Банковская статистика (Контрольная)
Московский Государственный Университет Экономики, Статистики и Информатики
Контрольная работа по курсу
ВлБанковская статистика В»
Выполнил:
Москва 1997
Задача №1
1. По данным вашего варианта (таблица 1) построить ряд распределения по 30 коммерческим банкам (группировка по привлеченным ресурсам).
таблица 1
Назание банка Привлеченные ресурсы АК Б Торибанк 155729 Автобанк 101 АвтоВАЗбанк 491686 АКБ Енисей 16826 АКБ Софинтрейд 196170 Башкредитбанк 154317 Башпромбанк 297613 Газпромбанк 32935 Гута банк 82060 Еврофинанс 653123 Запсибкомбанк 893982 Импэксбанк 12511 ИнтерТЭКбанк 737797 Конврсбанк. 110261 Кредо банк 105771 Кузбаспромбанк 42226 Международный пром-ый 106720 Межкомбанк 18669 Московский нац. Банк 20893 Мосстройэкономбанк
42534 Мост-банк 10981 Нефтехимбанк 64928 Омскпромстройбанк
181397 П ромрадтехбанк 1482119 Петровский 327621 Промышленно-строит. банк 10545 Ростэстбанк 2269172 Челиндбанк 667271
Произведем группировку с произвольными интервалами с помощью коэффициента вариации, определяемого по формуле:
г
де тАФ среднее квадратическое отклонение, x тАФ средняя арифметическая.
| № группы | Группы банков по количеству привлеченных ресурсов | Число банков, входящих в группу | Название банка | Количество привлеченных ресурсов (млн.руб.) |
| 1 | Менее 10000 | 1 | Автобанк | 101 |
| Промышленно-строит. банк | 10545 | |||
| Мост-банк | 10981 | |||
| 2 | 10000тАФ30000 | 6 | Импэксбанк | 12511 |
| АКБ Енисей | 16826 | |||
| Межкомбанк | 18669 | |||
| Московский нац. Банк | 20893 | |||
| Газпромбанк | 32935 | |||
| 3 | 30000тАФ80000 | 4 | Кузбаспромбанк | 42226 |
| Мосстройэкономбанк | 42534 | |||
| Нефтехимбанк | 64928 | |||
| Гута банк | 82060 | |||
| Кредо банк | 105771 | |||
| Международный пром-ый | 106720 | |||
| 4 | 80000тАФ200000 | 8 | Конверсбанк. | 110261 |
| Башкредитбанк | 154317 | |||
| АКБ Торибанк | 155729 | |||
| Омскпромстройбанк | 181397 | |||
| АКБ Софинтрейд | 196170 | |||
| Башпромбанк | 297613 | |||
| 5 | 200000тАФ500000 | 3 | Петровский | 327621 |
| АвтоВАЗбанк | 491686 | |||
| Еврофнианс | 653123 | |||
| 6 | 500000тАФ900000 | 4 | Челиндбанк | 667271 |
| ИнтерТЭКбанк | 737797 | |||
| Запсибкомбанк | 893982 | |||
| 7 | 900000тАФ 2300000 | 2 | П ромрадтехбанк | 1482119 |
| Ростэстбанк | 2269172 |
2. А) По полученным рядам распределения определить привлеченные ресурсы в среднем на один коммерческий банк.
| Группы банков по количеству привлеченных ресурсов | Число банков, входящих в группу (f i) | Середина интервала X i | X i * f i | X i- X | | X i- X | f i | 2 ( X i- X ) | 2 ( X i- X ) f i |
| 1 | Менее 10000 | 1 | 5000 | 5000 | 299107 | 299107 | 89464997449 | 89464997449 |
| 2 | 10000тАФ30000 | 6 | 20000 | 120000 | 284107 | 1704642 | 80716787449 | 484300724694 |
| 3 | 30000тАФ80000 | 4 | 55000 | 220000 | 249107 | 996428 | 62054297449 | 248217189796 |
| 4 | 80000тАФ200000 | 8 | 140000 | 1120000 | 164107 | 1312856 | 26931107449 | 215448859592 |
| 5 | 200000тАФ500000 | 3 | 350000 | 1050000 | 45893 | 137679 | 2106167449 | 6318502347 |
| 6 | 500000тАФ900000 | 4 | 700000 | 2800000 | 395893 | 1583572 | 156731267449 | 626925069796 |
| 7 | 900000тАФ 2300000 | 2 | 1600000 | 3200000 | 1295893 | 2591786 | 1679338667449 | 3358677334898 |
| Итого: | 28 | 8515000 | 2734107 | 8626070 | 2097343292143 | 5029352678572 |

тАФ в среднем на один коммерческий банк.
Б) Найти модальное и медианное значение привлеченных ресурсов.
| Интервал | Число банков, входящих в этот интервал | Накопленные частоты |
| Менее 10000 | 1 | 1 |
| 10000тАФ30000 | 6 | 7 |
| 30000тАФ80000 | 4 | 11 |
| 80000тАФ200000 | 8 | 19 |
| 200000тАФ500000 | 3 | 22 |
| 500000тАФ900000 | 4 | 26 |
| 900000тАФ 2300000 | 2 | 28 |
| 28 |
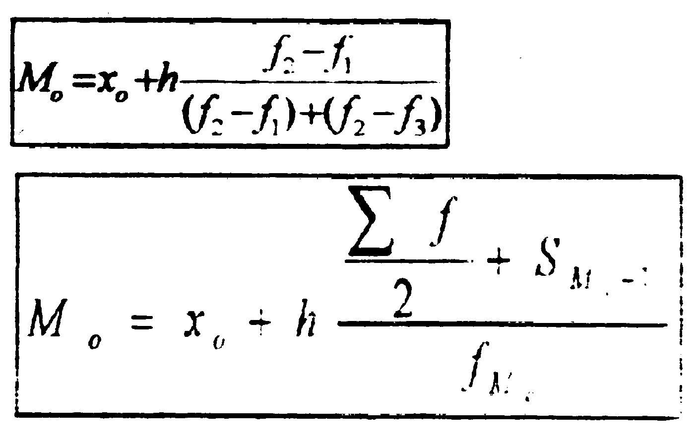
В
тАФмодальное значение

тАФмедианное значение
) По данному ряду распределения рассчитать размах вариации, среднеквадратическое отклонение, коэффициент вариации .


Размах вариации равен
Среднеквадратическое отклонение

Коэффициент вариации

Задача №2
На основе полученного ряда распределения построить структурную группировку этих же 30 банков. каждую выделенную группу охарактеризуйте 3-4 наиболее связанными и существенными показателями, имеющимся в вашей таблице, кроме абсолютных показателей. Выделенные группы охарактеризуйте относительными величинами структуры. Результаты изложите в табличной форме и сделайте выводы.
| № группы | Интервалы | Число банков в группе | Относительный показатель структуры (%) | Относительные показатели координации | Относительный показатель сравнения (%) |
| 1 | Менее 10000 | 1 | 3,6 | 0,13 | 16,7 |
| 2 | 10000тАФ30000 | 6 | 21,4 | 0,75 | 150 |
| 3 | 30000тАФ80000 | 4 | 14,3 | 0,5 | 50 |
| 4 | 80000тАФ200000 | 8 | 28,6 | 1 | 266 |
| 5 | 200000тАФ500000 | 3 | 10,7 | 0,38 | 75 |
| 6 | 500000тАФ900000 | 4 | 14,3 | 0,5 | 200 |
| 7 | 900000тАФ 2300000 | 2 | 7,1 | 0,25 | |
| Итого: | 28 | 100 |
Относительный показатель структуры (ОПС) представляет собой соотношение структурных частей изучаемого объекта и их целого. ОПС показывают какой долей обладают части в общем итоге, так, например, 4 группа составляет 28%, 2 тАФ 21,4%, а 3 и 6 тАФ 14,3%.
Относительные показатели координации характеризуют соотношение отдельных частей целого между собой при этом в качестве базы сравнения выбирается та часть, которая имеет наибольший удельный вес. В результате получают сколько единиц каждой структурной части приходится на одну единицу(сто,тысячу и т.д.) базисной структурной части
При расчете относительных показателей координации за базу примем 4 группу, так как в нее входит наибоьшее количество банков.
Относительный показатель сравнения представляет собой соотношение одноименных абсолютных показателей. Характеризующих разные объекты. Так, например, количество банков в 1 группе составляет 16,7% от количества банков во 2 группе, во 2 группе количество банков в 1,5 раза больше, чем в 3 группе, а в 6 группе в 2 раза больше, чем в 7.
Вместе с этим смотрят:
РЖнвестицiйна дiяльнiсть комерцiйного банку та ii вплив на його фiнансовий стан
РЖнвестицiйна полiтика банкiв в Украiнi
РЖнкорпорацiя та консолiдацiя як первиннi форми систематизацii банкiвського законодавства Украiни
РЖпотечне кредитування як механiзм залучення фiнансових ресурсiв для пiдприiмницькоi дiяльностi
