Джерела живлення
МРЖНРЖСТЕРСТВО ОСВРЖТИ РЖ НАУКИ УКРАРЗНИ
КРАСНОДОНСЬКИЙ ПРОМИСЛОВО ЕКОНОМРЖЧНИЙ КОЛЕДЖ
Реферат
з предмету
Схемотехнiка
На тему
Джерела живлення
Студента групи 1ОКРЖСМ-06
Петренко Михайла
Перевiрила: Дрокiна Т.М.
Краснодон 2009
ПЛАН
Вступ
1. Джерело живлення з гальванiчною розв'язкою вiд мережi на оптронiв
2. Мiкропотужний стабiлiзатор з малим споживанням
3. Джерела живлення з роздiловими конденсаторами
4. Джерела живлення з роздiловими конденсаторами
5. Лiнiйне джерело живлення
6. Стабiлiзатор зi струмом навантаження до 5А
7. РЖМПУЛЬСНРЖ ДЖЕРЕЛА живлення
8. Ефективний iмпульсний стабiлiзатор низького рiвня складностi
ВСТУП
Перша проблема, з якою при конструюваннi будь-яких пристроiв стикаються i початкiвцi i досвiдченi радiоаматори - це проблема електроживлення. У цiй главi будуть розглянутi рiзноманiтнi мережевi джерела живлення (мiкропотужний, середньоi потужностi, потужнi). При виборi i розробцi джерела живлення (далi РЖП) необхiдно враховувати ряд факторiв, що визначаються умовами експлуатацii, властивостями навантаження, вимогами до безпеки i т.д.
Досить простi у виготовленнi i експлуатацii вториннi iмпульснi перетворювачi напруги, iх вiдрiзняi простота виготовлення i дешевизна комплектуючих. Економiчно i технологiчно виправдане конструювати РЖП за схемою вторинного iмпульсного перетворювача для пристроiв з струмом споживання 1-5 А, для безперебiйних РЖП до систем вiдеоспостереження та охорони, для пiдсилювачiв низькоi частоти, радiостанцiй, зарядних пристроiв. Краща вiдмiнна риса вторинних перетворювачiв перед лiнiйними - масогабаритнi характеристики випрямляча, фiльтра, перетворювача, стабiлiзатора. Проте iх вирiзняi великий рiвень перешкод, тому при конструюваннi необхiдно придiлити увагу екрануванню i придушення високочастотних складових у шинi живлення. Останнiм часом набули досить широке поширення iмпульснi ИП, побудованi на основi високочастотного перетворювача з без трансформаторним входом. Цi пристроi, харчуючись вiд промисловоi мережi ~ 110В/220В, не мiстять у своiму складi громiздких низькочастотних силових трансформаторiв, а перетворення напруги здiйснюiться високочастотним перетворювачем на частотах 20-400 кГц. Такi джерела живлення володiють на порядок кращими масогабаритными показниками в порiвняннi з лiнiйними, а iх ККД може досягати 90% i бiльше. РЖП з високочастотним iмпульсним перетворювачем iстотно полiпшують багато характеристик пристроiв, що живляться вiд цих джерел, i можуть застосовуватися практично в будь-яких радiоаматорських конструкцiях. Однак iх вiдрiзняi достатньо високий рiвень складностi, високий рiвень перешкод у шинi живлення, низька надiйнiсть, висока собiвартiсть, недоступнiсть деяких компонентiв. Таким чином, необхiдно мати дуже вагомi пiдстави для застосування iмпульсних РЖП на основi високочастотного перетворювача в аматорськiй апаратурi (у промислових пристроях це в бiльшостi випадкiв виправдано). Такими пiдставами можуть служити: вiрогiднiсть коливань напруги на межах ~ 100-300 В. можливiсть створювати РЖП з потужнiстю вiд десяткiв ват до сотень кiловат на будь-якi вихiднi напруги, поява доступних високотехнологiчних рiшень на основi РЖМС та iнших сучасних компонентiв.
1. ДЖЕРЕЛО ЖИВЛЕННЯ З ГАЛЬВАНРЖЧНОЮ РОЗВ'ЯЗКОЮ ВРЖД МЕРЕЖРЖ НА ОПТРОНРЖВ
Мiкропотужний РЖП з гальванiчною розв'язкою вiд мережi ~ 220 В можна виконати iз застосуванням оптронiв, включивши iх послiдовно для збiльшення вихiдноi напруги (рис. 3.2-1.). Перенесення енергii здiйснюiться за допомогою однонаправленоi свiтлового потоку всерединi Оптрон (Оптрон мiстить свiтловипромiнювальних i поглинаi матерiалiв), таким чином, гальванiчноi зв'язку з мережею не виникаi. На однiй оптопари видiляiться 0,5-0,7 В для АОД101. АОД302 i 4 В-для АОТ102, АОТ110 (притоцi 0,2 мА). Для забезпечення необхiдних значень напруги та струму оптопари включаються послiдовно або паралельно. В якостi буферного накопичуiться елемента можна використовувати iонiстор, акумулятор або iмнiсть на 100-1000 мкФ. Свiтлодiоди живиться через iмнiсть не бiльше 0.2 мкФ щоб уникнути руйнування. Необхiдно пам'ятати, що ефективнiсть оптронiв падаi з часом (приблизно на 25% за 15000 годин роботи).

2. МРЖКРОПОТУЖНИЙ СТАБРЖЛРЖЗАТОР З МАЛИМ СПОЖИВАННЯМ
У деяких радiоаматорських конструкцiях потрiбнi мiкропотужний стабiлiзатори, що споживають в режимi стабiлiзацii мiкроампери. На рис. 3.2-4 приведена принципова схема такого стабiлiзатора з внутрiшнiм струмом споживання 10 мкА i струмом стабiлiзацii 100 мА. Для зазначених на схемi елементiв напруга стабiлiзацii становить Uвых = 3.4 В, для його змiни замiсть свiтлодiоди HL1 можна включити послiдовно дiоди КД522 (на кожному падiння напруги складаi 0.7 В: на транзисторах

VT2 - 0,3 В). Вхiдна напруга даного стабiлiзатора (Uвх) не бiльше 30 В. Чи повиннi застосовуватися транзистори з максимальним коефiцiiнтом пiдсилення.
3. ДЖЕРЕЛА ЖИВЛЕННЯ З РОЗДРЖЛОВИМИ КОНДЕНСАТОРАМИ
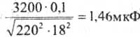
У мiкропотужний джерелах живлення з гальванiчною зв'язком з промисловою мережею звичайно застосовуються т.зв. роздiловi конденсатори, якi являють собою не що iнше, як шунтуючi опору, що включаються послiдовно в ланцюг живлення. Вiдомо, що конденсатор, встановлений в колi змiнного струму, володii опором, що залежить вiд частоти i називаiться реактивним. РДмнiсть конденсатора роздiльник (за умови застосування в промисловiй-мережi ~ 220 В, 50 Гц) можна розрахувати за такою формулою:

Для прикладу: зарядний пристрiй для нiкель-кадмiiвих акумуляторiв 12В iмнiстю
1 А / ч може бути що живиться вiд мережi через роздiловий конденсатор. Для нiкель-кадмiiвих акумуляторiв зарядний струм складаi 10% вiд номiналу, тобто 100 мА в нашому випадку. Далi, з огляду на падiння напруги на стабiлiзаторi порядку 3-5 в, отримуiмо, що на входi зарядного пристрою необхiдно забезпечити напругу ~ 18 В при робочому струмi 100 мА. Пiдставляючи цi данi, отримуiмо:


Таким чином, вибираiмо С = 1,5 мкФ з подвоiним робочою напругою 500 В (можуть застосовуватися конденсатори типiв: МБМ, МГБП, МБТ).
Повна схема зарядного пристрою з роздiловим конденсатором наведена на рис. 3.2-2. Пристрiй придатне для зарядки акумуляторiв струмом не бiльше 100 мА при напрузi заряду не бiльш 15В. Подстроiчним резистором R2 встановлюють необхiдне значення напруги заряду. R1 виконуi роль обмежувача струму на початку заряду, а що видiляiться на ньому напруга подаiться на свiтлодiод. По iнтенсивностi свiтiння свiтлодiоди можна судити - наскiльки розряджена АКБ.

При експлуатацii цього джерела живлення (i будь-яких iнших ВП без гальванiчноi розв'язки з мережею) необхiдно пам'ятати про заходи безпеки. Пристрiй i заряджаiться батарея весь час знаходяться пiд потенцiалом промисловоi мережi. У деяких випадках такi обмеження унеможливлюють нормальну експлуатацii пристроiв, тому доводиться забезпечувати гальванiчну розв'язку РЖП вiд мережi. Малопотужний джерело живлення з роздiловим конденсатором, але з гальванiчною розв'язкою вiд промисловоi мережi можна виготовити на основi перехiдного трансформатора або реле магнiтного пускача, причому iх робоча напруга може бути i нижче 220 В. На рис. 3.2-3 показана принципова схема такого джерела живлення. РДмнiсть роздiлового конденсатора розраховуiться з урахуванням параметрiв трансформатора (тобто, знаючи коефiцiiнт трансформацii. Спочатку розраховують напругу, що необхiдно забезпечити на входi трансформатора, а потiм, переконавшись у допустимостi такоi напруги для застосовуваного трансформатора, розраховують параметри конденсатора). Потужнiсть, що вiддаiться таким джерелом живлення, цiлком може живити квартирний дзвiнок, приймач, аудiоплеiр.

4. ДЖЕРЕЛА ЖИВЛЕННЯ З РОЗДРЖЛОВИМИ КОНДЕНСАТОРАМИ
У мiкропотужний джерелах живлення з гальванiчною зв'язком з промисловою мережею звичайно застосовуються т.зв. роздiловi конденсатори, якi являють собою не що iнше, як шунтуючi опору, що включаються послiдовно в ланцюг живлення. Вiдомо, що конденсатор, встановлений в колi змiнного струму, володii опором, що залежить вiд частоти i називаiться реактивним. РДмнiсть конденсатора роздiльник (за умови застосування в промисловiй-мережi ~ 220 В, 50 Гц) можна розрахувати за такою формулою:

Для прикладу: зарядний пристрiй для нiкель-кадмiiвих акумуляторiв 12В iмнiстю
1 А / ч може бути що живиться вiд мережi через роздiловий конденсатор. Для нiкель-кадмiiвих акумуляторiв зарядний струм складаi 10% вiд номiналу, тобто 100 мА в нашому випадку. Далi, з огляду на падiння напруги на стабiлiзаторi порядку 3-5 в, отримуiмо, що на входi зарядного пристрою необхiдно забезпечити напругу ~ 18 В при робочому струмi 100 мА. Пiдставляючи цi данi, отримуiмо:


Таким чином, вибираiмо С = 1,5 мкФ з подвоiним робочою напругою 500 В (можуть застосовуватися конденсатори типiв: МБМ, МГБП, МБТ).
Повна схема зарядного пристрою з роздiловим конденсатором наведена на рис. 3.2-2. Пристрiй придатне для зарядки акумуляторiв струмом не бiльше 100 мА при напрузi заряду не бiльш 15В. Подстроiчним резистором R2 встановлюють необхiдне значення напруги заряду. R1 виконуi роль обмежувача струму на початку заряду, а що видiляiться на ньому напруга подаiться на свiтлодiод. По iнтенсивностi свiтiння свiтлодiоди можна судити - наскiльки розряджена АКБ.

5. ЛРЖНРЖЙНЕ ДЖЕРЕЛО ЖИВЛЕННЯ
В даний час традицiйнi лiнiйнi джерела живлення все бiльше витiсняються iмпульсними. Однак, незважаючи на це, вони продовжують залишатися досить зручним i практичним рiшенням у бiльшостi випадкiв радiоаматорського конструювання (iнодi й у промислових пристроях). Причин цього кiлька: по-перше, лiнiйнi джерела живлення конструктивно досить простi i легко настроюються, по-друге, вони не вимагають застосування дорогих високовольтних компонентiв i, нарештi, вони значно надiйнiше iмпульсних ВП. Типовий лiнiйний РЖП мiстить у своiму складi: мережний понижуючий трансформатор, дiодний мiст з фiльтром i стабiлiзатор, який перетворюi нестабiлiзованим напруга, що отримуiться з вторинноi обмотки трансформатора через дiодний мiст i фiльтр, у вихiдне стабiлiзоване напруга, причому, це вихiдна напруга завжди нижче нестабiлiзованим вхiдноi напруги стабiлiзатора. Основним недолiком такоi схеми i низький ККД i необхiднiсть резервування потужностi практично в усiх елементах пристрою (тобто потрiбна установка компонентiв допускають великi навантаження, нiж передбачуванi для ВП у цiлому, наприклад, для РЖП потужнiстю 10 Вт потрiбно трансформатор потужнiстю не менше 15 Вт та тощо). Причиною цього i принцип по якому функцiонують стабiлiзатори лiнiйних ВП. Вiн полягаi в розсiюваннi на регулюючому елементi деякоi потужностi
Ppac = Iнагр * (Uвх - Uвых)
З формули випливаi, що чим бiльша рiзниця мiж вхiдним i вихiдним напругою стабiлiзатора, тим бiльшу потужнiсть необхiдно розсiювати на регулюючому елементi. З iншого боку, чим бiльш нестабiльно вхiдна напруга стабiлiзатора, i чим бiльше воно залежить вiд змiни струму навантаження, тим бiльш високим воно маi бути по вiдношенню до вихiдною напругою. Таким чином видно, що стабiлiзатори лiнiйних РЖП функцiонують у досить вузьких рамках допустимих вхiдних напруг, причому цi рамки ще звужуються при пред'явленнi жорстких вимог до ККД пристрою. Зате досягаються в лiнiйних РЖП ступiнь стабiлiзацii i придушення iмпульсних перешкод набагато перевершують iншi схеми. Розглянемо трохи докладнiше застосовуванi в лiнiйних РЖП стабiлiзатори. Найпростiшi (т.зв. параметричнi) стабiлiзатори заснованi на використаннi особливостей вольт-амперних характеристик деяких напiвпровiдникових приладiв - в основному, стабiлiтронiв. РЗх вiдрiзняi висока вихiдний опiр. невисокий рiвень стабiлiзацii i низький ККД. Такi стабiлiзатори застосовуються тiльки при малих навантаженнях, звичайно - як елементи схем (наприклад, як джерела опорного напруги). Приклади параметричних стабiлiзаторiв та формули для розрахунку наведено на рис. 3.3-1.
Послiдовнi прохiднi лiнiйнi стабiлiзатори вiдрiзняються наступнi характеристики: напруга на навантаженнi не залежить вiд вхiдноi напруги i струму навантаження, допускаються високi значення струму навантаження, забезпечуiться високий коефiцiiнт стабiлiзацii i мале вихiдний опiр. Структурна схема типового лiнiйного стабiлiзатора представлена на рис. 3.3-2. Основний принцип на якiй базуiться його робота - порiвняння вихiдноi напруги з деяким стабiлiзованою опорною напругою i управлiння на основi результатiв цього порiвняння головним силовим елементом стабiлiзатора (на структурнiй схемi-Т.Н. прохiдний транзистор VT1, що працюi в лiнiйному режимi, але це може бути i група компонентiв), на якому i розсiюiться надлишкова потужнiсть (див. наведену вище формулу). У бiльшостi випадкiв радiоаматорського конструювання як джерела живлення пристроiв можуть застосовуватися лiнiйнi РЖП на основi мiкросхем лiнiйних стабiлiзаторiв серii К (КР) 142. Вони мають дуже хорошими параметрами, мають вбудованi ланцюга захисту вiд перевантажень, ланцюги Термокомпенсацii тощо, легко доступнi i простi в застосуваннi (бiльшiсть стабiлiзаторiв цiii серii повнiстю реалiзованi всерединi РЖС, якi (мають усього три висновки). Однак при конструюваннi лiнiйних РЖП великоi потужностi (25-100 Вт) потрiбен бiльш тонкий пiдхiд, а саме: застосування спецiальних трансформаторiв з броньовими сердечниками (що мають бiльший КДП), пряме використання тiльки iнтегральних стабiлiзаторiв неможливе зважаючи на недостатностi iх потужностi, тобто потрiбнi додатковi силовi компоненти i , як наслiдок, додатковi ланцюжка захисту вiд перевантаження, перегрiву i перенапруги. Такi РЖП видiляють багато тепла, припускають установку багатьох компонентiв на великих радiаторах i, вiдповiдно, досить габаритнi; для досягнення високого коефiцiiнта стабiлiзацii вихiдноi напруги потрiбнi спецiальнi схемнi рiшення.

Вместе с этим смотрят:
IP-телефония. Особенности цифровой офисной связи