Ветеринарная фармакология
ОМСКИЙ ГОСУДАРСТВЕННЫЙ ИНСТИТУТ ВЕТЕРИНАРНОЙ МЕДИЦИНЫ

Контрольная работа
по Ветеринарной фармакологии
Выполнил:
Студент заочного факультета
4-го курса , I группы, шифр-94111
Алтухов М.А. IV вариант
Проверил_________________
Омск 1998 г.
1. Общий принцип химиотерапии. Особенности действия и применения антибиотиков группы пенициллина и стрепВнтомицина. Осложнения, возникающие при неправильном применении антибиотиков указанных групп; их профиВнлактика.
.Термин ВлхимиотерапияВ» (спетотАФхимия, terapiaтАФлечение) введен П. Эрлихом, применявшим для лечения инфекционных и прото-зойных болезней химические вещества точного химического строения (органические краски и др.). В современном представлении любое леВнкарственное вещество имеет точное химическое строение, и действие его обусловлено определенными химическими или физическими процессаВнми. Термин ВлхимиотерапияВ» теперь употребляют для выражения дей-
ствия лекарственных веществ на возбудителей заразных заболеваний, находящихся в организме животных.
Избирательное химиотерапевтическое влияние происходит чаще всего потому, что препарат адсорбируется в возбудителе в количестВнвах, более значительных, чем в тканях животного, или нарушает такие процессы метаболизма, которые крайне необходимы для жизни возбуВндителя и не имеют существенного значения для макроорганизма. Чем выше доза лекарственного вещества, тем ярче проявляется его химиотерапевтический эффект. Но большинство этих препаратов в каВнкой-то мере неблагоприятно влияет на животных, а отрицательное дейВнствие их тем слабее, чем меньше доза вещества. Чтобы правильно выВнбрать дозу, обеспечивающую надежное лечебное действие и не оказыВнвающую токсического влияния, нужно применять препараты с высоким химиотерапевтическим индексом (соотношение доз максимальных пеВнреносимых и минимальных лечебных). В ветеринарии при заразных заВнболеваниях лекарственные вещества применяют и для профилактики.
АНТИБИОТИКИ
АнтибиотикитАФспецифические продукты жизнедеятельности микроВнорганизмов, животных и растений, обладающие противомикробным действием. Кроме того, известно, что некоторые из них действуют губиВнтельно на гельминтов, простейших и других возбудителей болезней чеВнловека и животных. Название ВлантибиотикиВ» (antiтАФпротив, biosтАФ жизнь) дано тогда, когда было известно губительное влияние их тольВнко на возбудителей болезней. Позже выяснено, что многие антибиотики стимулируют отдельные биохимические процессы в организме животВнных, а это ведет к улучшению общего их состояния, ускорению роста, повышению продуктивности, активизации защитных реакций
Несмотря на большую специфичность, антибиотики действуют по общим фармакологическим законам, они очень эффективны, но только при четком выполнении разработанных условий. Если условия не соВнблюдают, то антибиотики малоэффективны, а в некоторых случаях моВнгут причинить и вред.
Термин ВлантибиотикиВ» был принят в 1942 г., но этому предшествоВнвали большие и сложные исследования. Один из первых отечественных ученых Н. Н. Благовещенский еще в 1890 г. предложил использовать продукты жизнедеятельности синегнойной палочки для подавления сиВнбиреязвенных бактерий в организме животных. К этому времени предВнставление об антибиотических веществах у отдельных микробов было бесспорным, и Р. Эммерих предпринял попытки получить эти вещества. Ему удалось выделить из синегнойной палочки пиоцианазу (1889 г.). Почти одновременно Н. Ф. Гамалея выделил из того же микроорганизВнма пиокластин.
Разные антибиотики неодинаково дейВнствуют на различные микроорганизмы, неодинаково влияет каждый из них и на макроорганизм.
Общие закономерности химиотерапевтического и химиопрофилак-тического действия антибиотиков. Основными причинами широкого исВнпользования их являются: 1) специфический механизм действия; 2) шиВнрокий и четко выраженный спектр противомикробного действия и нейтВнрализации токсинов; 3) эффективность в очень малых дозах; 4) сохраВннение активности в условиях макроорганизма; 5) ярко выраженное и быстро проявляющее лечебное и профилактическое действие; 6) очень низкая токсичность для животных.
Во многих случаях антибиотики нарушают структурные образоваВнния клеток (чаще всего это касается мембран возбудителей или орга-нелл). Пенициллин препятствует образованию оболочки миВнкробной клетки и тем самым резко дезорганизует основные жизненные процессы всей клетки
Одним из основных видов противомикробного действия антибиотиВнков является ингибирование ферментов. Исследования показывают, что наиболее часто антибиотики тормозят ферментные реакции и несколько реже препятствуют образованию самих ферментов, но, кроме того, наВнблюдается и то и другое влияние. Чаще всего подавляется активность оксидаз, фосфоролидаз, редуктаз, то есть таких ферментов, которые соВнвершенно необходимы для метаболизма большого числа бактерий, осоВнбенно патогенных.
В механизме противомикробного действия антибиотиков (так же, как и сульфаниламидов) большое значение имеет имитация по принциВнпу стереоизометрии. ДоказательВнством может служить высокая бактерицидность пенициллина с наличиВнем в нем диметилцистеина правой конфигурации; в отличие от этого пенициллин синтезированный, содержащий диметилцистеин левой конВнфигурации, не действует противомикробно.
Важную роль в действии антибиотиков играет появление значиВнтельного количества антиметаболитов; часто наблюдается ослабление функций метальных групп, а все процессы метилирования, как известно, являются важнейшими в жизнедеятельности живого вещества, и наруВншение их ведет к гибели микроба.
ИзбиВнрательная адсорбция большого количества антибиотиков сопровождаВнется значительными морфологическими, электронными и тинториальными изменениями мембраны клеток. Изменяются и другие жизненно важные свойства ее, что ведет к ослаблению эндогенного дыхания и способности нейтрализовать даже такие слабые яды, как органические кислоты, антивитамины и др.
Каждый антибиотик действует на большую группу грамположи-тельных или грамотрицательных бактерий (а многие из них действуют на грамположительные и грамотрицательные). Антибиотики с таким широким спектром противомикробного действия эффективны при мноВнгих заболеваниях органов пищеварения и дыхания, матки и вымени, а также при травматических повреждениях.
Но химиотерапевтическая активность антибиотиков сильно варьиВнрует в зависимости от многих условий. Поэтому, прежде чем назнаВнчить лечение животным, нужно определить чувствительность возбудиВнтеля болезни к антибиотикам. Это позволит значительно повысить эффективность антибиотикотерапии и антибиотикопрофилактики.
Чувствительность микроорганизмов к антибиотикам определяют по минимальной концентрации препарата, подавляющей рост микробов в точно определенных условиях. Она часто бывает неодинаковой у разВнличных штаммов, у разных колоний одного штамма и даже у отдельВнных особей популяции.
Химиотерапевтические дозы и концентрации. Важным преимуществом антибиотиков по сравнению с другими химио-терапевтическими средствами является высокая активность их в очень малых концентрациях. Например, для подавления роста гемолитиче-ского стрептококка требуется концентрация фенола 1:800. При таких же условиях противомикробная концентрация стрептоцида меньше в 250 раз (1:200000), а пенициллинатАФв 100000 раз (1:80000000). Такие небольшие концентрации антибиотика можно легко создать в органах животного, поэтому лечебные дозы этих препаратов очень низкие (в микрограммах), а лечебный эффект высокий.
Антибиотики дозируют из расчета на 1 кг массы животного и тольВнко иногда на животное в целом. В зависимости от путей введения дозы рассчиВнтывают следующим образом: при введении антибиотика через рот доза его в 2тАФ4 раза больше, чем при внутримышечном или подкожном ввеВндении, а при внутримышечномтАФдоза в 1,5тАФ2 раза больше, чем при внутривенном. Доза антибиотика зависит от вида болезни и тяжести ее течения; например, при сепсисе вводят максимальные дозы вещестВнва и по возможности внутривенно. Одному и тому же животному в заВнвисимости от общего состояния его назначают разные дозы антибиотиВнка; слабым животным обычно вводят '/2 или 1/3 обычной дозы. Дозы зависят от закономерностей распределения антибиотиков в тканях и (значительное повышение химиотерапевтического эффекта), а при неВнправильнойтАФантагонизм (ослабление эффекта).
В силу комплексного влияния антибиотиков на возбудителя, токВнсины и макроорганизм они имеют ряд преимуществ перед другими веВнществами. Антибиотики излечивают живогных при многих заболеваниВнях, которые раньше были неизлечимы, а при заболеваниях, излечиваемых другими средствами, они намного больше сокращают сроки общего выздоровления.
Динамика распределения разных антибиотиков несколько различВнна. Например, после их внутримышечного введения в терапевтических дозах окситетрациклин хорошо проникает в кровь и многие органы; олеандомицин также хорошо проникает в кровь и органы, но он слабее адсорбируется и быстрее выводится; в отличие от этих веществ моно-мицин не обнаруживается в большинстве органов, но бывает в больВнших количествах в почках и легких.
В течение первого часа антибиотики распределяются наиболее равномерно в разных органах, а затем для большинства их характерно скопление в наиболее высоких концентрациях в органах выделения (почки), в печени, сердце, легких, стенке желудка и кишечника и неВнсколько меньше в поперечнополосатой мускулатуре.
Выделение антибиотиков начинается почти сразу же после появлеВнния их в крови, а в дальнейшем оно все больше и больше возрастает (опять-таки по мере увеличения концентрации антибиотика в организВнме). Высокий темп выделения сохраняется, пока основная масса вещеВнства не будет выведена. Следы антибиотиков (концентрации в 5тАФ160 раз меньше терапевтических) сохраняются в большинстве тканей жиВнвотного от нескольких часов до 2тАФ4 сут.
ОсновВнные преимущества антибиотиков следующие: 1) наиболее выраженный и наиболее устойчивый ростостимулирующий эффект; 2) положительВнное влияние на общее состояние, развитие и резистентность животных; 3) улучшение течения беременности и развития плода; 4) сохранение качества мяса; 5) низкая стоимость препаратов и возможность полуВнчения их в неограниченных количествах; 6) стойкость препаратов при хранении и доступные методы массового применения их. Однако антиВнбиотики положительно влияют только в том случае, если учитывают все условия, обеспечивающие высокую их эффективность.
П
енициллинытАФ органические кислоты, имеющие в своей осноВнве тиазолидиновое ядро (7) и р-лактамовое кольцо (2) с открытой аминогруппой в шестом положении (3). Один из водородов аминогрупВнпы через группу СО замещается радикалом разного строения {4): пен-тенилом (СНз-СНа-СН; CH-CI-^-), гептилом [СНз(СН2)5СНг=], оксибензилом (HO-QH4CH2==) и Др. Наибольшее практическое знаВнчение имеет пенициллин, у которого радикал замещен бензилом (СбНвСНг^), а получаемый препарат называется бензилпеницил-л ином.
Бензилпенициллин продуцируется зелеными плесенями тАФ PenicH-linurn.
Пенициллин, как кислота, нестойкий, легко разрушается и дейстВнвует кратковременно. Для устранения этих недостатков его переводят в соли (натриевую и калиевую). Для пролонгирования действия солей пенициллина готовят комплексные препараты с новокаином, а для расВнширения спектра действиятАФс экмолином.
Активность пенициллина зависит от серии и способа очистки преВнпарата. Поэтому его дозируют в единицах действия. 1 ЕД соответВнствует 0,5988 мкг химически чистой натриевой соли бензилпеницил-лина. В форме порошка пенициллин не влияет антимикробно, он актиВнвен только в растворах. Более того, микробы (даже чувствительные к пенициллину) могут длительно находиться в порошке пенициллина, не снижая своей вирулентности. Хранят пенициллин во флаконах фабВнричной упаковки. Стерилизовать раствор нельзя, так как это разрушает пенициллин. Хороший растворитель пенициллина тАФ изотонический расВнтвор натрия хлорида (0,9%-ный) на дистиллированной воде. Раствор пенициллина лучше всего сохранять при рН 6тАФ6,5.
Механизм противомикробного действия пенициллина при разВнных условиях неодинаков. На первый план выступает нарушение синВнтеза ацетилмурамовой кислоты тАФ составной части мукопептида. Муко-пептид необходим для стенки бактериальной клетки, и недостаток его нарушает способность клетки ассимилировать аминокислоты и многие другие необходимые ей вещества. У таких клеток нарушается способВнность делиться; образуются крупные формы бактерий, очень неустойВнчивые и легко лизирующиеся.
Учитывая, что активность пенициллина значительно выше in vivo, чем in vitro, вполне возможно допустить, что важным звеном его проВнтивомикробного влияния является создание условий в организме, неВнблагоприятных для микробов, и повышение устойчивости животных. Поэтому антимикробное действие его бывает неодинаковым и зависит от условий, в которых находится животное. В частности, недостаток белков в корме и нарушение протеолитических процессов в организме снижают лечебную эффективность пенициллина.
Пенициллин легко резорбируется после инъекции внутримы-шечно или под кожу. В пищеварительном тракте он всасывается тольВнко в кишечнике, но значение в этом отношении имеет только тонкий отдел, так как в толстом он разлагается пенициллиназой, вырабатыВнваемой сапрофитной грамотрицательной микрофлорой. После резорбВнции он быстро распространяется по всему организму и скоро разрушаВнется или выделяется (с мочой или желчью). Разные препараты имеют неодинаковую скорость выведения.
Реакция животных разных видов на пенициллин очень сходная. Наиболее чувствительны молодые животные; реакция утомленных жиВнвотных, особенно в жаркое время, сильнее выражена. Пенициллин с успехом применяют с лечебной и профилактичеВнской целью при роже свиней, мыте лошадей, крупозной пневмонии лоВншадей, плевропневмонии крупного рогатого скота, при заболеваниях органов дыхания у свиней, при лептоспирозах, некробациллезах, пастереллезах, инфекционных бронхопневмониях, эмфизематозном карбункуле, злокачественном отеке, актиномикозе, актинобациллезе, сибирской язве, стахиботриотоксикозе. Пенициллин благоприятно влияет при инВнфекционном стоматите кроликов, дифтерии кур, чуме собак, желудочВнно-кишечных инфекциях молодняка, при маститах и др.
Дозы пенициллина и частота повторных введений зависят от инВнфекции, характера индивидуальной реакции животного, от особенностей патологического процесса, а также от способа введения и свойств расВнтворителя.
При длительном использовании пенициллина в больших лечебных дозах в отдельных случаях отмечают побочное действие его: ослабление кроветворной функции мозга у молодняка и аллергические реакции. Однако это быстро проходит, если прекратить дачу преВнпарата.
Бензилпенициллина натриевая соль (бензилпенициллин-натрий) тАФ Benzylpenicillinum-natrium. Содержит в 1 мг 1600тАФ1670 ЕД бензилпенициллина. Выпускают в специальных флакоВннах от 100 000 до 1000 000 ЕД. Срок хранения 3 года. Является основВнным пенициллиновым препаратом. Применяют внутривенно и внутримыВншечно.
Бензилпенициллина калиевая соль (бензилпенициллин-калий) тАФ Benzylpenicillinum-kaliurnВ 1 мг содержит около 1600 ЕД пенициллина. Дозы обеих солей пенициллина внутримышечно в ЕД на 1 кг массы животного: коровам 3000, телятам 5000, овцам 4000, ягнятам 10000, свиньям 6000, поросятам 8000, лошадям 2000, жеребятам 3000, курам 50 000. Иногда используют пенветиннатриевую или пенветинкалиевую соль бензилпеВннициллина.
Бензилпенициллина новокаиновая соль (новокаин-бензилпеницил-лин) тАФ Benzylpenicillinuni-novocairiurn. Препарат очень мало растворим в воде, но образует с ней стойкую тонкую суспензию. Всасывается медВнленнее натриевой и калиевой солей. При однократной внутримышечной инъекции терапевтическая концентрация пенициллина в крови удержиВнвается около 15 ч. Имеет такой же спектр антимикробного действия, что и все пенициллины, но влияет несколько слабее натриевой соли. Назначают внутримышечно. Дозы: на 20тАФ50% больше, чем солей.
Феноксиметилпенициллин тАФ Phenoxymethylpenicillinum. ПолусинтеВнтический препарат.
В 1 мг содержат 1600 ЕД пенициллина. Показаны для применения в тех же случаях, что и бензилпенициллин. Рекомендуют с кормом 3тАФ5 раз в день из расчета миллиграммов на 1 кг массы тела: коровам 4, телятам 10, овВнцам 10, ягнятам 20, свиньям 10, поросятам 15.
Бициллин-1тАФBicillinum-l. К,М'-Дибензилэтилендиаминовая соль бензилпенициллина. 1 мг содержит не менее 1000 ЕД. Белый или слегка желтоватый порошок. В воде практически не растворяется, растворяетВнся в спирте. С водой хорошо смешивается, образуя тонкую стойкую эмульсию. По действию не отличается от пенициллина, но очень стоек, и при внутримышечном введении терапевтическая концентрация его удерживается в крови более трех суток. Фармацевтическая промышленВнность выпускает также бициллин-2, -3 и -5.
Бициллин-З содержит по 1 части калиевой или натриевой соли бенВнзилпенициллина, новокаиновой соли бензилпенициллина и бициллина-1. Назначают его внутримышечно при тех же показаниях, что и пеницилВнлины, и внутрь для ускорения роста животных; повторное введение требуется через 2тАФ8 дней. Дозы в ЕД на 1 кг массы животного: коВнровам 5000тАФ8000; овцам 10000тАФ20 000; свиньям 10000тАФ20 000; лошаВндям 10000тАФ12000; курам 100000. Препарат вводят один раз в 5тАФ6 сут.
Алмециллин тАФ Almecillinum. Калиевая соль аллилмеркаптометил-пенициллиновой кислоты.
П
олучают биосинтезом при выращивании Penicillium в среде, соВндержащей аллимеркаптоуксусную кислоту. По спектру и по силе действия почти не отличается от пенициллина, но активен в отношении пенициллинустойчивых штаммов. Применяют при тех же показаниях, что и бензилпенициллин. Назначают внутримышечно 3 раза в день в тех же дозах, что и натриевую соль пенициллина.
Ампициллин тАФ антибиотик широкого спектра действия, активен в отношении различных групп грамположительных и грамотрицательных микроорганизмов. Стабилен в кислой среде и хорошо всасывается. ЛеВнчебная концентрация в крови удерживается на уровне не менее 6тАФ8 ч. Применяют с лечебной целью молодняку сельскохозяйственных животВнных при бронхопневмонии, колибактериозе, сальмонеллезе и пастерел-лезе. Назначают перорально групповым методом с кормом или индиВнвидуально три раза в сутки в следующих разовых дозах (из расчета на 1 кг массы): поросятам тАФ 30 мг, телятам и ягнятам тАФ 20 мг.
АмпиокстАФAmpioxum. Комбинированный препарат, состоящий из смеси натриевых солей ампициллина и оксациллина (2:1).
СинтомицинтАФSynthomycinurn. Рацемат трео-1-пара-нитрофенил-2-дихлорацетиламино-1,3-пропандиола. Белый мелкокристаллический поВнрошок горького вкуса, плохо растворяется в воде, хорошотАФв спирте. Хранят с предосторожностью. Применяют с той же целью, что и левомицетин, а дозы несколько больше.
Группа стрептомицина. СтрептомицинтАФсложное органическое соединение, состоящее из стрептидина и стрептобиозамина. При гидролизе он распадается на эти составные части, лишенные антибакВнтериальной активности. Как основание, стрептомицин легко образует соли, из которых наибольшее значение имеют сульфат 
Спектр антимикробного влияния сходен с пенициллиновым, но, кроВнме того, препарат нарушает рост туберкулезной палочки и бруцелл, в слабой степени задерживает развитие некоторых протозоев, нейтрализует столбнячный токсин. К стрептомицину легко развивается устойчиВнвость патогенных микроорганизмов.
Механизм действия стрептомицина связан с вторжением его в реВнакцию пировиноградной и щавелевоуксусной кислоты в цикле Кребса. У животных эта реакция происходит в митохондриях, куда затруднено проникновение стрептомицина, поэтому он не оказывает на них сущестВнвенного влияния; в бактериальной же клетке эта реакция не защищена, и стрептомицин поражает бактерии. Кроме того, он нарушает синтез белка, усиливает распад РНК, нарушает проникновение ионов калия через мембрану микробных клеток.
Бактерицидность стрептомицина зависит от состава среды, ее реВнакции и наличия инактиваторов (солей, глюкозы, цистина, гидроксил-амина, гидразина и др.). При длительном применении стрептомицина развивается устойчивость микробов к этому препарату. Поэтому, если требуется долгое лечение, целесообразно чередовать его с другими анВнтибиотиками.
Назначенный per os, стрептомицин очень плохо всасывается и дейВнствует только в пищеварительном тракте. При парентеральном введеВннии также не резорбируется в кишечник и поэтому не действует на миВнкрофлору пищеварительного тракта. Около 40% стрептомицина в оргаВннизме разрушается, около 60% выделяется почками.
При использовании стрептомицина в больших дозах у отдельных животных возможна идиосинкразия в виде крапивницы, поносов, аритВнмии, сердечных сокращений.
Хорошие результаты получены от стрептомицина при лечении туляВнремии, острой формы бруцеллеза, туберкулезного менингита, туберкуВнлеза гортани, кишечных заболеваний, листереллеза крупного рогатого скота. Иногда стрептомицин рекомендуют для ускорения роста животВнных, но по эффективности он уступает хлортетрациклину, а стоимость препарата примерно в 5 раз выше, чем полуфабрикатов тетрациклина.
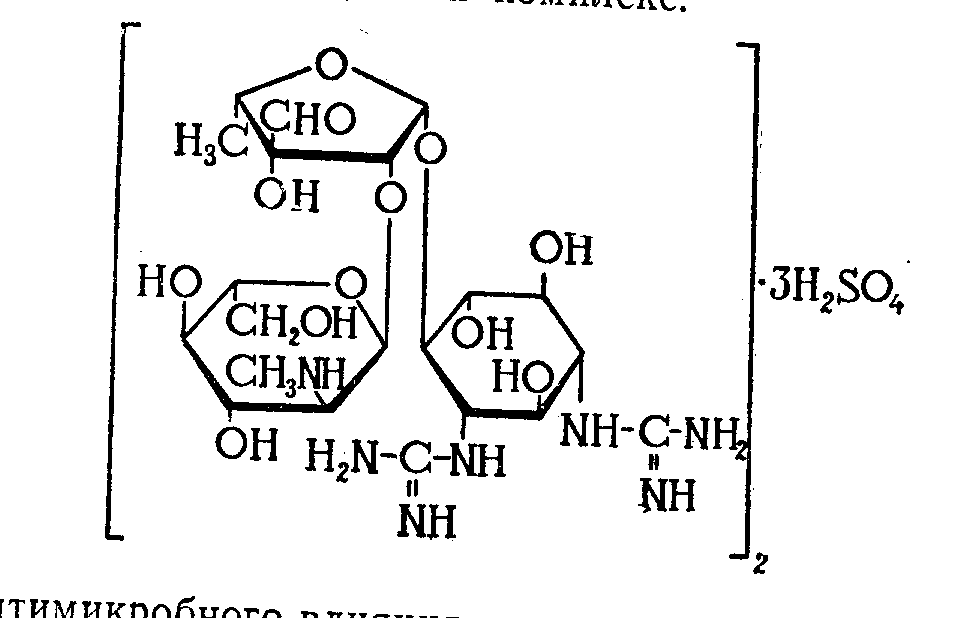
Стрептомицина сульфат тАФ Streptomycini sulfas. Основной препарат стрептомицина. Образуют его грибок Streptomyces globisporus и родВнственные ему организмы. Это порошок или пористая масса белого цвеВнта, выпускают во флаконах по 0,25; 0,5 и 1,0 г. Препарат при внутримышечном введении быстро всасывается. Терапевтическая конВнцентрация в различных органах и тканях организма удерживается не менее 12 ч, выводится с мочой в виде основания.
Стрептомицин обладает антимикробным действием по отношению ко многим грамположительным и грамотрицательным бактериям, а такВнже к кислотоустойчивым и пенициллиноустойчивым микробам, но не активен в отношении возбудителей анаэробных инфекций. У крупного рогатого скота иногда проявляются быстро развивающиеся реакции (анафилактический шок, ангионевротический отек гортани). ОсложнеВнния могут появиться после первого введения препарата, но чаще обуВнсловливаются сенсибилизацией организма при повторных курсах леВнчения.
Применяют с лечебной целью при лептоспирозе, пневмонии невиВнрусной этиологии, диплококковой инфекции, мастите, эндометрите, раВнневом и послеродовом сепсисе и других болезнях, роже и отечной боВнлезни свиней, злокачественной катаральной горячке и актиномикозе крупного рогатого скота. Вводят внутримышечно. Курс лечения 4тАФ7 дней, два раза в сутки в дозах на 1 кг массы животного: коровам 5 мг, телятам 10, овцам 10, ягнятам 20, свиньям 10, лошадям 5, жеребяВнтам 10; при лептоспирозетАФв дозе 10тАФ12 мг.
Не допускается сочетанное применение стрептомицина с другими аминогликозидными препаратами (неомицин, канамицин, мономицин, гентамицин) вследствие возможного усиления нефротоксического дейВнствия.
Убой на мясо животных разрешается не ранее чем через 7 сут поВнсле прекращения применения препарата. Молоко, полученное от жиВнвотных, подвергавшихся лечению стрептомицина сульфатом, запрещаВнется использовать для пищевых целей в течение 2 сут после прекращеВнния введения препарата.
Стрептомицин-хлоркальциевый комплекстАФStreptomycini et calcii chloridum. Двойная соль кальция хлорида и стрептомицина гидрохлоВнрида. Терапевтические концентрации в различных органах и тканях организма удерживаются в течение 8тАФ12 ч. Выводится из организма в основном с мочой.
Препарат обладает антимикробным действием по отношению ко многим грамположительным и грамотрицательным бактериям, а также к кислотоустойчивым и пенициллиноустойчивым микробам, но не актиВнвен в отношении возбудителей анаэробных инфекций. При внутримыВншечном введении у крупного рогатого скота иногда проявляются быстро развивающиеся аллергические реакции (анафилактический шок, ангио-певротический отек гортани
Применяют с лечебной целью при лептоспирозе, пневмонии неви-руспой этиологии, диплококкокой инфекции, мастите, эндометрите, раВнневом и послеродовом сепсисе, роже и отечной болезни свиней, злокаВнчественной катаральной горячке, кампилобактериозе и актиномикозе крупного рогатого скота в тех же дозах и с теми же условиями, что и стрептомицина сульфат.
Дигидрострептомицина сульфат тАФ Dihydrostreptomycine sulfas. ПроВндукт восстановления стрептомицина, в котором альдегидная группа преВнвращена в оксиметильную. Выпускают во флакоВннах по 0,25; 0,511 1,0 г активного вещества в пересчете на дигидростреп-томицин-основание При внутримышечном введении быстро всасывается в кровь. ТераВнпевтическая концентрация удерживается в организме в течение 6тАФ12 ч. Выводится из организма в основном с мочой.
Препарат обладает антимикробным действием по отношению ко многим грамположительным и грамотрицательным бактериям, но не активен в отношении возбудителей анаэробных инфекций.
Применяют его с лечебной целью при бронхопневмонии, диплокок-ковой инфекции, мастите, эндометрите, раневом и послеродовом сепВнсисе, роже и отечной болезни свиней, злокачественной катаральной гоВнрячке, кампилобактериозе и актиномикозе крупного рогатого скота, при тех же условиях, что и стрептомицины. Вводят внутримышечно из расВнчета на 1 кг массы тела: коровам 3 мг, телятам 5, овцам 10, ягнятам 20, свиньям 10, поросятам 20, лошадям 4, жеребятам 6 мг два раза в день.
Гризин тАФ Grysinum. Продуцируется лучистым грибом Streptomyces griseus Krainsky. Хлоргидрат гризинатАФаморфный, гигроскопический порошок, легкорастворимый в спирте. Имеет широкий спектр противо-микробного влияния, но слабую активность.
В животноводстве чаще всего применяют кормогризинытАФнативные препараты гризинатАФкормогризип-5, кормогризин-10 и кормогри-зин-40.
2- Фармакодинамика андрогенов и анаболитических стеро-ядов. Показания к применению.
АНДРОГЕНЫ
Андрогены (греч. andros тАФ мужчина и genesis тАФ рождение) тАФ веВнщества, обладающие биологическим действием мужского полового горВнмона. В организме животных и человека они образуются у мужских особей в семенниках и в корковом слое надпочечников, у женских осоВнбей в корковом слое надпочечников, а при некоторых условиях и в яичниках. В семенниках вырабатывается первичный гормонтАФтестосте-рон. При метаболизме тестостерона образуются андростерон, этилхола-нолон, дегидроандростерон и изоандростерон. Андрогены выделены в чистом виде, но в таком состоянии их мало используют в практике, так как они действуют недолго. Из них изготовлены препараты с пролонгиВнрованным действием тАФ тестостерона пропионат, тестостерон-дипропио-нат, тестостерон-фенилпропионат, тестостерон-фенилацетат и метилте-стостерон. Эти препараты очень медленно резорбируются и при одноВнкратной инъекции действуют от 3 до 30 сут.
Андрогенные препараты активизируют спермиогенез, повышают акВнтивность спермиев, улучшают деятельность простаты, усиливают вторичВнные половые признаки у мужских особей. У женских особей андрогены вызывают нарушение эстрального цикла и появление стойкой фазы ди-эструса.
Применяют андрогены при половой недостаточности самцов-произВнводителей, при некоторых формах нарушения функции сердечно-сосудиВнстой системы, при дисфункциях матки и др.
М
етилтестостерон тАФ Methyltestosteronum. 17-а-Метиландростен-4-ол-17-он-ЗтАФодна из форм мужского полового гормона тестостерона, полученного синтетическим путем.
Обладает биологическими свойствами естественного гормона, выпуВнскают в таблетках по 5 и 10 мг в каждой. Применяют самцам при половом недоразвитии и функциональных нарушениях в полоВой сфере, при сосудистых и нервных расстройствах.
Т
естостерона пропионаттАФTestosteroni propionas. Андростен-4-ол-17р-он-3-пропионат. Синтетический препарат, обладающий биологичеВнскими и лечебными свойствами естественного мужского полового горВнмона тестостерона. Он в 2тАФ3 раза активнее метилтестостерона и облаВндает более продолжительным действием. Тестостерона пропионат назначают самцам при тех же показаниях, что и метилтестостерон: при половом недоразвитии, при сосудистых и нервных расстройствах. Применение препарата при соответствующих показаниях и в соответствующих дозах приводит к усилению половой функции, стимулированию роста недоразвитых половых органов, разВнвитию вторичных половых признаков. Препарат рекомендуют также самцам при импотенции вследствие переутомления, а женским особям при метритах и вагинитах. Назначают внутрь в дозах: коровам 0,04тАФ0,08 г; собакам 0,005тАФ0,01 г.
Из андрогенов заслуживают внимания также тестостерон энантат, тестэнат и тестобромлецит.
Анаболитичейкие стероидные вещества по строению близки к кортикостероидам и андрогенам. По действию они ближе всего стоят к тестостерону, но имеют сильно выраженную анаболитическую активность. Ценное в действии этих веществ тАФ активизация синтеза пластического белка и более высокое усвоение азота. Такого рода действие сочетаВнется с улучшением использования серы, фосфора и калия.
У истощенных животных это сопровождается восстановлением мусВнкулатуры, кальцификацией остопорозных костей и увеличением общей живой массы. Попытки использовать эти вещества для откорма здороВнвых животных пока не увенчались успехом. Анаболитические стероиды рекомендуют применять при исхудании животных, слабости и нарушеВнниях протеолиза. Действие препаратов в какой-то форме связано со знаВнчительным изменением функции печени. Поэтому при заболеваниях пе чени их не применяют.
3. Механизм действия кальция пангамата, аскорбиновой кислоты и флавоноидов. Практическое использование этих веществ.
Коферменты рибофлавина имеют большое значение в регулироваВннии обмена веществ: одни из них осуществляют окислительное дезами-нирование аминокислот, другие принимают участие в их синтезе.
Рибофлавин считается веществом, регулирующим уровень сахара в организме. Так же, как тиамин и никотиновая кислота, он необходим для окисления молочной кислоты вначале в пировиноградную, а затем -в углекислоту. Он участвует и в азотистом обмене, так как большинВнство донаторов водорода окисляется при помощи ферментов, образоВнванных рибофлавином. Очень важное действие рибофлавина тАФ улучВншение использования в организме животных таких аминокислот, как триптофан, гистидин, фенилаланин и треонин. Превращение таких амиВннокислот, как гликокол, цистин, тирозин, возможно только с участием рибофлавина. При недостатке рибофлавина или при инактивации его не только нарушается использование этих кислот, но и образуются весьма ядовитые вещества из них.
Данные о комплексных соединениях рибофлавина в организме даВнют основание считать, что он принимает участие в образовании дыхаВнтельных ферментов. В результате у животных улучшается обмен веВнществ и нормализуется функциональная деятельность центральной нервВнной системы, рецепторного аппарата сосудистой системы (особенно каВнпилляров), секреторных желез желудка и кишечника: печени, кожи и слизистых оболочек, зрительного пурпура и др. ^ Применяют рибофлавин с профилактической и лечебной целью при состояниях гипорибофлавиноза, для стимуляции роста и продукВнтивности животных, для активизации окислительно-восстановительных реакций, клеточного дыхания, синтеза белков и жиров, для улучшения регулирующего влияния нервной системы, стимуляции гемопоэза, повыВншения защитной роли печени, кожи и слизистых оболочек.
Д
ля лечения больных животных лучше всего использовать корма, богатые данным витамином, для профилактики применяют премиксы с рибофлавином.
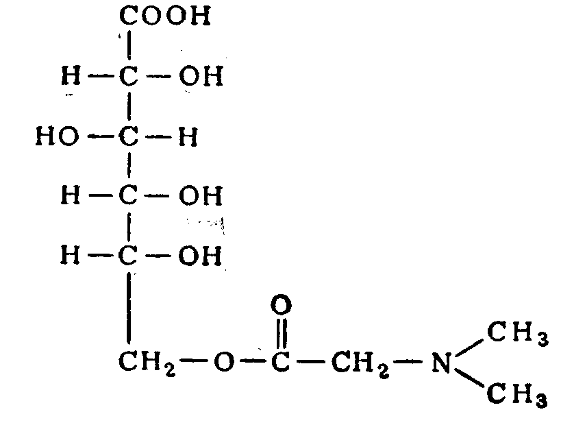
Кальция пангамат (витамин B15) тАФ Calcii pangamas. Кислота его имеет следующую формулу:
Белый аморфный порошок характерного аминного запаха и горь-кого вкуса, хорошо растворимый в воде (1 : 1), нерастворимый в спир-те, эфире и ацетоне. Разрушается в щелочной среде. Термоустойчив.
В выпускаемом препарате имеется не менее ои"/о пангамата каль-ция,рколо 30% глюконата кальция и не более 8,5% воды.
Наиболее характерным для кальция пангамата является метилирующее влияние, активизация окислительных процессов и повышение детоксицирующих реакций в организме.
Одно из интересных свойств кальция пангамата' его способность передавать метальные радикалы другим молекулам. Дело в том, что пангамат кальция может образовывать многометильные соединения, которые, в свою очередь, могут являться метильным донатором в биоВнсинтезе многих важных для организма соединений. Наиболее полно изучено участие его в биосинтезе креатина: окисляясь в присутствии аденозинфосфорной кислоты и неорганического фосфора, он передает метильную группу на непосредственного предшественника креатина тАФ гуанидинуксусную кислоту; в этих же направлениях он влияет в биоВнсинтезе холина, метионина, адреналина, стеринов и стероидных горВнмонов.
Поступление в организм соединений с подвижными метильными группами предотвращает жировую инфильтрацию печени. И здесь панВнгамат кальция действует так же активно, как метионин, холин, бетаин, фолиевая кислота и цианкобаламин. Кроме того, он активизирует ферВнменты дыхания Кребса, благодаря чему восстанавливается нарушенВнная обменная активность миокарда. Пангамат кальция благоприятно влияет при ишемии миокарда. Улучшая кислородный обмен в оргаВннизме, препарат действует весьма благоприятно при многих гипокси-ческих и аноксических состояниях организма, ревмокардите, ишемии миокарда, аритмиях сердечных сокращений, цианозах, усиливает биоВнсинтез холина, а через него и ацетилхолина.
Пангамат кальция уменьшает содержание молочной кислоты в мышцах и увеличивает йодное число липидов. При подкожном введении кальция пангамата вызывает кратковреВнменную лейкопению, а затем умеренный лейкоцитоз. В медицинской клинике он показан при атеросклерозе и склерозе коронарных сосудов, при миокардитах, облитерирующем атеросклерозе ног,, легкой форме диабета, при разных формах коронарной недостаточности, при ревмаВнтизме, гепатитах, циррозах печени, при спазмах сосудов мозга, эри-тремиях.
Весьма существенно детоксицирующее влияние соединений кальция пангамата. Они действуют благоприятно при отравлениях нарВнкотиками, салицилатами, карбахолином, кортизоном, четыреххлориВнстым углеродом, дихлорэтаном, антибиотиками тетрациклинового ряда и др. Полагают, что такое влияние их связано с метилирующей споВнсобностью и активизацией окислительных процессов в организме.
В животноводстве препарат назначают для ослабления токсических симптомов при отравлениях наркотиками, четыреххлористым углероВндом, тетрациклиновыми антибиотиками, кортикостероидами, как леВнчебное средство при хронических гепатитах и начальных стадиях цирВнроза печени; при разных формах ослабления активности сердечной мышцы; при гипоксических состояниях организма животных; при за- болеваниях, сопровождающихся нарушением липидного обмена и усвое-ния кислорода тканями.
Кальция пангамат применяют внутрь и под кожу в дозах (ориенВнтировочно): 1тАФ3 мг/кг. Действие его проявляется медленно, препарат назначают длительно (10тАФ20 дней).
В чистом виде аскорбиновая кислота тАФ бесцветные кристаллы или белый кристаллический порошок без запаха, кислого вкуса, растворяется в воде (при 0В°СтАФ13,6%, при 24В°тАФ22,4%, при 50В°тАФ38,2%, при 100В°СтАФ57,5%). Термостабильна, устойчива при храВннении. Водные ее растворы можно хранить только в ампулах, так как она легко окисляется в присутствии воздуха. Сохраняется она только в кислой среде, а в щелочной быстро разрушается. Несовместима с пеВнрекисью водорода, калия перманганатом и другими окислителями, а также с йодом, карбонатами и гидрокарбонатами, с препаратами сеВнребра.
В основе фармакологической активности аскорбиновой кислоты лежит способность ее к окислительно-восстановительным реакциям
Вместе с этим смотрят:
Cовершенствование организации производства молока на КПУП "ГМЗ № 3"
Cостояние полезащитных лесных полос в северном Приднестровье
РЖнтегрований захист озимоi пшеницi
РЖнтенсифiкацiя та ii економiчна ефективнiсть у сiльському господарствi