Функция фильтрационного сопротивления в условиях неустановившегося притока жидкости (газа) к несовершенной скважине
Министерство общего и профессионального образования РФ
Тюменский Государственный Нефтегазовый Университет
Кафедра РЭНиГМ
Реферат
тАЬАнализ функции фильтрационного сопротивления для неустановившегося притока жидкости (газа) к несовершенной скважинетАЭ
Тюмень 1999 г.
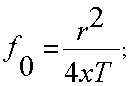
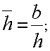
Рассмотрим функция (F) которая есть функция пяти параметров F=F (f0, rc, h, x , t*), каждый из которых тАФ безразмерная величина, соответственно равная




(1)
где r тАФ радиус наблюдения;
x тАФ коэффициент пьезопроводности;
Т тАФ полное время наблюдения;
h тАФ мощность пласта;
b тАФ мощность вскрытого пласта;
z тАФ координата;
t тАФ текущее время.
Названная функция может быть использована для определения понижения (повышения) давления на забое скважины после ее пуска (остановки), а также для анализа распределения потенциала (давления) в пласте во время работы скважины.
Уравнение, описывающее изменение давления на забое, т. е. при x =h; r=rc или r=rc, имеет вид
(2)
где безразмерное значение депрессии связано с размерным следующим соотношением
где
(3)
здесь Q тАФ дебит;
m тАФ коэффициент вязкости;
k тАФ коэффициент проницаемости.
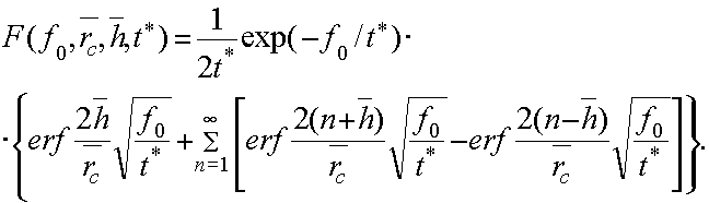
Аналитическое выражение F для определения изменения давления на забое скважины запишем в виде
(4)
Уравнение (2) в приведенном виде не может использоваться для решения инженерных задач по следующим причинам: во-первых, функция (4) сложна и требует табулирования; во-вторых, вид функции исключает возможность выделить время в качестве слагаемого и свести решение уравнения (2) к уравнению прямой для интерпретации кривых восстановления (понижения) давления в скважинах традиционными методами. Чтобы избежать этого, можно поступить следующим образом.
В нефтепромысловом деле при гидродинамических исследованиях скважин широко используется интегрально-показательная функция. Несовершенство по степени вскрытия пласта в этом случае учитывается введением дополнительных фильтрационных сопротивлений (C1), взятых из решения задач для установившегося притока. В соответствии с этим уравнение притока записывается в виде
(5)
Как видно, дополнительные фильтрационные сопротивления являются функцией геометрии пласта. Насколько верно допущение о возможности использования значений C1(rс, h), пока еще ни теоретически, ни экспериментально не доказано.
Для неустановившегося притока уравнение (2) запишем аналогично в виде двух слагаемых, где в отличие от выражения (5) значения фильтрационных сопротивлений являются функцией трех параметров (rс, h, f0)
(6)
Как _ видим, дополнительное слагаемое R(rc , h, f0) в уравнении (6) зависит не только от геометрии пласта, но и от параметра Фурье (f0). В дальнейшем будем называть это слагаемое функцией фильтрационного сопротивления. Заметим, что при h=l (скважина совершенная по степени вскрытия) уравнение (2) представляет собой интегрально-показательную функцию
(7)
С учетом равенства (7) решение (6) запишем в виде
(8)
Разрешая уравнение (8) относительно функции сопротивления и учитывая уравнение (2), находим
(9)
и на основании равенства (7) приведем выражение (9) к виду
(10)
Численное значение R(rс,h,fo) рассчитано по уравнению (10) на ЭВМ в широком диапазоне изменения параметров rc, h, f0. Интеграл (2) вычислялся методом Гаусса, оценка его сходимости выполнена согласно работе [3]. С учетом равенства (7) вычисления дополнительно проконтролированы по значениям интегрально-показательной функции.
С целью выяснения поведения депрессии и функции сопротивления проанализируем их зависимость от значений безразмерных параметров.
1. Определим поведение D р в зависимости от значений параметров rс, h, f0.
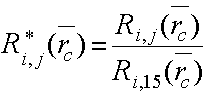
Результаты расчетов значений депрессии для каждого фиксированного rc сведены в таблицы, каждая из которых представляет собой матрицу размером 10х15. Элементы матрицы это значения депрессии D p(rc) для фиксированных h и f0. Матрица построена таким образом, что каждый ее столбец есть численное значение депрессии в зависимости от h, .а каждая строка соответствует численному значению депрессии в зависимости от fo (табл. 1). Таким образом, осуществлен переход от значений безразмерной депрессии D p(rc, h, f0) к относительной депрессии
D р*i,j (rc).
Для удобства построения и иллюстрации графических зависимостей выполнена нормировка матрицы. С этой целью каждый элемент i-й строки матрицы поделен на максимальное значение депрессии в данной строке, что соответствует значению j==15. Тогда элементы новой матрицы определятся выражением
(11)
Условимся элементы матрицы называть значениями относительной депрессии. На рис. 1 приведен график изменения относительной депрессии при фиксированных значениях h. Характер поведения относительной депрессии позволяет описать графики уравнением пучка прямых

(12)
Рис. 1. Поведение относительной депрессии (rc=0,0200, hi=const, f0) при значениях h, равных: 1тАФ 0,1; 2 тАФ 0,3; 3тАФ0,5; 4 тАФ 0.7; 5 тАФ0,9; 6тАФ1,0.
где ki тАФ угловой коэффициент прямой, который определяется h и от индекса j не зависит.
Анализ зависимости поведения депрессии D p*i,j от f0 для всех rc >0,01 показывает, что графики этой зависимости можно описать уравнением пучка прямых для любого значения h. Для rc< 0,01 в графиках зависимости появляются начальные нелинейные участки, переходящие при дальнейшем уменьшении параметра f0 (или же при увеличении его обратной величины 1/foj) в прямые для всех значений h (рис. 2). При h=l,0 поведение депрессии строго линейно. Кроме того, протяженность нелинейного участка для разных rc при h=const различна. И чем меньше значение безразмерного радиуса rc , тем больше протяженность нелинейного участка (рис. 2). 2. Определим поведение R(rc, h, f0) и ее зависимость от безразмерных параметров rc, h, f0. Значения R(rc, h, f0) рассчитаны для тех же величин параметров rc, h, f0. которые указаны в пункте 1, обработка результатов также аналогична. Переход от безразмерной функции сопротивления R(rc, h, f0) к относительной R*i,j (rc) осуществлен согласно выражению Анализ поведения R*i,j (rc) и результаты обработки расчетного материала, где установлена ее зависимость от параметров rc, h, f0, частично приведены на рис, 2 (кривые даны пунктиром). При гc >0,01 для любого hi R*i,j (rc) уже не зависит от f0i . Из анализа данных расчета и графиков рис. 2 следует: при rc<0,01 в поведении R*i,j (rc) для всех h что для одного и того же значения rc абсцисса точки перехода нелинейного участка в линейный для R*i,j (rc) имеет то же самое значение, что и абсцисса точек перехода для графиков зависимости D p*i,j (rc) от ln(l/f0i ) (линия CD). Начиная с этого момента, R*i,j (rc) для данного rc при дальнейшем наблюдении зависит не от времени, а только от hi тАв И чем выше степень вскрытия, т. е. чем совершеннее скважина,. тем меньше будет значение R*i,j (rc) И при h=l (скважина совершенная по степени вскрытия) функция сопротивления равна нулю. Очевидно, нелинейность D p*i,j (rc) связана с характером поведения функции сопротивления, которая, в свою очередь, зависит от параметра Фурье. Отметим также, что в точке С (рис. 2) численное значение функции сопротивления становится равным значению фильтрационных сопротивлений (C1(rc, h)) для притока установившегося режима. Рис. 2. Поведение относительной депрессии и относительной функции фильтрационного сопротивления (rc=0,0014, h=const, f0) при h, равных: 1,1'тАФ0,1; 2,2'тАФ 0,3; 3,3'тАФ0,5; 4,4'тАФ0,7; 5,5'тАФ 0,9; 6,6'тАФ 1,0. выводы 1. Депрессия на забое несовершенной по степени вскрытия скважины для всех rc < 0,01 имеет два явно выраженных закона изменения: а) нелинейный, который обусловлен зависимостью функции сопротивления от времени и соответствует неустановившемуся притоку сжимаемой жидкости (газа); б) линейный, который соответствует квазиустановившемуся притоку и не связан с функцией сопротивления. 2. Величина R(rc, h, f0) для неустановившегося притока качественно описывает С1(rc, h) для установившегося, и ее численное значение при любом вскрытии пласта всегда меньше численного значения С1(rc, h) при установившемся притоке. 3. Полученное аналитическое решение для неустановившегося притока сжимаемой жидкости (газа) к несовершенной скважине в бесконечном по протяженности пласте преобразовано в прямолинейную анаморфозу, которая позволяет эффективно интерпретировать кривые восстановления забойного давления. 4. Выбор fo, дающего значения D p*i,j(rc)=1, не влияет на протяженность нелинейного участка, соответствующего неустановившемуся движению, на графики зависимости D p*i,j(rc) от ln(1/f0i). Таблица 1 hi F0i 1*10-3 8*10-4 6*10-4 4*10-4 2*10-4 1*10-4 8*10-5 6*10-5 8*10-4 8*10-4 8*10-4 8*10-4 8*10-4 8*10-4 8*10-4 0,1 0,887 0,898 0,912 0,933 0,967 1,002 1,013 1,027 1,048 1,082 1,117 1,232 1,347 1,462 1,577 0,2 1.455 1,477 1,506 1,547 1,616 1,685 1,707 1,736 1,777 1,846 1,915 2,146 2,376 2,606 2,836 0,3 1,837 1,870 1,914 1,974 2,078 2,182 2,216 2,259 2,320 2,424 2,528 2,873 3,218 3,563 3,909 0,4 2,122 2,167 2,224 2,305 2,444 2,583 2,627 2,685 2,766 2,904 3,043 3,504 3,964 4,424 4,885 0,5 2,352 2,407 2,479 2,581 2,754 2,927 2,983 3,055 3,156 3,329 3,503 4,078 4,654 5,229 5,805 0,6 2,546 2,613 2,699 2,821 3,028 3,236 3,303 3,390 3,511 3,719 3,927 4,618 5,309 5,999 6,690 0,7 2,717 2,795 2,896 3,038 3,280 3,523 3,601 3,702 3,844 4,087 4,329 5,135 5,941 6,746 7,552 0,8 2,874 2,963 3,078 3,240 3,518 3,795 3,884 3,999 4,161 4,439 4,716 5,637 6,558 7,478 8,400 0,9 3,022 3,122 3,252 3,434 3,746 4,058 4,158 4,288 4,480 4,782 5,094 6,130 7,166 8,202 9,238 1,0 3,166 3,277 3,421 3,624 3,970 4,317 4,428 4,572 4,775 5,121 5,648 6,619 7,770 8,921 10.073 Примечание. При построении принято: тАФ rc=0,10; индекс i=l, 2, .. , 10 соответствует изменению h=0, 1; 0.2; .. , 1,0, a j=l, 2, 3.., тАФ 15тАФизменению с переменным шагом параметра f0. ЛИТЕРАТУРА 1. Т е л к о в В. А. Приток к точечному стоку в пространстве и к линии стоков в полу бесконечном пласте. НТС. Вып. 30, Уфа, 1975. 2. Л е о н о в В. ИтАЮ Телков В. А., Каптелинин Н. Д. Сведение задачи неустановившегося притока сжимаемой жидкости (газа) к несовершенной скважине к решению уравнения пьезопроводности. Тезисы докладов на XIII научно-техническом семинаре по гидродинамическим методам исследований и контролю процессов разработки нефтяных месторождений. Полтава, 1976. 3. Б а х в а л о в Н. С. Численные методы. Изд-во тАЬНаукатАЭ, М., 1974. Вместе с этим смотрят: 32-я Стрелковая дивизия (результаты поисковой работы группы "Память" МИВлГУ)
. (13)