Вексельная форма расчётов в условиях реформирования бухгалтерского учёта
С О Д Е Р Ж А Н И Е
Введение. тАжтАжтАжтАжтАжтАжтАжтАжтАжтАжтАжтАжтАжтАжтАжтАжтАжтАжтАжтАжтАжтАжтАжтАж 2
1. Вексельная форма расчётов в условиях
реформирования бухгалтерского учёта:тАжтАжтАжтАжтАжтАжтАжтАжтАжтАжтАж. 4
1.1. Вексель как средство платежейтАжтАжтАжтАжтАжтАжтАжтАжтАжтАжтАжтАжтАжтАж. 4
1.2. Надёжность векселятАжтАжтАжтАжтАжтАжтАжтАжтАжтАжтАжтАжтАжтАжтАжтАжтАжтАжтАж 12
1.3. Риски при операциях с векселямитАжтАжтАжтАжтАжтАжтАжтАжтАжтАжтАжтАжтАж. 16
1.4. Анализ операций с векселямитАжтАжтАжтАжтАжтАжтАжтАжтАжтАжтАжтАжтАжтАжтАж. 20
2. Использование векселя на примере Бежецкого
муниципального предприятия городских электрических
и тепловых сетей (БМПГЭТС)тАжтАжтАжтАжтАжтАжтАжтАжтАжтАжтАжтАжтАжтАжтАж 26
2.1 Форма векселя и платежи по ним. тАжтАжтАжтАжтАжтАжтАжтАжтАжтАжтАжтАж.. 26
2.2. Документальное оформление поступления векселей. тАжтАжтАжтАжтАж29
Заключение. тАжтАжтАжтАжтАжтАжтАжтАжтАжтАжтАжтАжтАжтАжтАжтАжтАжтАжтАжтАжтАжтАж30
Список используемой литературы. тАжтАжтАжтАжтАжтАжтАжтАжтАжтАжтАжтАж.33
Приложения (на 7 листах).
ВВЕДЕНИЕ
Вексель в настоящее время является одной из наиболее распространенных ценных бумаг, уже несколько столетий применяется в мировой торговой практике и только в последние десять лет осваивается российскими предпринимателями и банками на внутреннем рынке, хотя в России, как показывает история, существовала нормативная база для его использования. Вексельное обращение становится особенно актуально в наше время взаимных неплатежей.
Формирование рыночных отношений приводит к постепенному восстановлению в России института коммерческого кредитования, связанного с предоставлением поставщикам (производителям) товаров (работ, услуг) своим покупателям кредита в виде отсрочки платежа, оформляемого либо векселем, либо открытием на имя покупателя банковского счета, в дебет которого и относится соответствующая задолженность.
В последние несколько лет на вексельном рынке наблюдается стремительный рост числа участников, увеличение объёма вексельной массы, расширение спектра предоставляемых профессиональными участниками услуг. К сожалению, уровень правовой проработки некоторых вопросов не всегда отвечает потребностям и интересам контрагентов, что порождает многочисленные трудности. Отчасти это объясняется недостаточной разработанностью соответствующей правовой базы, отчасти - ошибками самих участников вексельного обращения при применении существующих норм.
Российская система бухгалтерского учёта (РСБУ), основанная на потребностях бывшей плановой экономики наименее пригодна для принятия решений в условиях рынка. Это и приводит к ошибочным экономическим решениям и расчёте экономических ресурсов.
В мае 2000 года Международный центр реформы системы бухгалтерского учёта разработал ВлРекомендации по реформе бухгалтерского учётаВ», в которых отмечается, что важность перехода на международные стандарты финансовой отчетности (МiО) заключается не только в унификации систем бухгалтерского учёта во всём мире, но и в том, что внедрённые стандарты направлены на обеспечение прозрачности и отражение реальной экономической ситуации, что позволяет пользователям отчётности предприятий принимать правильные экономические решения.
Данная курсовая работа посвящена рассмотрению механизма расчётов с помощью векселей, который является особенно актуальным в условиях реформирования бухгалтерского учёта в России.
На примере Бежецкого муниципального предприятия городских электрических и тепловых сетей, занимающихся электроснабжением и теплоснабжением города Бежежецка, показано, как используются различные формы векселей при расчётах с покупателями и поставщиками товаров (работ и услуг).
При оформлении работы автор пользуется нормативными документами, учебными пособиями и статьями из специальных газет и журналов по вопросам вексельного обращения.
Вексельная форма расчетов в условиях реформирования бухгалтерского учёта.
1.1. Вексель как средство платежей
В России вексель начал действовать в эпоху Петра I из-за опасности перевозки денег из одного города в другой. Эти векселя имели название- казначейские. В 1709г. был опубликован первый вексельный устав. Затем в 1832г. появляется Устав о векселя, вошедший в Свод законов 1857г. Третий российский вексельный устав принимается в 1902г. по аналогии с германским 1848г., что заметно оживляет вексельное обращение в дореволюционной России.
В 1917г. вексельное право было ликвидировано, и только 20.03.1922г в период НЭПа появляется Положение о векселе, как о форме предоставления коммерческого кредита для торговых сделок. Во время кредитной реформы 1930-1932гг., обусловившей переход к политике централизации планирования и государственного регулирования экономики, вексельное право вновь было ликвидировано.
Постановлением от 7 августа 1937г ЦИК и СНК СССР утвердил ратифицированную в 25.11.1936г. Женевскую конвенцию, которая определила вексель как строго формальное, безусловное, абстрактное, денежное и передаваемое обязательство. Важным положением этой конвенции явилась также солидарная ответственность всех заинтересованных по векселю лиц, что было узаконено ещё в 1673г. во Франции. Однако векселя на внутрироссийском рынке до 1990г. не использовались.
Лишь 19.06.1990г. постановлением Совета Министров СССР №590 "Положение о ценных бумагах" векселя были "реабилитированы". Далее 24.06.1991г. постановлением Президиума Верховного Совета РiСР №1451-1 "О применении векселей в хозяйственном обороте РiСР" было разрешено предприятиям, организациям, учреждениям и предпринимателям осуществлять поставку продукции (выполнять работы, оказывать услуги) в кредит с взиманием с покупателей (потребителей, заказчиков) процентов, используя для оформления таких сделок векселя (при этом в качестве нормативной базы впредь до принятия соответствующего законодательства предлагалось использовать "Положение о переводном и простом векселе" 1937г - Женевская конвенция).
Затем принимаются следующие нормативные документы:
В· Письмо ЦБ РФ от 09.09.1991г. №14-3/30 "О банковских операциях с векселями";
В· Закон РФ от 09.10.1992г. "О валютном регулировании и валютном контроле", где вексель оговаривался как платежный документ;
В· Указы президента РФ от 19.10.1993г. №1662 "Об улучшении расчётов в хозяйстве..";
и от 23.05.1994г. №1005 "О дополнительных мерах по нормализации расчётов..";
В· Постановление Правительства РФ от 26.09.1994г. №1094 "Об оформлении взаимной задолженности предприятий и организаций векселями единого образца ..";
В· Закон РФ от 22.04.96 № 39-ФЗ " О рынке ценных бумаг", передача дальнейшей власти в области ценных бумаг Федеральной Комиссии по рынку ценных бумаг (ФКЦБ России);
В· Гражданский кодекс Российской Федерации (часть 1 и 2) включая изменения. и доп. на 12.08.1996г.;
В· Закон РФ от 11.03.97 № 48-ФЗ "О переводном и простом векселе", которым и регулируется в настоящий момент вексельное обращение в России.
Ранее принятые законы, положения, письма действуют только в части не противоречащей этому закону, фактически являющемуся окончательным на сегодня утверждением Женевской конвенции на всей территории Российской Федерации.
Обеспечение производства оборотными средствами и средствами для расчетов является одной из узловых проблем нынешней экономической ситуации. Нужно иметь ввиду, что отказ от старого расчетно-платежного механизма, просуществовавшего с некоторыми изменениями с начала 30-х годов и вплоть до 90-х произошел в условиях, когда новый расчетный механизм создан не был и не был даже намечен в общих чертах. Его нужно создавать заново, хотя бы и с большим опозданием.
Лишившись дешевого и доступного банковского кредита, хозяйство, вполне естественно, пошло по пути наращивания коммерческого кредита в форме дебиторской и кредиторской задолженности. Однако этот коммерческий кредит столкнулся с отсутствием в хозяйстве тех форм, которые придали бы ему подвижность, мобильность, позволили бы временно свободным оборотным капиталам быстро переходить от одного хозяйства к другому, обслуживать хозяйственный оборот. Вместо цепочки расчетов возникла инертная масса неплатежей.
Сам факт огромной инертной массы дебиторской и кредиторской задолженности позволяют сделать три кардинальных вывода. Во-первых, в народном хозяйстве имеются ресурсы, которые могут быть реализованы и при определенных условиях пополнять оборотные средства. Во-вторых, необходимо возродить цивилизованные формы такой мобилизации тАУ вексель и вексельное обращение. В-третьих, необходимо провести соответствующую корректировку кредитной политики, с тем, чтобы банковские ресурсы притекали в экономику, в частности, по каналам учета и переучета векселей. Отсюда следует и четвертый вывод тАУ о переориентации (хотя бы частичной) эмиссионной политики Центробанка и политики рефинансирования на переучет векселей.
Теоретически существует, несколько путей решения проблемы
неплатежей, кроме внедрения коммерческого векселя и вексельного кредита. Это, прежде всего тАУ прямой банковский кредит в оборотные средства.
Он рискован и может предоставляться под высокие проценты, не приемлемые для товаропроизводителей. Банковский кредит под обеспечение товарно-материальными ценностями извлекает из оборота эти ценности и тем самым замедляет хозяйственный оборот. Такая форма кредита приемлема в случае формирования больших сезонных запасов, но в других случаях она будет вызывать замедление оборота и еще большую потребность в оборотных средствах.
В отличие от прямого банковского кредита, вексельный кредит не нуждается в особом залоге и менее рискован, чем банковский кредит. В отличие от дебиторской задолженности, вексельный кредит не связывает оборотные средства кредиторов, ибо позволяет им расплачиваться векселями со своими поставщиками.
Другая альтернатива вексельному обращению основанному на оформлении векселями задолженности предприятий тАУ широкое использование в обороте векселей банков. Векселя банков нужно отличать не только от векселей предприятий, оформляющих товарную сделку (коммерческих векселей), но и от известных вексельной практике, так называемых, финансовых векселей. Нынешние векселя банков - это форма частной эмиссии расчетных средств, не обеспеченных конкретной сделкой по продаже товара и услуги. По сути дела тАУ это квази-деньги, частные банкноты, не обладающие силой законного платежного средства, но обеспеченные обязательством банка по обмену на банкноты Центробанка.
Векселя банков увеличивают общую денежную массу, восполняя недостаток денежной эмиссии Центробанка. Они не мобилизуют внутренние резервы хозяйства, а представляют собой суррогат денежной эмиссии и суррогат прямого банковского кредитования. При этом эмиссионный доход достается коммерческим банкам. Если векселя предприятий, уменьшают массу потребных экономике оборотных средств, то векселя банков расширяют оборотные средства хозяйства за счет внешних вливаний в экономику частных расчетных средств. Обращение векселей должно начинаться снизу с первичных хозяйственных звеньев. Вексель должен мобилизовать внутренние ресурсы хозяйства, придавать им мобильность, а не представлять собой дополнительную частную эмиссию банкнот и сертификатов в дополнение к денежной эмиссии Центробанка. Только в этом случае к обслуживанию вексельного обращения может быль подключена банковская система. Задача банков в этом случае тАУ не эмиссия векселей банков, а учет векселей предприятий и соответствующее использование значительной части кредитных ресурсов.
В связи с обострением дефицита денег в экономике, достаточно большую роль в процессе кредитования реального сектора на современном этапе приобрело вексельное кредитование. Необходимо отметить, что вексель как финансовый инструмент играет двоякую роль для нынешнего состояния российской экономики. С одной стороны, он как и другие долговые обязательства, представляет собой все-таки квази-деньги, и вексельный оборот существенно повышает роль агрегата денежной массы М2 за счет повышения скорости денежного обращения и за счет того, что многие веселя фактически являются банковской эмиссией денег. В связи с этим, вполне естественно введение ЦБ РФ экономического норматива Н13, цель которого тАУ ограничить объемы выпуска банковский векселей. С другой стороны, вексель способствует развитию новых форм денежного обращения, генерирует новые формы трансакций и трансфертов, частично решая, таким образом, проблему дефицита денег в экономике и проблему неплатежей. Поэтому неудивительно, что вексель сейчас остается одним из наиболее распространенных платежных инструментов на финансовом рынке России. А вексельное кредитование тАУ одним из наиболее широко используемых видов кредитования корпоративных клиентов.
Схема вексельного кредитования достаточно проста. Когда предприятий нуждается в дополнительных оборотных средствах, но из-за высокой стоимости обычного банковского кредита не имеет возможности получить его "живыми" деньгами, оно может прибегнуть к вексельному кредитованию. В таком случае банк заключает с клиентом договор, по которому предприятие в качестве кредита получает пакте векселей на сумму, указанную в этом договоре. Кок правило, полученные векселя являются бездоходными. Ими предприятие рассчитывается с поставщиками и подрядчиками. По истечении срока кредитного договора предприятие тАУ первых векселедержатель погашает полученные ранее "живыми" деньгами кредит, выплачивая проценты. Последний владелец векселя предъявляет его к оплате в указанный срок и получает вексельную сумму. Это лишь общая схема операций по кредитованию с векселями[1]
. Возможны так же варианты досрочного предъявления векселей в банк и учета их с последующим дисконтом, последующего кредитования под залог банковских векселей, полученных от первого векселедержателя и т.д.
Досрочный учет собственных векселей является, пожалуй, наиболее интересной для банка активной операцией. Это связано не только с отсутствием риска при проведении сделок, но и существующим порядком отражения учетного дисконта непосредственно по счету доходов банка. Именно возможность последующего досрочного учета собственных векселей служит серьезным стимулом для выдачи коммерческими банками вексельных кредитов.
Предметом других учетных операций выступают прежде всего банковские векселя. Падение объемов вексельного кредитования вынудило коммерческие банки обратить внимание на отдельные корпоративные бумаги.
Из огромного перечня наводнивших российский рынок корпоративных векселей, только очень узкий круг их можно отнести к действительным векселям тАУ безусловным долговым обязательствам.
Порядок обращения остальных бумаг регулируется не вексельным правом, а внутренними положениями отдельных векселедателей, которые зачастую не только не предполагают погашение векселей в денежной форме, но даже не предусматривают прием векселей к погашению задолженности при отсутствии сопроводительных писем или при наличии отдельных индоссаментов.
С учетом подобных моментов банки приобретают для собственного инвестиционного портфеля очень ограниченный круг корпоративных векселей, в частности РАО "Газпром", АО "Алмазы-России-Саха", АО "Сиданко"[2]
. Векселя других предприятий в силу имеющихся особенностей их использования только в схемах взаиморасчетов выступают для банков исключительно предметом сделок типа "рэпо" либо брокерских операций.
При использовании вексельного кредитования не происходит реального отвлечения денежных средств на период выдачи ссуды. Кроме того, находящиеся в обращении банковские векселя выстраивает как предмет высоко ликвидного обеспечения при предоставлении банком каких-либо кредитных продуктов тАУ кредитов, гарантий, аккредитивов и т.п. Устанавливая достаточно низкие ставки по вексельным кредитам, банк дополнительно привлекает и новых клиентов. При определении процентной ставки по вексельному кредиту принимаются во внимание следующие факторы:
- необходимость резервирования остатков по вексельным счетам в фонде обязательных резервов ЦБ РФ, что обуславливает дополнительное привлечение средств аналогичной срочности;
- вероятность дополнительного привлечения денежных средств при разрыве сроков предоставления кредита и сроках обращения векселя (на разницу в сроках);
- необходимость учета процентной ставки при определении риска, возникающего при операции кредитования[3]
.
Выгода, извлекаемая предприятиями при использовании вексельного кредита.
- преодоление необоснованного и неэффективного ограничения платежеспособного спроса и в целом ряде случаев добиться роста производственной активности;
- банковская гарантия платежа путем предоставления векселя снимает необходимость для предприятий предоплаты в тех нередких случаях, когда она служит исключительно для защиты от риска неплатежей, тем самым появляется возможность ускорения материального оборота;
- банковские векселя, предоставленные клиентам банка под депозиты, которые являются для банка гарантией оплаты векселей, как правило, по сумме в два раза и более, превосходят размер депозита и, таким образом величина, оборотных средств оперативного управления предприятия увеличивается;
- в прямой экономии на налоговых выплатах, налог на доход, полученный по векселю для предприятия - 15 %, налог на аналогичный доход на депозитном вкладе в банке - 35 %[4]
;
- ликвидность вложений; бурно развивающийся вексельный рынок предоставляет возможность продать вексель и учесть его в банке.
Решение проблемы дефицита денег в экономике, безусловно, облегчит доступ предприятий к получению кредитных ВлживыхВ» денег, однако, не приведёт к полному отказу от векселей в качестве получения источника дополнительных оборотных средств, поскольку вексельное законодательство унифицировано, а стоимость ВлвексельныхВ» денег всегда будет оставаться ниже стоимости ВлживыхВ». Ситуация, которая сложилась в финансовой системе страны, такова, что только кредитование реального сектора может служить мощным источником улучшения положения промышленных предприятий и обслуживающих их комерческих банков. Поэтому, вексельное кредитование будет с успехом использоваться между банками и их клиентами.
1.2. Надежность векселя
Для повышения надежности векселя предусмотрен ряд процедур, позволяющих расширить круг лиц, ответственных по векселю, то есть обязанных платить по векселю при наступлении определенных обязательств:
* акцепт векселя;
* аваль векселя;
* индоссамент;
* протест векселя.
Акцепт векселя тАФ операция, посредством которой подтверждается согласие плательщика на оплату векселя. Акцептант тАФ лицо, подтверждающее свое согласие на оплату. Если в качестве акцептанта выступает банк (банковский акцепт), то вексель приобретает статус первоклассного (то есть наименее рискованного, высшего качества) обязательства. Акцептование тАФ своеобразная гарантия от предъявления неправомерных требований. Обязательства трассата (плательщика) по переводному векселю возникают лишь с момента принятия им акцепта векселя. Предъявление векселя к акцепту может быть произведено во всякое время, начиная со дня его выдачи и кончая моментом наступления срока платежа. Акцепт не является обязательным, но выступает в качестве необходимого условия для того, чтобы вексель имел хождение, свободно обращаясь на рынке.
Аваль векселя представляет собой поручительство по векселю. Авалист, совершивший аваль векселя, принимает на себя ответственность за выполнение обязательств обязанным по векселю лицом. Вексельные поручительства чаще всего встречаются в международных сделках. Например, если экспортер недостаточно знаком с импортером, он может потребовать при поставке товара с оплатой векселем в качестве дополнительного обеспечения оплаты проставления аваля банком-импортером за импортера. Аваль дает дополнительные гарантии по погашению векселя.
Поручитель расписывается на векселе и добавляет слова тАЬаваль затАж или как гарантия затАжтАЬ. Обязательно указание авалистом за кого дается аваль. Если этого указания нет, аваль считается данным за векселедателя.
Если аваль дан за акцептанта, авалист отвечает за платеж без необходимости протеста векселя. Если аваль дан за векселедателя или за индоссанта, авалист отвечает за платеж только при наличии протеста.
Оплатив вексель, авалист приобретает все вытекающие из векселя права против того, за кого дана гарантия, и против тех, кто является предшествующими надписателями и обязаны по векселю перед последним.
Кредитор по векселю может оставить его в своей собственности и в день, когда наступит срок платежа, предъявить вексель к оплате, может передать вексель следующему держателю с помощью передаточной надписи-индоссамента.
Для осуществления передачи векселя необходимы:
Общее согласие передающего вексель последнего держателя и принимающего вексель очередного держателя.
Оформление передаточной надписи (индоссамента) на самом векселе.
Физический переход векселя от предыдущего держателя к последующему.
| Передача векселя | ||||
| ||||
Продажа векселя банку | Передача векселя банку на инкассо | Передача векселя |
Рис. 3. Варианты передачи векселя
Различается индоссамент:
* ВлполныйВ»;
* ВлименнойВ»;
* ВлбланковыйВ»;
* порученческий;
* залоговый.
Индоссирование при помощи полного или бланкового индоссаментов позволяет перенести все права, вытекающие из векселя.
Индоссат тАФ лицо, получающее вексель от последнего держателя по передаточной надписи, становится владельцем векселя. Полный индоссамент отличается от бланкового тем, что в нем, в противоположность бланковому, индоссантом указывается очередной держатель векселя тАФ индоссат. Индоссирование векселя возможно только на всю вексельную сумму. Лицо, получившее вексель по бланковой надписи, может передавать его другим лицам, без всяких подписей простым вручением векселя, как любую ценную бумагу на предъявителя.
Если вексель должен быть предан для получения причитающегося по нему платежа (на инкассо), индоссант (лицо, передающее вексель с помощью передаточной надписи) остается кредитором по векселю, а сам вексель останется в собственности индоссанта. Индоссамент же должен в данном случае содержать поручение на ВлинкассоВ», Влвалюта к получениюВ» или Влкак доверенномуВ» и т.п. Инкассовая индоссамент позволяет заключить договор-поручение между индоссантом и индоссатом без какого-либо дополнительного оформления их взаимоотношений. Подпись под индоссаментом индоссанта будет означать согласие с его стороны поручить индоссату совершение действий от имени индоссанта, а физическое принятие векселя по инкассовому индоссаменту индоссатом будет означать согласие индоссата совершить действия по векселю от имени индоссанта. Аналогичные последствия наступают и при передаче векселя в залог по залоговому индоссаменту, который заменяет собой заключение между кредитором и должником договора о залоге.
Взаимную ответственность сторон вексельной сделки повышает протест векселя, дающий право векселедержателю предъявить к индоссантам, авалистам, акцептантам и векселедержателю регрессионный иск. Предъявление требований этим лицам возможно лишь при условии, что после отказа должника погасить вексель, кредитор своевременно и с соблюдением соответствующих формальностей выдвинул против него протест. Если это же не сделано, то владелец векселя теряет право на финансовые претензии к выставителю, индоссантам и поручителю векселя. Протест векселя тАФ это официальный документ, в котором установлено определенное неисполнение обязательств по векселю.
Виды протеста векселя:
1. Протест в связи с отказом от акцепта.
Такой протест векселя подается в случае, если трассат вообще отказывается принять вексель к оплате.
2. Протест в связи с отказом от оплаты векселя. Это наиболее часто встречающийся вид протеста. В течении четырех рабочих дней после совершения протеста в неплатеже или акцепте, векселедержатель обязан известить об этом своего индоссанта и векселедателя. Каждый последующий индоссант в течении двух рабочих дней, следующих за днем получения им извещения, сообщает своему предшественнику о полученном им извещении и так до векселедателя. Извещение авалисту и индоссанту, за которого он поручился, выставляется одновременно.
Оговорки об освобождении держателя от протеста могут быть внесены в вексель векселедержателем или любым индоссантом (Влоборот без издержекВ», Влбез протестаВ»). Если векселедатель делает на векселе оговорку об освобождении от протеста, он запрещает протест векселя. Он обязуется сам заплатить по векселю в случае вексельного иска без предъявления протеста. Оговорка об освобождении от протеста, сделанная индоссантом, обязывает платить без протеста только этого индоссанта. Векселедержатель все-таки должен протестовать такой вексель, чтобы не потерять право на вексельный иск в отношении всех остальных индоссантов.
1,3. Риски при операциях с векселями
Операции по учету векселей являются для банков в значительной степени рискованными. Риск потерь связан не только с финансовым положением векселедателя, но определяется помимо этого рядом других факторов.
В частности, наблюдается информационная закрытость рынка. Эта проблема наиболее остра и связана с труднодоступностью информации о находящихся в обращении векселях, процедуре выпуска, погашении, фактах утери или хищении векселей, сводных данных, финансовой отчетности векселедателя.
Участники рынка пока не могут пользоваться общепринятой технологией совершения операций. Это связано с тем, что отсутствует унифицированный порядок выпуска и погашения векселей, проверки их на подлинность, устоявшегося документа оборота и порядка расчетов по совершаемым сделкам на вторичном рынке.
Сегодня отсутствует и торговая система или общепризнанная торговая площадка по операциям с векселями. Сделки с ними осуществляются на неорганизованном не биржевом рынке. Процедуры из заключения, совершение расчетов, передача долговых обязательств определяются индивидуально. Поэтому участники вексельного обращения практикуют различные способы исполнения сделок: на условиях предоплаты или предпоставки бумаг, закрытым или открытым индоссаментом.
Высок и риск мошенничества. Он связан с документарной формой векселя как долгового инструмента и усугубляется возможностью передачи векселей по бланковому индоссаменту, что усиливает риск злоупотребления.
При работе с векселями возникают различные коллизии по отдельным вопросам уголовного, гражданского и вексельного права. Например, существующая в рамках уголовного и гражданского прав процедура "ареста" денежных средств в обеспечении платежа или долговых обязательств, являющихся предметом спора, выступает в противоречии с нормами вексельного права. Такая ситуация делает рискованными не только активные операции банка по учету, но и пассивные тАУ по привлечению ресурсов.
Определенный вклад в снижение степени риска по операциям с векселями могут внести принятые в рамках ассоциации участников вексельного рынка (АУВЕР) единые стандарты раскрытия информации, выпуска и погашения а также обращения векселей, обязательных для исполнения участниками ассоциации.
Следующим шагом, видимо, должна быть организация вексельной торговой площадки в рамках ассоциации. Ее создание повысит ликвидность обращающихся векселей, ускорят торговые операции, снизят риск совершаемых сделок, сократит издержки для конечных участников, это приведет к повышению "прозрачности" вексельного рынка.
Одной из операций, получающих развитие, является авалирование коммерческими банками векселей сторонних векселедателей. При этом банк становится солидарно обязанным по векселям и в виде компенсации за риск получает комиссионный вознаграждения. Такая операция не влечет за собой отвлечение ресурсов, но требует тщательной проработки обеспечения сделки. Чаще всего в его роли выступает залог ликвидных материальных ценностей. Тогда уровень риска по сделке для банка определяется найденным механизмом перехода права собственности или реализации залога.
Вексельный рынок в России очень подвижен, поэтому и операции банков с векселями отличаются высокой динамичностью. Представляется, что чисто портфельные операции на вексельном рынке теряют значимость в силу снижения объемов вексельного кредитования и выравнивания доходности по региону.
Перспективным направлением становится ориентация банков на корпоративную клиентуру, разработка и внедрение различных расчетных схем с использованием как собственных векселей, так и обращающихся на рынке других долговых обязательств.
В зависимости от конкретной ситуации банк может брать на себя выполнение ряда функций тАУ от разработки схемы до совершения комиссионных операций по поручению клиента, выполнение функций платежного агента. При этом банк, как посредник имеет ряд преимуществ относительно других финансовых институтов, представляемых на вексельном рынке. Прежде всего, они заключаются в более жестком контроле за финансовым состоянием со стороны Центробанка России, опыте работы на вексельном рынке, широком круге контрагентов, информационной обеспеченности и наличии финансовых ресурсов[5]
.
1.4. Анализ операций с векселями.
Вексель может быть выпущен как с дисконтом, так и с выплатой фиксированного процента к номиналу в момент погашения (процентный вексель).
С точки зрения количественного анализа в первом случае вексель представляет собой дисконтную бумагу, доход по которой представляет разницу между ценой покупки и номиналом. Поэтому доходность такого векселя определяется аналогично доходности любого обязательства, реализуемого с дисконтом и погашаемого по номиналу:
где t тАУчисло дней до погашения;
Р тАУ цена покупки;
N тАУ номинал;
К тАУ курсовая стоимость;
В тАУ используемая временная база;
Как правило, в операциях с векселями используются обыкновенные проценты (360/360).
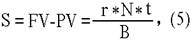
Абсолютный дисконт по дисконтному векселю S равен:
S=FV-PV=N-P=100-K. (2)
Если вексель продается (покупается) до срока погашения, доход будет поделен между продавцом и покупателем с учетом величины рыночной ставки процента и числа дней, оставшихся до погашения:
![]()
где Y - рыночная ставка (норма доходности покупателя);
t - число дней от момента сделки до срока погашения;
Соответственно, доход продавца будет равен:
Sпрод = S - Sпок, (4)
Если вексель размещается по номиналу, его доход определяется объявленной процентной ставкой r. В этом случае вексель представляет собой ценную бумагу с выплатой фиксированного дохода в момент погашения.
С учетом введенного выше обозначения r абсолютный размер дохода по векселю может быть определен, как:
![]()
где r - ставка по векселю;
N - номинал;
t - срок погашения в днях;
B - временная база;
Соответственно, годовая доходность погашения Y, исчисленная по простым процентам, будет равна:
![]()
Из (5) и (6) следует, что если обязательства размещено по номиналу и держится до срока погашения его доходность будет равна указанной в контракте ставки процента (т.е. Y=r).
Если вексель продается (покупается) между датами выпуска и погашения, абсолютная величина дохода S будет распределена между продавцом и покупателем в соответствии с рыночной ставкой (нормой доходности покупателя) Y на данный момент времени и пропорционально сроку хранения ценной бумаги каждой из сторон. Часть дохода, причитающаяся покупателю за оставшийся до погашения срок t2, будет равна:

где t2 - число дней от момента покупки до погашения векселя.
Соответственно, продавец получит величину:
Sпрод = S тАУ Sпок (8)
Соотношение (7) и (8) отражают ситуацию равновесия на рынке (т.е. "справедливое" распределение доходов в соответствии с рыночной ставкой Y и пропорционально сроку хранения бумаги каждой из сторон). Любое отклонение в ту или иную сторону повлечет за собой перераспределение дохода в пользу одного из участников сделки.
Предельная величина рыночной ставки Y, при которой продавец бумаги получит доход, должна удовлетворять неравенству:
где r - ставка по векселю;
Y - рыночная ставка;
t1 - число дней до погашения в момент покупки;
t2 - число дней до погашения в момент перепродажи;
При этом доходность операции будет равна:
![]()
где YTM - эффективная доходность.
Оценка стоимости финансовых векселей.
Процесс оценки стоимости векселя, выпущенного с дисконтом, заключается в определении современной величины элементарного потока платежей по формуле простых процентов исходя из требуемой нормы доходности Y.
С учетом используемых обозначений формула текущей стоимости (цены) подобного обязательства будет иметь вид:
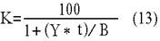
Поскольку номинал дисконтного векселя принимается за 100%, его курсовая стоимость равна:
![]()
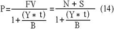
Определение современной стоимости процентных векселей. С учетом накопления на момент проведения операции дохода стоимость обязательства (Р), соответствующая требуемой норме доходности Y может быть определена из соотношения:

где тАУ t число дней до погашения.
При Y=r рыночная стоимость обязательства на момент выпуска будет равна номиналу (т.е. Р=N). Соответственно, при Y>r будет Р
Таким образом, рыночная стоимость векселя с учетом накопленного дохода, определяемая из (14), может отклоняться от номинала. Однако в биржевой практике принято котировать в процентах к номиналу, т.е. за 100 единиц на дату сделки. При этом ставка дохода по обязательствам r показывается отдельно.
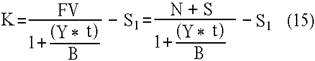
Курсовая стоимость обязательства К, проводимая в биржевых сводках, определяется как:

где t - число дней до погашения;
S1 тАУ абсолютная величина дохода, накопленная к дате совершения сделки.
В свою очередь величина S1 может быть найдена из следующего соотношения:
![]()
где t1 - число дней от момента выпуска до даты сделки.
Таким образом, полная рыночная стоимость векселя Р может быть так же определена как:
P = K + S1
Анализ учета векселей.
При учете вексель выполняет две функции: коммерческого кредита и средства платежа.
Абсолютная величина дисконта определяется как разность между номиналом векселя и его современной стоимостью на момент проведения операции. При этом дисконтирование осуществляется по учетной ставке d, устанавливаемой банком:
Вместе с этим смотрят:
Автоматизацiя бухгалтерського облiку ТОВ "Хлiбороб"
Автоматизацiя облiку зносу (амортизацii) необоротних активiв
Автоматизация бухгалтерского учета в современных условиях