Исследование систем управление на примере ООО ВлАленаВ»
Министерство образования Российской Федерации
Уральский социально-экономический институт
Академии труда и социальных отношений
Курсовая работа
по дисциплине
Исследование систем управления
Исследование систем управление на примере ООО ВлАленаВ»
Челябинск
2003
Содержание
Введение | 3 |
| 1. Анализ предприятия как объекта управление | 4 |
| 1.1. Система управление: понятие, факторы влияющие на управление | 4 |
| 1.2. Иерархические типы структур управления | 6 |
| 1.3. Органические типы структур управления | 11 |
| 1.4. Структура управление ООО ВлАленаВ» | 16 |
| 2. Уточнение целей системы управление и выбор критериев эффективности | 22 |
| 3. Исследование и проектирование функций управления | 23 |
| 4. Исследование и проектирование структуры управления. | 26 |
| 5. Исследование роли человеческого фактора. | 28 |
| Заключение | 30 |
| Литература | 31 |
Введение
Трудно переоценить роль организаций в жизни общества, поскольку вся жизнь человека протекает в рамках различных организаций. Семья, школа, коллектив, в котором проходит работа или учёба, - это различные типы организаций. В настоящей работе основное внимание уделено деловым организациям, занимающимся хозяйственной и коммерческой деятельностью, предприятиям, фирмам, компаниями.
Отличительной чертой работы этих организаций в настоящее время состоит в том, что они действуют в постоянно меняющихся экономических условиях. И чтобы выжить и сохранить способность к развитию предприятия должны постоянно адаптироваться к окружающей их среде. Это обстоятельство накладывает определённые требования к система управления организацией. Она должна отвечать современным рыночным условиям: быть достаточно гибкой, быть адекватной сложной технологии производства, учитывать серьёзную конкуренцию на рынке товаров (услуг), учитывать требования к уровню качества обслуживания, принимать во внимание неопределённости внешней среды и некоторые другие требования.
Развитие и совершенствование предприятия базируется на тщательном и глубоком знании деятельности организации, что требует проведения исследования систем управления.
Система управления организацией является сложной системой, созданной для сбора, анализа и переработки информации с целью получения максимального конечного результата при определённых ограничениях.
В настоящей работе сделана попытка анализа различных систем управление организациями, рассмотрен алгоритм её построения. На основе теоретических знаний проведён анализ структуры управления ООО ВлАленаВ», сделаны предложения по улучшения структуры управления.
1. Анализ предприятия как объекта управления
1.1 Система управление: понятие, факторы, влияющие на управление
Экономическая стабильность организации, её выживаемость и эффективность деятельности в условиях рыночных отношений неразрывно связаны с её непрерывным совершенствованием и развитием. При этом совершенствование организации должно осуществляться по принципу адаптации к внешней среде.
Сегодня достаточно ясно обозначились факторы, определяющие необходимость постоянных внутренних изменений для адаптации организации к внешней среде. Это:
- рынок сбыта производимой или продаваемой продукции и вида услуг;
- рынок поставщика или потребителя исходных материалов, энергии, товаров и услуг;
- финансовый рынок;
- рынок труда;
- окружающая природная среда.
Без учета этих факторов невозможно планировать стратегию развития. Поэтому успех любого предприятия или организации и возможность их выживания зависят от способности быстро адаптироваться к внешним изменениям.
Прежде чем перейти к анализу предприятия ООО ВлАленаВ», как некой управляемой системе, имеющей внутреннюю структуру, существующую в независимой от собственников внешней среде, дадим некоторые основные понятия.
Организация тАУ это открытая система взаимодействующих и управляемых частей (подразделений, людей и т.д.), работающая с определённой целью, смыслом, миссией и имеющая в своём распоряжении ресурсы:
1) финансовые ресурсы;
2) материальные ресурсы (оборудование и т.п.);
3) людские ресурсы;
4) информационные ресурсы;
5) временные ресурсы.
Любая организация, вне зависимости от её назначения, может быть описана с помощью ряда параметров, среди которых главными являются: цели организации, её организационная структура, внешняя и внутренняя среда, совокупность ресурсов, нормативная и правовая основа, специфика процессов функционирования, система социальных и экономических отношений, организационная культура. Каждая организация имеет свою систему управления, которая также является предметом исследования.
Управление тАУ это процесс распределения и движения указанных выше видов ресурсов в организации с заранее заданной целью по заранее разработанному стратегическому плану с непрерывным контролем результатов работ.
Система управления тАУ это совокупность действий, определяющих направление управленческой деятельности. Структурно процесс управление представлен на рис. 1.1

Система управления должна отвечать современным рыночным условиям (8):
- обладать высокой гибкостью производства, позволяющей быстро изменять ассортимент изделий (услуг);
- быть адекватной сложной технологии производства, требующей совершено новых видов контроля, организации и разделения труда;
- учитывать серьёзную конкуренцию на рынке товаров и услуг, в корне изменившую требования к качеству продукции, потребовавшую организовать послепродажное обслуживание и дополнительные фирменные услуги;
- учитывать требования к уровню качества обслуживания потребителей и времени выполнения договоров, которые стали слишком высокими для традиционных производственных систем и механизмов принятия решений.
- учитывать изменение структуры издержек производства;
- принимать во внимание необходимость учёта неопределённости внешней среды.
Процесс управления предусматривает согласованные действия, которые обеспечивают осуществление общей цели или набора целей, стоящих перед организацией. Для координации действий должен существовать специальный орган, реализующий функцию управление. Поэтому в любой организации выделяется управляемая и управляемые части. Схема взаимодействия между ними показана на рис. 1.2 (7)
Часть деловой организации, реализующая функции управления, состоит из многих взаимодействующих звеньев и представляет собой управляющую систему, обеспечивающую в рамках организации выполнение ряда специфических функций. На сегодня одним из основных принципов построения любых систем является иерархия. В современной теории организации понятие ВлиерархияВ» применяется, в основном, для отражения вертикального подчинения между различными уровнями управление организацией: иерархией властных полномочий, иерархией функций и функциональных обязанностей - соответственно подчинение по службе, функциональное подчинение.
Современный тип иерархической структуры управления имеет много разновидностей. Их можно условно разделить на два вида: бюрократической и органические типы структур управления. Приведем краткую характеристику основных организационных структур.
1.2. Иерархические типы структур управления
Структуры управления на многих современных предприятиях были построены в соответствии с принципами управления, сформулированными еще в начале ХХ века. Наиболее полную формулировку этих принципов дал немецкий социолог Макс Вебер (концепция рациональной бюрократии):
- принцип иерархичности уровней управления, при котором каждый нижестоящий уровень контролируется вышестоящим и подчиняется ему;
- вытекающий из него принцип соответствия полномочий и ответственности работников управления месту в иерархии;
- принцип разделения труда на отдельные функции и специализации работников по выполняемым функциям; принцип формализации и стандартизации деятельности, обеспечивающий однородность выполнения работниками своих обязанностей и скоординированность различных задач;
- вытекающий из него принцип обезличенности выполнения работниками своих функций;
- принцип квалификационного отбора, в соответствии с которым найм и увольнение с работы производится в строгом соответствии с квалификационными требованиями.
Организационная структура управление, построенная в соответствии с этими принципами, получила название иерархической или бюрократической структуры.
Распространенным типами такой структуры является: линейно - функциональная (линейная структура), линейно-штабная организационная структура управления, дивизионная
Линейная организационная структура
Основы линейных структур составляет так называемый "шахтный" принцип построения и специализация управленческого процесса по функциональным подсистемам организации (маркетинг, производство, исследования и разработки, финансы, персонал и т. д. ). По каждой подсистеме формируется иерархия служб ("шахта"), пронизывающая всю организацию сверху донизу (см. рис. 1.3.). Результаты работы каждой службы оцениваются показателями, характеризующими выполнение ими своих целей и задач. Соответственно строится и система мотивации и поощрения работников. При этом конечный результат (эффективность и качество работы организации в целом) становится как бы второстепенным, так как считается, что все службы в той или иной мере работают на его получение.
Достоинства линейной структуры:
- четкая система взаимных связей функций и подразделений;
- четкая система единоначалия - один руководитель сосредотачивает в своих руках руководство всей совокупностью процессов, имеющих общую цель;
- ясно выраженная ответственность; быстрая реакция исполнительных подразделений на прямые указания вышестоящих
Недостатки линейной структуры:
- отсутствие звеньев, занимающихся вопросами стратегического планирования; в работе руководителей практически всех уровней оперативные проблемы ("текучка") доминирует над стратегическими;
-
![]() |
Рис. 1.3. Линейная структура управление
- тенденция к волоките и перекладыванию ответственности при решении проблем, требующих участия нескольких подразделений;
- малая гибкость и приспособляемость к изменению ситуации;
- критерии эффективности и качества работы подразделений и организации в целом - разные;
- тенденция к формализации оценки эффективности и качества работы подразделений приводит обычно к возникновению атмосферы страха и разобщенности;
- большое число "этажей управления" между работниками, выпускающими продукцию, и лицом, принимающим решение;
- перегрузка управленцев верхнего уровня;
- повышенная зависимость результатов работы организации от квалификации, личных и деловых качеств высших управленцев.
Линейно - штабная организационная структура
Такой вид организационной структуры является развитием линейной и призван ликвидировать ее важнейший недостаток, связанный с отсутствием звеньев стратегического планирования. Линейно - штабная структура включает в себя специализированные подразделения (штабы), которые не обладают правами принятия решений и руководства какими - либо нижестоящими подразделениями, а лишь помогают соответствующему руководителю в выполнении отдельных функций, прежде всего, функций стратегического планирования и анализа. В остальном эта структура соответствует линейной (Рис.1.4 ).

Рис. 1.4 Линейно - штабная структура управления
Достоинства линейно - штабной структуры:
- более глубокая, чем в линейной, проработка стратегических вопросов;
- некоторая разгрузка высших руководителей;
- возможность привлечения внешних консультантов и экспертов;
- при наделении штабных подразделений правами функционального руководства такая структура - хороший первый шаг к более эффективным органическим структурам управления.
Недостатки линейно - штабной структуры:
- недостаточно четкое распределение ответственности, т. к. лица, готовящие решение, не участвуют в его выполнении;
- тенденции к чрезмерной централизации управления;
- аналогичные линейной структуре, частично - в ослабленном виде.
Дивизионная структура управления
Уже к концу 20-х годов стала ясна необходимость новых подходов к организации управления, связанная с резким увеличением размеров предприятий, диверсификацией их деятельности (многопрофильностью ), усложнением технологических процессов в условиях динамически меняющегося окружения. В связи с этим стали возникать дивизионные структуры управления, прежде всего в крупных корпорациях, которые стали предоставлять определенную самостоятельность своим производственным подразделениям, оставляя за руководством корпорации стратегию развития, научно - исследовательские разработки, финансовую и инвестиционную политику и т. п. В этом типе структур сделана попытка сочетать централизованную координацию и контроль деятельности с децентрализованным управлением. Пик внедрения дивизионных структур управления пришелся на 60 - 70-е годы (рис. 1.5).
Ключевыми фигурами в управлении организациями с дивизионной структурой являются уже не руководители функциональных подразделений, а менеджеры, возглавляющие производственные отделения (дивизионы). Структуризация по дивизионам, как правило, производится по одному из критериев: по выпускаемой продукции (изделиям или услугам) - продуктовая специализация; по ориентации на определенные группы потребителей - потребительская специализация; по обслуживаемым территориям - региональная специализация. В нашей стране аналогичные структуры управления широко внедрялись, начиная с 60-х годов в форме создания производственных объединений.
Достоинства дивизионной структуры:
- она обеспечивает управление многопрофильными предприятиями с общей численностью сотрудников порядка сотен тысяч и территориально удаленными подразделениями;
- обеспечивает большую гибкость и более быструю реакцию на изменения в окружении предприятия по сравнению с линейной и линейно - штабной;
- при расширении границ самостоятельности отделений они становятся "центрами получения прибыли", активно работая на повышении эффективности и качества производства;
- более тесная связь производства с потребителями.
Недостатки дивизионной структуры:
- большое количество "этажей" управленческой вертикали; между рабочими и управляющим производством подразделения - 3 и более уровня управления, между рабочими и руководством компании - 5 и более;
- разобщенность штабных структур отделений от штабов компании;
- основные связи - вертикальные, поэтому остаются общие для иерархических структур недостатки - волокита, перегруженность управленцев, плохое взаимодействие при решении вопросов, смежных для подразделений и т. д. ;
- дублирование функций на разных "этажах" и как следствие - очень высокие затраты на содержание управленческой структуры
- в отделениях, как правило, сохраняется линейная или линейно - штабная структура со всеми их недостатками.

Рис. 1.5 Дивизионная структура управления
1.3. Органические типы структур управления
Органические или адаптивные структуры управления стали развиваться примерно с конца 70-х годов, когда, с одной стороны, создание международного рынка товаров и услуг резко обострило конкуренцию среди предприятий и жизнь потребовала от предприятий высокой эффективности и качества работы и быстрой реакции на изменения рынка, и с другой стороны, стала очевидной неспособность структур иерархического типа этим условиям соответствовать. Главным свойством управленческих структур органического типа является их способность изменять свою форму, приспосабливаясь к изменяющимся условиям. Разновидностями структур этого типа являются проектные, матричные (программно-целевые), бригадные формы структур. При внедрении этих структур необходимо одновременно изменять и взаимоотношения между подразделениями предприятия. Если же сохранять систему планирования, контроля, распределения ресурсов, стиль руководства, методы мотивации персонала, не поддерживать стремление работников к саморазвитию, результаты внедрения таких структур могут быть отрицательными.
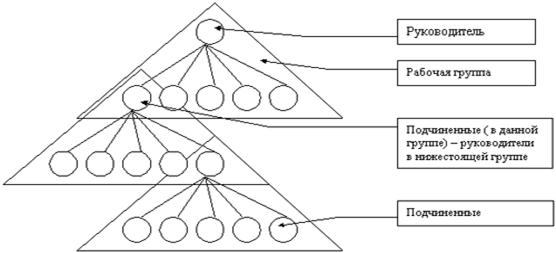
Бригадная (кросс - функциональная) структура управления
Основой этой структуры управления является организация работ по рабочим группам (бригадам). Форма бригадной организации работ - достаточно древняя организационная форма, достаточно вспомнить рабочие артели, но только с 80-х годов началось ее активное применение как структуры управления организацией, во многом прямо противоположной иерархическому типу структур. Основными принципами такой организации управления являются:
- автономная работа рабочих групп (бригад);
- самостоятельное принятие решений рабочими группами и координация деятельности по горизонтали;
- замена жестких управленческих связей бюрократического типа гибкими связями;
- привлечение для разработки и решения задач сотрудников разных подразделений.
Эти принципы разрушает свойственное иерархическим структурам жесткое распределение сотрудников по производственным, инженерно-техническим, экономическим и управленческим службам, которые образуют изолированные системы со своими целевыми установками и интересами.
В организации, построенной по этим принципам, могут как сохраняться функциональные подразделения ( рис. 1.6), так отсутствовать (рис. 1.7). В первом случае работники находятся под двойным подчинением - административным (руководителю функционального подразделения, в котором они работают) и функциональным (руководителю рабочей группы или бригады, в которую они входят). Такая форма организации называется кросс-функциональной, во многом она близка к матричной. Во втором случае функциональные подразделения как таковые отсутствуют, ее мы будем назвать собственно бригадной. Такая форма достаточно широко применяется в организации управления по проектам.
Преимущества бригадной (кросс-функциональной) структуры:
- сокращение управленческого аппарата, повышение эффективности управления;
- гибкое использование кадров, их знаний и компетентности;
- работа в группах создает условия для самосовершенствования;
- возможность применения эффективных методов планирования и управления;
- сокращается потребность в специалистах широкого профиля.

Рис. 1.6 Кросс - функциональная организационная структура
Недостатки бригадной (кросс-функциональной) структуры:
- усложнение взаимодействия (в особенности для кросс-функциональной структуры);
- сложность в координации работ отдельных бригад;
- высокая квалификация и ответственность персонала;
- высокие требования к коммуникациям.

Рис. 1.7 Структура организации, состоящей из рабочих групп (бригадная)
Проектная структура управления
Основным принципом построения проектной структуры является концепция проекта, под которым понимается любое целенаправленное изменение в системе, например, освоение и производство нового изделия, внедрение новых технологий, строительство объектов и т. д. Деятельность предприятия рассматривается как совокупность выполняемых проектов, каждый из которых имеет фиксированное начало и окончание. Под каждый проект выделяются трудовые, финансовые, промышленные и т. д. ресурсы, которыми распоряжается руководитель проекта. Каждый проект имеет свою структуру, и управление проектом включает определение его целей, формирование структуры, планирование и организацию работ, координацию действий исполнителей. После выполнения проекта структура проекта распадается, ее компоненты, включая сотрудников, переходят в новый проект или увольняются (если они работали на контрактной основе). По форме структура управления по проектам может соответствовать как бригадной (кросс-функциональной) структуре, так и дивизионной структуре, в которой определенный дивизион (отделение) существует не постоянно, а на срок выполнения проекта.
Преимущества структуры управления по проектам:
- высокая гибкость;
- сокращение численности управленческого персонала по сравнению с иерархическими структурами.
Недостатки структуры управления по проектам:
- очень высокие требования квалификации, личным и деловым качествам руководителя проекта, который должен не только управлять всеми стадиями жизненного цикла проекта, но и учитывать место проекта в сети проектов компании;
- дробление ресурсов между проектами;
- сложность взаимодействия большого числа проектов в компании;
- усложнение процесса развития организации как единого целого.
Вывод: преимущества перевешивают недостатки на предприятиях с небольшим числом одновременно выполняемых проектов. Возможности воплощения принципов современной философии качества определяются формой управления проектами.
Матричная (программно - целевая) структура управления
Такая структура представляет собой сетевую структуру, построенную на принципе двойного подчинения исполнителей: с одной стороны - непосредственному руководителю функциональной службы, которая предоставляет персонал и техническую помощь руководителю проекта, с другой - руководителю проекта или целевой программы, который наделен необходимыми полномочиями для осуществления процесса управления. При такой организации руководитель проекта взаимодействует с 2-мя группами подчиненных: с постоянными членами проектной группы и с другими работниками функциональных отделов, которые подчиняются ему временно и по ограниченному кругу вопросов. При этом сохраняется их подчинение непосредственным руководителям подразделений, отделов, служб. Для деятельности, которая имеет четко выраженное начало и окончание, формируют проекты, для постоянной деятельности - целевые программы. В организации и проекты, и целевые программы могут сосуществовать. Пример матричной программно - целевой структуры управления (фирма "Тойота") приведен на рис. 1.8. Эта структура была предложена Каори Ишикава в 70-х годах и с небольшими изменениями функционирует по сей день не только на фирме "Тойота", но и на многих других фирмах по всему миру.
Преимущества матричной структуры:
- лучшая ориентация на проектные (или программные) цели и спрос;
- более эффективное текущее управление, возможность снижения расходов и повышения эффективности использования ресурсов;

- более гибкое и эффективное использование персонала организации, специальных знаний и компетентности сотрудников;
- относительная автономность проектных групп или программных комитетов способствует развитию у работников навыков принятия решений, управленческой культуры, профессиональных навыков;
- улучшение контроля за отдельными задачами проекта или целевой программы;
- любая работа организационно оформляется, назначается одно лицо - "хозяин" процесса, служащее центром сосредоточения всех вопросов, касающихся проекта или целевой программы;
- сокращается время реакции на нужды проекта или программы, т. к. созданы горизонтальные коммуникации и единый центр принятия решений.
Недостатки матричных структур:
- трудность установления четкой ответственности за работу по заданию подразделения и по заданию проекта или программы (следствие двойного подчинения);
- необходимость постоянного контроля за соотношением ресурсов, выделяемых подразделениям и программам или проектам;
- высокие требования к квалификации, личным и деловым качествам работников, работающих в группах, необходимость их обучения;
- частые конфликтные ситуации между руководителями подразделений и проектов или программ;
- возможность нарушения правил и стандартов, принятых в функциональных подразделениях, из-за оторванности сотрудников, участвующих в проекте или программе, от своих подразделений.
1.4. Структура управление ООО ВлАленаВ»
Попробуем, без претензий на полноту исследования в силу сложности взаимосвязей и взаимозависимостей, применить теоретические положения применить к предприятию ООО ВлАленаВ».
1.4.1 История предприятия
Это кафе в небольшом провинциальном городе Н-ск. Город Н-ск расположен недалеко от областного центра Челябинской области. Кафе было создано на базе бывшей диетической столовой, существующей на первом этаже двухэтажного дома со дня его строительства в середине 50-х годов.
Долгие социалистические годы жители города добывали уголь, получали относительно высокую заработную плату. Свои ВлкровныеВ» рубли по вечерам они несли в рестораны ВлШахтёрВ» и ВлУралВ», оставляли их в немногочисленных ВлветеркахВ». Эти два типа питейных заведений с небольшой добавкой к питию нескольких простых блюд других услуг не оказывали.
Проведённые для блага народа экономические и политические реформы резко снизили уровень жизни жителей города. Ресторан ВлУралВ» не выдержал ВлбезклиентскогоВ» существования, на его площадях в настоящее время работает несколько магазинов. Диетическая столовая стала не рентабельной, некоторое время пыталась выстоять, но затем была закрыта.
Но в последние годы обнаружилось небольшое оживление. В городе сложились группы людей обладающие относительно высоким уровнем достатка, желающие хорошо отдохнуть, провести время в вечерние время, выходные дни.
Площади бывшей диетической столовой были приобретены предпринимателем Сергеем Р. Помещения были отремонтированы, установлено новое оборудование, набран персонал. Кафе начало свою работу 8 августа 2002 года. Основной расчёт проводился на клиентов, имеющих доход выше среднего по городу, средней возрастной группы.
1.4.2 Структура управление предприятием.
Общество с ограниченной ответственностью ВлАленаВ» является юридически независимым лицом, однако экономически таковым не является. Его учредителями являются Сергей и Алёна Р. В собственности этой семьи имеются ещё три предприятия: ООО ВлЛесВ», ООО ВлКомбинат бытовых услугВ», ООО ВлДжи-барВ». Последнее общество тАУ это бывший ресторан ВлШахтерВ». Он приобретён для предоставления более дорогих услуг, в сравнении с ООО ВлАленаВ», в сфере отдыха и рассчитан на клиентов, имеющих по понятиям города Н-ска высокий уровень достатка. В настоящее время предложения качественных услуг в сфере отдыха и развлечений такого рода клиентам в городе отсутствует. В помещениях ВлДжи-бараВ» вёдется ремонт, установка нового оборудования, возможно летом 2003 года он начнёт свою деятельность.
Все предприятия взаимосвязаны и взаимозависимы финансовыми и материальными потоками. Естественно, что руководители холдинга ставят перед ним более общие задачи, чем перед конкретными предприятиями, входящим в холдинг.
Эта структура управления холдингом является линейно-штабной. Она для ООО ВлАленаВ» является в определённой мере внешней, хотя и управляемой со стороны руководителя холдинга
С момента своего открытия оказывает своим клиентам следующие услуги:
- проводятся свадьбы, юбилейные торжества, торжественные мероприятия для различных предприятий и фирм;
- проводятся вечера отдыха для небольших групп клиентов (приходят отдохнуть и провести вечер семьей и с друзьями, отметить день рождения узким кругом друзей и близких);
- для небольших компаний имеется банкетная комната, где можно отдохнуть в уютной о теплой обстановке;
в выходные дни на небольшой площадке играет в ВлживуюВ» оркестр.
![]() |
Клиентам подается
- пиво 8-10 сортов;
- вино-водочные напитки;
- самые разнообразные холодные и некоторые горячие закуски;
- кондитерские изделия, конфеты, шоколад;
- горячие вторые, реже, по заказам клиентов первые блюда.
Меню торжественных мероприятий оговаривается отдельно и практически целиком определяется желанием клиентов. Часть блюд и продуктов закупается и подается в готовом виде или после подогрева, часть готовится на кухне заведения.
Это список услуг, меню кафе были продуманы заранее ещё до при приобретения диетической столовой. Они по сути и определили структуру управление предприятием. Другим фактором повлиявшим на управленческую структуру было понимание миссии предприятия. В настоящее время понятие миссии кафе ВлБалогВ» явным образом не сформулирована и до работников предприятия не доведена. Однако реально она существует в понимании и отношениях к персоналу, клиентам, к технологии управление обществом. Для понимания миссии предприятия был проведен опрос ключевых руководителей Общества, Сергея и Алёны Р. Вот как они её видят:
Сергей Р.: Предприятие создано и работает для получения прибыли через качественное предоставление услуг клиентам.
Алена Р.: Миссия предприятия в том, чтобы Влскрасить досуг людей, живущих в нашем городе. В городе мало мест, где люди могут полноценно отдохнуть. Необходимо сделать все, чтобы ожидания людей оправдалисьВ»
Уже на уровне миссии предприятия заложены определённые противоречия в фундаменте предприятия: предоставление полноценного отдыха по приемлемой цене для клиентов может привести к убыточности в работе предприятия, стремление к прибыльности, в том числе за счет снижения затрат, может привести к снижению качества обслуживания, снижению качества отдыха.
![]() |
Указанный комплекс факторов привел к формированию такой структуры линейной структуры управления ООО ВлАленаВ» (см. рис. 1.9.). Следует добавить, что должность администратора, бухгалтера и экспедитора исполняет одни человек тАУ Алёна Р. В этом совмещении, возможно, отражается стремление минимизировать расходы общества, работать с большей прибылью. Однако, совмещать три различных функции в одном лице достаточно трудно. На наш взгляд необходимо разделить три функции, бухгалтер должна заниматься непосредственно бухгалтерией, а функции администратора и экспедитора возможно совмещать в одном лице. Это одно из предложений по развитию системы управление обществом, о котором будет сказано ниже.
Под указанный комплекс услуг было приобретено и установлено оборудование (см. табл. 1.1), общей стоимостью свыше 40 тысяч рублей.
К настоящему моменту времени клиентская база более-менее установилась, стабилизировались внешние связи (см. рис. 1.10) и внутренние взаимодействия.
Внутренние взаимодействия выстроены таким образом, чтобы максимально (при выполнении ограничений о которых было сказано выше) быстро и качественно выполнять заказы клиентов, удовлетворять требованиям контролирующих органов, расплачиваться с монополистами.
Таблица 1.1
Оборудование ООО ВлАленаВ»
| № п.п. | Тип оборудования | Количество | Назначение, виды продукции |
| 1. | Электролита | 1 | Первые и вторые блюда |
| 2. | Жарочный шкаф | 1 | Кондитерские изделия |
| 3. | Фритюрница | 1 | Пельмени, блюда из овощей, картофеля |
| 4. | Микроволновая печь | 1 | Быстрое изготовление блюд из полуфабрикатов и подогрев готовых блюд. |
| 5. | Миксер | 1 | Соусы, напитки |
| 6. | Электрический чайник | 2 | Горячая вода для кофе, чая |
В качестве примера можно привести информационную цепочку работы с клиентом заказывающим небольшое мероприятия (день рождения, свадьба узким кругом друзей, юбилейные торжества у какой-либо фирмы и некоторые другие массовые мероприятия, заказ на которые поступает за несколько дней до самого мероприятия).

Клиента встречает официант. Он знает, какой имеется базовый набор блюд, напитков, что может приготовить дополнительно производственный отдел. В ходе переговоров стороны согласуют список блюд и напитков. Официант ставит в известность своего непосредственного руководителя - бармена и администратора о поступившем заказе, а также, справочно, повара тАУ руководителя производственного отдела. Администратор (иногда бармен) ставит задачу перед руководителем производственного отдела, вместе сверяют наличие продуктов, напитков и сроки поставки тех, что отсутствуют. Эта полученная от администратора информация является для повара фактически приказом к исполнению. В дальнейшем информацию о потребности клиента повар может уточнить у официанта, но для этого уже не потребуется дополнительного распоряжения администратора или директора Обмен устанавливается на горизонтальном уровне: клиент тАУ официант тАУ повар тАУ экспедитор тАУ поставщик требуемого продукта (напитка).
Одновременно администратор ставит в известность директора о мероприятии, и уже как бухгалтер готовит платежные поручения для оплаты закупаемых продуктов и напитков. Директор ставит задачу перед охраной, даёт распоряжение на проведение оплаты продуктов, напитков.
При работе с текущими клиентами. Информационные связи упрощаются. Они имеют горизонтальный характер: посетитель заказывает имеющиеся в наличии блюда и напитки у официанта или бармена, заказ исполняется из продуктов и напитков в баре, горячие блюда и некоторые закуски заказываются в производственном отделе. При этом бармен контролирует качество и своевременность исполнения заказов официантом. Официант при необходимости может дать команду охране на удалении из бара слишком расшумевшегося посетителя, или по ВлтревожнойВ» кнопке вызвать милицию, когда с ситуацией охрана может не справиться (что бывает крайне редко) становится не
Сложившаяся система управления близко напоминает линейно-функциональную с присущими для неё достоинствами и недостатками. Она нацелена на выполнение постоянно повторяющихся рутинных задач, не требующих оперативного принятия решений. Все службы имеют в своём составе специалистов высокой квалификации, выполняющих в зависимости от возложенных на них задач конкретные виды деятельности. Некоторые присущие этой структуре управление в ООО ВлАленаВ» такие как: длительная процедура принятия решений, возникновение конфликтов из-за несогласия с директивами, так как каждый функциональный руководитель ставит свои вопросы на первое место, практически отсутствуют. Это связано с тем, что коллектив ООО ВлАленаВ» небольшой, все структурные элементы управления прозрачны и легко взаимодействуют друг с другом.
Однако серьезной проблемой становится по мере увеличения числа клиентов нагрузка на администратора тАУбухгалтера -экспедитора. Алёна Р., исполняющая все эти роли, сильно устает, не всегда справляется некоторыми возложенными на неё обязанностями.
2. Уточнение целей системы и выбор критериев эффективности
В процессе проектирования организационных систем целесообразно ориентироваться на такие понятия , как официальные, оперативные и операционные цели.
Официальные цели соответствуют общему назначению, миссии стратегическим замыслам орган
Вместе с этим смотрят:
"Управленческая борьба" - ведение переговоров
Cамоорганизация как процесс саморазвития
Cистема управлiння зовнiшньоекономiчною дiяльнiстю ЗАТ "Харкiв'янка"


