Оптимальные и адаптивные системы
- корни вещественные


Сумма двух экспонент представляет собой:

Если
, то корни комплексно-сопряженные и решение будет представлять собой периодическую функцию. В реальной системе, переключений не более 5 - 6.
Метод поверхности переключений
Данный метод позволяет найти управление функций переменной состояния для случая когда оптимальное управление носит релейный характер
.
Таким образом этот метод можно применять при решении задач оптимального быстродействия, для объекта с аддитивным управлением
,
.
Суть метода заключается в том, чтобы во всём пространстве состояний выделить точки, где происходит смена знака управления и объединить их в общую поверхность переключений.
,
- поверхность переключений
.
Закон управления будет иметь следующий вид
.
Для формирования поверхности переключений удобнее рассматривать переход из произвольной начальной точки в начало координат
.
Если конечная точка не совпадает с началом координат, то необходимо выбрать новые переменные, для которых это условие будет справедливо.
Имеем объект вида
.
Рассматриваем переход
, с критерием оптимальности
.
Этот критерий позволяет найти закон управления такого вида
,
с неизвестным
, начальные условия
нам также неизвестны.
Рассматриваем переход:

Метод обратного времени
(метод попятного движения)
Этот метод позволяет определить поверхности переключений.
Суть метода заключается в том, что начальная и конечная точки меняются местами, при этом вместо двух совокупностей начальных условий остаётся одна для
.
Каждая из этих траекторий будет оптимальна. Сначала находим точки, где управление меняет знак и объединяем их в поверхность, а затем направление движения меняем на противоположное.

Пример
Передаточная функция объекта имеет вид
.
Критерий оптимальности быстродействия

Ограничение на управление
.
Рассмотрим переход
.
1)
,
2)
.
3)

оптимальное управление будет иметь релейный характер
.
4) Перейдём в обратное время (т.е.
). В обратном времени задача будет иметь такой вид
.
5) Рассмотрим два случая:
Получим уравнения замкнутой системы
.
Воспользуемся методом непосредственного интегрирования, получим зависимость
от
и поскольку
-
, то имеем
,
т.к. начальные и конечные точки поменяли местами, то
,
получим
, (*)
аналогично


подставив (*), получим
,
отсюда
.
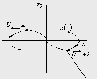
Построим получившееся и по методу фазовой плоскости определим направление


Применив метод непосредственного интегрирования, получим:


,


,
.
Функция будет иметь вид:

Изменив направление

точка смены знака
(точка переключения)
Общее аналитическое выражение:
.
Уравнение поверхности:
.
Оптимальный закон управления:
,
подставив уравнение поверхности, получим:
.
2.5. Субоптимальные системы
Субоптимальные системы - это системы близкие по свойствам к оптимальным

- характеризуется критерием оптимальности.

- абсолютная погрешность.
- относительная погрешность.
Субоптимальным называют процесс близкий к оптимальному с заданной точностью.
Субоптимальная система - система где есть хоть один субоптимальный процесс.
Субоптимальные системы получаются в следующих случаях:
при аппроксимации поверхности переключений (с помощью кусочно-линейной аппроксимации, аппроксимация с помощью сплайнов);

при
в субоптимальной системе будет возникать оптимальный процесс.
ограничение рабочей области пространства состояний;


3.АДАПТИВНЫЕ СИСТЕМЫ
3.1.Основные понятия
Адаптивными системами называют такие системы, в которых параметры регулятора меняются вслед за изменением параметров объекта, таким образом, чтобы поведение системы в целом оставалось неизменным и соответствовало желаемому:
,
.
Существует два направления в теории адаптивных систем:
адаптивные системы с эталонной моделью (АСЭМ);
адаптивные системы с идентификатором (АСИ).
Адаптивные системы с идентификатором
Идентификатор - устройство оценки параметров объекта (оценка параметВнров должна осуществляться в реальном времени).


АР - адаптивный регулятор
ОУ - объект управления
U - идентификатор
Часть, которая выделена пунктиром, может быть реализована в цифровом виде.
Рис1. Функциональная схема АСИ
V, U, X - могут быть векторы. Объект может быть многоканальным.
Рассмотрим работу системы.
В случае неизменных параметров объекта, структура и параметры адаптивного регулятора не меняются, действует главная обратная связь, сисВнтема представляет собой систему стабилизации.
Если параметры объекта меняются, то они оцениваются идентификатоВнром в реальном времени и происходит изменение структуры и параметров адаптивного регулятора так, чтобы поведение системы оставалось неизменВнным.
Основные требования предъявляются к идентификатору (быстродействие и т.д.) и к самому алгоритму идентификации.
Такой класс систем используют для управления объектами с медленными нестационарностями.
Если мы имеем нестационарный объект общего вида:
,
,
.
Простейший адаптивный вид будет следующий:
.
Требования, которые предъявляются к системе:
, (*)
,
где
и
- матрицы постоянных коэффициентов.
Реально мы имеем:

или
(**)
Если приравнять (*) и (**), то получим соотношение для определения параметров регулятора

3.3.Адаптивные системы с эталонной моделью
В таких системах существует эталонная модель (ЭМ), которая ставится параллельно объекту.

БА - блок адаптации.
Рис2. Функциональная схема АСЭМ
Рассмотрим работу системы.
В том случае, когда параметры объекта не меняются или процессы на выходе соответствуют эталонным, ошибка
, не работает блок адаптации и не перестраивается адаптивный регулятор, в системе действует плавная обратная связь.
Если поведение отлично от эталонного, это происходит при изменении параметров объекта, в этом случае появляется ошибка
, включается блок адаптации, перестраивается структура адаптивного регулятора, таким образом чтобы свести к эталонной модели объекта.
Блок адаптации должен сводить ошибку к нулю (
).
Алгоритм, закладываемый в блок адаптации, формируется различными способами, например, с использованием второго метода Ляпунова:
.
Если это будет выполняться, то система будет асимптотически устойчива и
.
Вместе с этим смотрят:
11-этажный жилой дом с мансардой
14-этажный 84-квартирный жилой дом
16-этажный жилой дом с монолитным каркасом в г. Краснодаре
180-квартирный жилой дом в г. Тихорецке
2-этажный 3-секционный 18-квартирный жилой дом в г. Мирном

