну
4.3.Определение размеров сечения колонны и расчет рабочей арматуры
4.4Конструирование колонны
5.Расчет и конструирование фундамента
5.1.Исходные данные
5.2.Определение размеров подошвы и высоты фундамента
5.3.Расчет рабочей арматуры
5.4.Конструирование фундамента
6.Литература
ЗАДАНИЕ
для курсового проектирования по железобетонным конструкциям студента группы КС-32 Казанского строительного колледжа
г. Горькова Н.В.
Тема задания: “Проектирование сборных железобетонных
элементов много этажного здания с
неполным железобетонным каркасом”
Расчету и конструированию подлежат:
1.Плита перекрытия с круглыми пустотами
2.Колонна среднего ряда первого этажа
3.Фундамент под среднюю колонну
Данные для проектирования
1.Назначение здания тАУ магазин
2.Шаг колонн a, м - 6
3.Пролет L, м тАУ 6
4.Количество этажей тАУ 3
5.Высота этажа H, м тАУ 4,2
6.Район строительства тАУ Тула
7.Плотность утеплителя ρ, кг/м3тАУ 8
8.Толщина слоя утеплителя δ, мм тАУ 180
9.Глубина заложения фундамента h, м тАУ 1,6
10.Условное расчетное давление на основание R0, МПа тАУ 260
11.Тип пола тАУIV
12.Номинальная ширина плиты в осях Вн, м тАУ 1,2
13.Класс бетона для плиты перекрытия - В30
14.Класс напрягаемой арматуры в плите тАУ А-V
Конструкции работают в среде с нормальной влажностью. Вид утеплителя принять самостоятельно в соответствии с заданной плотностью и толщиной слоя.
Дата выдачи ____________________
Дата окончания _________________ Преподаватель ______________
1.ВВЕДЕНИЕ
2.СХЕМА ПЕРЕКРЫТИЯ
2.1. Общее решение
В соответствии с заданием ограждающими конструкциями здания являются кирпичные самонесущие стены, поэтому несущие конструкции будут представлять собой сборное балочное перекрытие с полным железобетонным каркасом.
Принимаем сетку колонн 6х6м. Тогда здание будет иметь в поперечном направлении три пролета по 6м и в продольном направлении семь пролетов по 6м. Ригели располагают поперек здания. В продольном направлении по ригелям укладывают плиты перекрытия. Ширина рядовых плит тАУ 1,8м, межколонных тАУ 2,4м. При трех полетах по 6м в одном ряду располагают две межколонные плиты с усиленными продольными ребрами и шесть рядовых плит. Межколонные плиты соединяют друг с другом стальными полосовыми связями на сварке и, кроме того, приваривают к колоннам. Рядовые плиты укладывают свободно на полки ригелей, которые имеют подрезку по торцам. У продольных стен укладывают сплошные беспустотные доборные плиты шириной 1,2м, толщиной 220мм.
Привязку поперечных и продольных стен см. рис.1
Схема раскладки плит перекрытия и маркировка элементов перекрытия показаны на рис. 1, 2.
Рис.1.Схема расположения плит
Рис.2.Поперечный разрез здания
3.РАiЕТ И КОНСТРУИРОВАНИЕ ПЛИТЫ
3.1.Исходные данные
Необходимо рассчитать по первой группе предельных состояний многопустотную плиту перекрытия с круглыми отверстиями. Плита шириной (номинальная) Вн=1,2м и высотой ИИ-04. Вес 1м2 плиты равен 2,6кн/м2.
Рис.3.Поперечное сечение плиты
Материал:
Бетон класса В30.
Расчетное сопротивление бетона с учетом коэффициента условий работы γв2=0,9
Сжатию тАУRвγв2=15,3МПа
Растяжению - Rвtγв2=1,08МПа
Передаточная прочность бетона при обжатии тАУRвр=0,8В=0,8 30=24МПа
Арматура класса А-V - табл.3.2.,3.4.[Л-6.1]. Натяжение арматуры проводят на упоры механическим способом.
Нормативное сопротивление арматуры R=785МПа
Расчетное сопротивление арматуры R=680МПа
Начальное предварительное напряжение, передаваемое на поддон:
σ0=0,8 R=0,8 785=628МПа
Проверяем условие СНиП 2.03.01-84 при напряжении арматуры на упоры:
σ0+р<R=628+31,4~660МПа<785МПа
=0,05σ0=0,05 628=31,4МПа
σ0-р>0,3R; 628-31,4=596,6МПа>0,3 785=235,5МПа
Предварительные напряжение с учетом полных потерь, принятых по СНиП σп=100МПа при: γ=1 составит
σ=628-100=528МПа
3.1.1.Сбор нагрузок
Нагрузка на 1м2 перекрытия приведена в табл.3.1. Нормативная временная нагрузка на перекрытие, коэффициенты надежности по нагрузке приняты по СНиП 2.01.07-85 “Нагрузки и воздействия”.


Рис. 4. Конструкция пола
Таблица 3.1.
Вид нагрузки | Нормативная кн/м3 | γf | Расчетная кн/м3 |
Постоянная Мозаичный пол 0,04 22 Подготовка из бетона 0,03 20 Гидроизоляция 0,003 6 Железобетонная плита Итого Временная для магазина Полная | 0,88 0,6 0,02 2,6 ~4,1 4 8,1 | 1,3 1,2 1,2 1,1 1,2 | 1,14 0,72 0,02 2,86 4,74 4,8 9,54 |
Расчетная нагрузка на 1 пог. м длины плиты с её номинальной шириной Вн=1,2м
q=9,54 1,2~11,4кн/м
3.1.2.Определение расчетного пролета


Рис.5 Схема опирания плиты на ригель
Плиты опираются на полки ригелей. Номинальный пролет плиты в осях Lн=6000мм, зазор между торцом плиты и боковой гранью ригеля примем равным 20мм. Конструктивная длина плиты Lк=Lн-вр-2 20=6000-200-2 20=5760мм. Расчетный пролет плиты L0=Lк-2 80/2=5680мм.
3.2.Статический расчет
Плита работает как однопролетная свободно опертая балка с равномерно-распределенной нагрузкой по длине.




Рис.6. Расчетная схема плиты
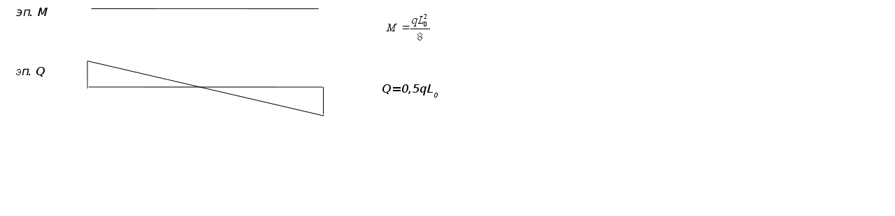
Расчетный изгибающий момент в плите

Расчетная поперечная сила на опоре
Q=0,5qL0=0,5 11,4 5,68= 32,38кн
3.3.Расчет прочности по нормальным сечениям
Расчетное сечение плиты принимаем как тавровое высотой h=220мм, толщиной полки hп=30,5мм. Ширина верхней полки тавра
вп=1190-2 15=1160мм (15мм тАУ размер боковых подрезок), ширина ребра:
в=1190-2 15-159 6=206мм
Рис.7.Расчетное сечение (а) и схема усилий (б)
Определим несущую способность приведенного сечения при условии х=hf
Мсеч.=Rв вfhf(h0-0,5hf)=15,3 116 3,05(19-3,05/2)=94594,62МПа см3=94,6кн м
Мсеч.>М (94,6кн м>46кн м), следовательно, нейтральная ось проходит в полке и расчет ведем как для прямоугольного сечения при ξ<ξR
Вычисляем табличный коэффициент

где h0=h-a=22-3=19см тАУ рабочая высота сечения по табл. 3.9.[Л-1]
ξ=0,075, ν=0,962
ξ<ξR=0,075<0,58; ξR=0,58 тАУ см. табл. 3.28.[Л-1]
Требуемая площадь арматуры: из условия прочности

где γ6тАУ коэффициент условий работы арматуры
γ6=γ6-(γ6-1) ξ=1,15-(1,15-1)
=1,13
А=γ6 А=1,3 3,3=4,29см2
В случаях когда полные потери предварительного напряжения не подсчитываются, а берутся по СНиП (σп=100МПа) рекомендуется площадь арматуры принимать ~ на 30% больше требуемой из условия прочности.
3.4.Расчет прочности по наклонным сечениям
Проверка прочности наклонного сечения проводится из условия (3.31) и (3.32) [Л-6.1]
Q<Qв=0,35Rв вh0=0,35 15,3 21 19=2137МПа см2 ~214кн
Q=32,38кн<Qв=214кн
Q<Qв=0,6Rвt вh0=0,6 1,08 21 19=258,5МПа см2=25,85кн
Q=32,38кн>Qв=21,4кн
Следовательно, необходим расчет поперечной арматуры.
3.5.Конструирование плиты
Напрягаемая рабочая арматура в плите ставится в виде отдельных стержней независимо от числа отверстий. Принятые стержни 6 10 А-V ставим после каждого отверстия кроме середины. В соответствии с рабочими чертежами для верхней полочки принимаем сварную стандартную сетку из арматурной проволоки В-I марки 250/200/3/3. тАУ С1.
По низу плиты сетку укладывают отдельными участками у торцов и по середине тАУC2,С3.
Вертикальные каркасы КР1 ставят только на крайних четвертях пролета плиты.
Подъемные петли приняты 12 A-I - ПМ1. Армирование плиты показано на рис.8. Арматурные изделия на рис.9.
Рис.8.Схема армирования плиты
Рис.9.Арматурные изделия плиты
4.РАiЕТ И КОНСТРУИРОВАНИЕ КОЛЛОНЫ
Колоны приняты квадратного сечения, одноярусные с прямоугольными консолями размером 15х15см. Оголовок колоны поднимается над плитами перекрытия на 60см. Нижняя ветвь колоны первого этажа заделывается в стакан фундамента.
4.1.Исходные данные
Требуется рассчитать колону среднего ряда первого этажа на эксплуатационные нагрузки.
Расчетные характеристики материалов:
для бетона кл. В20 Rвγв2=11,5 0,9=10,35МПа
для арматуры кл. А-IIRsc=280МПа
4.2.Нагрузка на колонну
Нагрузка на колону передается от покрытия и перекрытия. Грузовая площадь, с которой собирается нагрузка на колону, определена как произведение расстояний между разбивочными осями Агр=6х6=36м2
(см. рис.1.). Конструкция покрытия дана на рис.2. Вес снегового покрова для г.Тула 100кгс/м2 (1,0 кн/м2) по СНиП 2.01.07-85, вес 1м длины ригеля 500кгс (5кн), вес 1м2 плиты покрытия 260 кгс (2,6кн). Расчет нагрузок сведен в табл.4.1.
Таблица 4.1.
Нагрузка от покрытия
Нормативная кн
γf
Расчетная кн
Постоянная
Гравий втопленный в битумную
мастику
0,015 20 36
3 слоя рубероида на битумной
мастике
0,15 36
Цементная стяжка
0,03 19 36
Утеплитель
0,18 8 36
Пароизоляция
0,05 36
Железобетонная плита
2,6 36
Железобетонный ригель
5 6
Итого постоянная
Временная
Снег г. Тула
1 36
в том числе длительная 50%
Итого длительная Nдл.пок.
Полная Nпок.
10,8
5,4
20,52
51,84
1,8
93,6
30
213,96
36
18
231,96
249,96
1,2
1,1
1,3
1,1
1,2
1,1
1,1
1,2
1,2
13
5,94
26,68
57,02
2,16
102,96
33
240,76
43,2
21,6
262,36
283,96
Нагрузка от перекрытия берется из табл.3.1., а именно, нормативная нагрузка 4,1кн/м2, расчетная нагрузка 4,74кн/м2; вес 1м длины ригеля перекрытия 5кн. Временная длительная на перекрытие для магазина 0,3кн/м2 [Л-6.2]. Расчет нагрузок сведен в табл. 4.2.
Таблица 4.2.
Нагрузка от перекрытия | Нормативная кн | γf | Расчетная кн |
Пол и плита: Нормативная 4,1 36 Расчетная 4,74 36 Железобетонный ригель 5 6 Итого постоянная Временная для магазина 1 36 в том числе длительная 0,3 36 Итого длительная. Nдл.пер Полная Nпер. | 147,6 30 177,6 36 10,8 188,4 213,6 | - - 1,1 1,2 1,2 | 170,64 33 203,64 43,2 12,96 216,6 246,84 |
Сечение колонн ориентировано принято вхh=30х30см=0,3х0,3м. Собственный вес колонны одного этажа
Nк=в hρHγf=0,3 0,3 25 4,2 1,1=10,395кн
Нагрузку на колонны каждого этажа определяем в соответствии со схемой загружения (рис.11), начиная с третьего этажа путем последовательного суммирования. Подсчеты сведены в табл.4.3.


Рис.10.Расчетная схема колонны Рис.11.Схема загружения
Этаж
Длительная нагрузка кн
Полная нагрузка кн
3
2
1
262,36+10,395=272,755
272,755+10,395+216,6=499,75
499,75+10,395+216,6=726,745
283,96+10,395=294,355
294,355+10,395+246,64=551,39
551,39+10,395+246,64=808,425
Продольное усилие на колонну первого этажа от полной нагрузки N1=8084МПа см2, от длительной нагрузки Nдл.=7267МПа см2
4.3.Определение размеров сечения колонны и расчет рабочей арматуры
Расчет колонны ведем с учетом случайного эксцентриситета. При центральном загружении и наличии только случайного эксцентриситета колонны прямоугольного сечения с симметрической арматурой кл. А-I, А-II, А-III при их расчетной длине L0<20h (420<20 30=600) можно рассчитать по несущей способности по условию:
N<γвφв(RвAв+RA)
Где NтАУ расчетная продольна сила, равная N1
γвтАУ коэффициент условий работы (γв=0,9 при h<200мм и γв=1 при
h>200мм);
φтАУ коэффициент продольного изгиба, учитывающий длительность
загружения, гибкость и характер армирования;
L0-расчетная длина колонны, принимаемая равной высоте этажа
H=4,2м;
Asc-площадь сечения сжатой арматуры
Ав=вхh-площадь сечения колонны
Предварительно принимаем γ=φ=1, коэффициент армирования
. Тогда требуемая площадь сечения колонны из условия несущей способности:

Принимаем Ав=вхh=25х25=625 см2
Вычисляем L0/h=420/25=16,8, 
γ=1 (при h>20см). По табл. 3.20[Л-1] φв=0,75 и φч=0,82 (пологая, что Апс<A/3).
Коэффициент φ определится по формуле
φ=φв+2(φч-φв)
Определяем площадь сечения арматуры по формуле

В колоннах рабочая арматура принимается диаметром не менее 12мм. По сортаменту табл. 3.10[Л-6.1] принимаем 4 22А-II (Аsc=15,20см2)
Коэффициент армирования составляет

Полученное значение Вµ находится в диапазоне рекомендуемых значений (0,01-0,02).
4.4.Конструирование колонны
Колонна армируется сварным пространственным каркасом. При диаметре продольных стержней 22мм по условию технологии сварки диаметр поперечных в этом случае принят 8мм тАУ табл. 1.2 прил.1 [Л-6.4]
Шаг поперечных стержней в сварных каркасах должен быть S<20d, но не более 500мм. Принято S=400мм<20 22=440мм и не более 500мм.
Кроме того, в голове колонны ставятся конструктивные сетки из арматуры 8A-III не менее трех штук. Консоль армируется каркасом тАУ балочной.
Размещение рабочих и поперечных стержней в сечении колонны показано на рис.12.
Рис. 12. Размещение арматуры в сечении колонны
5.РАiЕТ И КОНСТРУИРОВАНИЕ ФУНДАМЕНТА
Учитывая значительное заглубление фундамента, целесообразно принять конструкцию его с подколонником стаканного вида и плитой.
Фундаменты по средней колонны рассматривают как центрально нагруженные.
5.1.Исходные данные
Глубина заложения фундамента H1=1,6м. Грунт основания имеет условное расчетное сопротивление R0=0,26МПа (260 кн/м2).
Расчетные характеристики материалов:
для бетона кл. В15 Rвγв2=8,5 0,9=7,65МПа (0,76кн/см2)
Rвtγв2=0,75 0,9=0,675МПа (0,07кн/см2)
для арматуры кл. А-III >10 R=365МПа (36,5 кн/см2)
Расчетная нагрузка Nф=______кн (см. табл. 4.3.)
5.2. Определение размеров высоты и подошвы фундамента
Высота фундамента определяется как размерность между отметками его подошвы и обреза.
h=1,6-0,15=1,45м
Глубина стакана фундамента принята hc=750мм, что удовлетворяет условию по заделке арматуры
hc>30d+σ=30 22+50=710мм
где d=22мм тАУ диаметр продольной арматуры колонны
σ=50мм тАУ зазор между торцом колонны и дном стакана
и что больше необходимого значения hс=1,5hк=1,5 30=45см.
Принимаем толщину стенок стакана поверху 225мм и зазор 75мм, размеры подколонника в плане будут:
ас=вс=hк+2 225+2 75=300+450+150=900мм
Рис. 13.Констукция фундамента
Толщину плитной части фундамента назначаем h1= ____мм, (кратно 150мм)
Ориентировочно площадь основания фундамента определяем по формуле

Учитывая, что сечение колонны квадратное, подошва фундамента принята тоже квадратной. Ориентировочно значение размера стороны подошвы такого фундамента
вф=аф=
~1,9м
Назначаем окончательно вф=аф=______мм (кратно 300мм). Тогда площадь подошвы будет равна Аф=вф аф=_______=_______м2 и среднее давление на грунт составит
<R0=250кн/м2
5.3. Расчет рабочей арматуры
Фундамент работает на изгиб от реактивного отпора грунта.
Изгибающий момент в сечении 1-1 у грани ступени (см. рис.13) определяется по формуле
М1-1=0,125Ргр(аф-ас)2 вф=0,125__________________________________кн м
Необходимая площадь арматуры при h01=_____см
.
Изгибающий момент в сечении 2-2 у грани колонны будет равен
М2-2=0,125Ргр(аф-вк)2 вф=
Необходимая площадь арматуры при h02=____см

По большему значению A подбираем сетку.
5.4.Конструирование фундамента
Фундамент армируется сеткой, которую укладывают в нижней части плиты. Шаг стержней в сетках принимают 100-200мм, минимальный диаметр арматуры в сетках фундаментов должен быть 10мм.
Принимаем шаг стержней S=___мм=__см. Размеры сетки ___________мм. Необходимое число рабочих стержней в сетке
шт
Принимаем _________ A=________см2, что больше требуемого
A1-1=_____см2. Такое же количество стержней должно быть уложено в перпендикулярном направлении, т.к. колонна ______________ квадратные и моменты в ______________________ равны.
Рис.14. Сетка фундамента
Армирование стаканной части фундамента условно не показано.
6.ЛИТЕРАТУРА
6.1. В.В. Доркин и др. “Сборник задач по строительным конструкциям”. Стройиздат. 1986г.
6.2. СНиП 2.01.07-85 “Нагрузка и воздействие” 1985г.
6.3. СНиП 2.03.01-84 “Бетонные и железобетонные конструкции” 1985г.
6.4. А.Н. Кувалдин и др. “Примеры расчета железобетонных конструкций зданий” Стройиздат. 1976г.
6.5. В.Н. Семенов “Унификация и стандартизация проектной документации для строительства” Стройиздат. 1985г.
Вместе с этим смотрят:
11-этажный жилой дом с мансардой
14-этажный 84-квартирный жилой дом
16-этажный жилой дом с монолитным каркасом в г. Краснодаре
180-квартирный жилой дом в г. Тихорецке
2-этажный 3-секционный 18-квартирный жилой дом в г. Мирном