Електронiка та мiкропроцесорна технiка
РЖнструкцiйна картка №1для самостiйного опрацювання навчального матерiалу з дисциплiни ВлОснови електронiки та мiкропроцесорноi технiкиВ»
РЖ. Тема: 1 Фiзичнi властивостi електронiки
1.1 Основи електронноi теорii
Мета: Формування потреби безперервного, самостiйного поповнення знань; розвиток творчих здiбностей та активiзацii розумовоi дiяльностi.
РЖРЖ. Студент повинен знати:
- Що називаiться роботою виходу електрону;
- Як визначаiться робота виходу;
- Види електронноi емiсii;
- Рух електрона в однорiдному електричному полi;
- Рух електрона в однорiдному магнiтному полi.
РЖРЖРЖ. Студент повинен умiти:
- Виконувати розрахунки роботи виходу;
- Вiдрiзняти види електронноi емiсii;
- Використовувати рух електронiв в електричному i магнiтному полях.
РЖV. Дидактичнi посiбники: Методичнi вказiвки до опрацювання.
V. Лiтература: [3, с. 7-8], [4, с. 5-12].
VРЖ. Запитання для самостiйного опрацювання:
1. Робота виходу електронiв.
2. Види електронноi емiсii.
3. Рух електронiв в електричному i магнiтному полях.
VРЖРЖ. Методичнi вказiвки до опрацювання: Теоретична частина.
VРЖРЖРЖ. Контрольнi питання для перевiрки якостi засвоiння знань:
1. Що таке робота виходу електронiв, що вона характеризуi?
2. Що таке термоелектронна, фотоелектронна, електростатична та вторинна електронна емiсiя?
3. В чому полягаi суть фiзичних процесiв руху електрона в однорiдному електричному та магнiтному полях?
РЖХ. Пiдсумки опрацювання:
Пiдготував викладач: Бондаренко РЖ.В.
Теоретична частина: Основи електронноi теорii
План:
1. Робота виходу електронiв.
2. Види електронноi емiсii.
3. Рух електронiв в електричному i магнiтному полях.
Лiтература
1. Робота виходу електронiв
Принцип дii електронних приладiв заснований на явищi електронноi емiсii - процесi виходу електронiв з поверхнi твердого тiла у вакуум.
Як вiдомо, вiльнi електрони в провiдних матерiалах знаходяться в безперервному хаотичному русi. За звичайних умов електрони не можуть вийти за межi поверхнi тiл, оскiльки цьому перешкоджають електричнi сили взаiмодii електрона з тiлом. Щоб електрон вилетiв за межi металу, вiн повинен володiти енергiiю, достатньою для подолання сил, що утримують його в металi. Внутрiшнiй енергii електрона для цього недостатньо. Тому йому потрiбно надати додаткову енергiю ззовнi. Найменша додаткова енергiя, яку необхiдно надати електрону ззовнi для подолання сил, що утримують його в металi, називаiться роботою виходу i позначаiться W0. Вона вимiрюiться в електронвольтах. Робота виходу i однiiю з основних характеристик електронноi емiсii. Чим менше W0, тим краще емiсiйнi властивостi матерiалу. Значення роботи виходу для рiзних металiв, використовуваних в електронних приладах, коливаiться в межах вiд 1,8 еВ для цезiю до 4,5 еВ для вольфраму.
Залежно вiд виду додатковоi енергii, використовуваноi для того, щоб електрони могли зробити роботу виходу, розрiзняють декiлька видiв електронноi емiсii: термоелектронну, фотоелектронну, вторинну i електростатичну.
2. Види електронноi емiсii
Термоелектронною емiсiiю називаiться процес випромiнювання електронiв з поверхнi нагрiтого металу. Цей вид електронноi емiсii широко використовуiться в електровакуумних i деяких iонних приладах. При нагрiваннi металу електрони отримують додаткову енергiю, швидкiсть електронiв, а отже, iх кiнетична енергiя зростаi, i деяке число електронiв долаi сили, що перешкоджають iх виходу з металу в зовнiшнiй простiр. Чим вище температура i менше робота виходу металу, тим бiльше число електронiв володiтиме енергiiю, достатньою для подолання сил, що перешкоджають виходу електронiв з металу.
Фотоелектронною емiсiiю називаiться процес виходу електронiв з поверхнi металу, що опромiнюiться променистою енергiiю. Явище фотоелектроннiй емiсii носить назва зовнiшнього фотоефекту. За рахунок поглиненоi енергii свiтлового потоку збiльшуiться енергiя електронiв в металi. При цьому електрони, що отримали енергiю, достатню для здiйснення роботи виходу, вилiтають за межi металу, створюючи потiк вiльних електронiв.
Фотоелектронна емiсiя може виникати при опромiнюваннi металу променями видимого спектру, iнфрачервоними, ультрафiолетовими i рентгенiвськими. Цей вид емiсii використовуiться у фотоелементах, фотопомножувачах i в телевiзiйних трубках.
Вторинна електронна емiсiя - це емiсiя електронiв з поверхнi металу при опромiнюваннi його потоком електронiв. Якщо електрони, рухомi з великою швидкiстю, ударяються об поверхню металу, то iх кiнетична енергiя руху передаiться електронам металу. Електрони, що отримали необхiдну додаткову енергiю, вилiтають з поверхнi металу. При цьому електрони, падаючi на поверхню металу, називаються первинними, а що вилiтають з металу - вторинними.
Струм вторинноi емiсii залежить вiд властивостей металу, стану його поверхнi, швидкостi i кута падiння первинних електронiв. Кiлькiсно вторинна емiсiя оцiнюiться коефiцiiнтом вторинноi емiсii а, рiвним вiдношенню кiлькостi вторинних електронiв n2 до кiлькостi первинних електронiв n1 Цей вид емiсii використовуiться в електронних помножувачах i деяких спецiальних радiолампах. У деяких лампах вторинна емiсiя порушуi нормальну iх роботу.
Електростатична (автоелектронна) емiсiя тАУ це емiсiя електронiв з поверхнi металу (холодного) пiд дiiю сильного прискорюючого електричного поля (106-108 В/см). Дiя зовнiшнього електричного поля еквiвалентна зменшенню роботи виходу електрона. Пiд дiiю цього поля вiдбуваiться як би виривання електронiв з металу. Цей вид емiсii використовуiться в рентгенiвських трубках, а також в деяких, газорозрядних i напiвпровiдникових приладах.
3. Рух електронiв в електричному i магнiтному полях
Рух електрона в однорiдному електричному полi
У електронних приладах рух вiльних електронiв вiдбуваiться пiд дiiю електричних або магнiтних полiв. Залежно вiд напряму початковоi швидкостi електрона електричне поле може його рух прискорювати, гальмувати або змiнювати напрям.
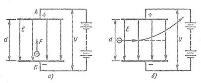
Для з'ясування фiзичних процесiв розглянемо рух електрона в однорiдному електричному полi. Уявимо собi, що в балонi, в якому створений вакуум, розташованi два взаiмно паралельних електроду - катод К i анод А (мал. 1.1, а).

Мал. 1.1
Якщо до цих електродiв приiднати батарею з напругою плюсом до анода i мiнусом до катода, то в просторi мiж анодом i катодом буде створено електричне поле з напруженiстю
![]()
де U - рiзницяпотенцiалiв, d - вiдстаньмiж електродами.
Якщо в електричне поле з напруженiстю Е помiстити електрон, заряд якого рiвний е, то на нього дiятиме сила електричного поля, рiвна добутку заряду на напруженiсть поля:
![]()
Сила електричного поля направлена вiд катода до анода.
Якщо початкова швидкiсть електрона рiвна нулю i спiвпадаi з напрямом сили електричного поля, то електрон, помiщений в дане поле, зазнаi прискорення i перемiщатиметься з точок з меншим потенцiалом до точок з вищим потенцiалом. При цьому швидкiсть електрона i його кiнетична енергiя зростатимуть. Рух електрона буде рiвномiрно прискореним, тому таке поле називають прискорюючим.
На пiдставi закону збереження енергii прирiст кiнетичноi енергii електрона повинен дорiвнювати роботi, яку здiйснюi електричне поле при перемiщеннi електрона, тобто

де m - маса електрона; υн, υ - початкова i кiнцева швидкостi електрона; U=U2 тАУ U1 - рiзниця потенцiалiв, пройдена електроном, в електричному полi.
Якщо початкова швидкiсть електрона рiвна нулю, то електрон рухатиметься тiльки пiд дiiю сили поля. В цьому випадку кiнетична енергiя електрона визначаiться виразом
![]()
З (1.4) можна визначити швидкiсть електрона в кiнцi його шляху

Пiдставляючи е/т= 1,759·1011 К/кг, отримаiмо вираз для швидкостi електрона при русi його в прискорюючому електричному полi:
![]()
З (1.6) витiкаi, що швидкiсть руху електрона умовно можна виражати не тiльки в км/с, але i у В.
Для визначення часу прольоту електрона в однорiдному прискорюючому полi виразимо силу електричного поля через масу i прискорення:
![]()
Звiдси
![]()
Шлях, пройдений електроном за час t, можна визначити з виразу d=at2/2, сюди пiдставимо значення з (1.7), отримаiмо

звiдки

Пiдставивши в отриманий вираз значення m i е, отримаiмо формулу для визначення часу прольоту електрона:
![]()
Час прольоту t дуже малий, в багатьох практичних електронних пристроях не враховуiться, звiдси електронну лампу можна вважати безiнерцiйним приладом.
Якщо пiд дiiю початковоi швидкостi електрон рухаiться уздовж напряму лiнiй поля (вiд точок з великим потенцiалом до точок з меншим потенцiалом), то вiн здiйснюi роботу проти сил поля, при цьому його швидкiсть i запас кiнетичноi енергii зменшуються i вiн рухаiться прямолiнiйно i рiвносповiльнено. Поле, в якому електрон здiйснюi рiвносповiльнений рух, називають гальмуючим.
При повнiй втратi кiнетичноi енергii швидкiсть електрона впаде до нуля i вiн пiд дiiю сили поля рухатиметься рiвноприскорено у зворотному напрямi, набуваючи втраченоi кiнетичноi енергii.
Коли вектор початковоi швидкостi електрона перпендикулярний напряму дii сили електричного поля (мал. 1.1,6), траiкторiя руху електрона матиме вид параболи. Таке поле називають поперечним.
Рух електрона в однорiдному магнiтному полi
У рядi електронних приладiв управлiння траiкторiiю руху електронiв здiйснюiться за допомогою сил магнiтного поля. Дiя магнiтного поля на електрон аналогiчно дii магнiтного поля на провiдник iз струмом.
Сила, з якою дii магнiтне поле на провiдник iз струмом, визначаiться виразом
![]()
де F - механiчнасила, що дii на провiдник завдовжки l; В - магнiтна iндукцiя; i - електричний струм в провiднику; α - кут мiж напрямом струму в провiднику i напрямом силових лiнiй магнiтного поля.

Мал. 1.2 Мал. 1.3
Якщо струм для одного електрона рiвний i=e/t i в даному виразi чисельник i знаменник помножити на швидкiсть руху електрона v, то (1.9) можна представити у виглядi F=Bev sinα.
Аналiзуючи отриманий вираз, можна зробити наступний висновок, що на нерухомий електрон i електрон, що перемiщаiться уздовж лiнiй поля, магнiтне поле не дii. Сила магнiтного поля на рухомий електрон буде максимальною, коли вiн перемiщаiться перпендикулярно напряму сил магнiтного поля Fmax = Bev. Напрям цiii сили визначаiться за правилом лiвоi руки. Сила F завжди перпендикулярна напряму швидкостi електрона (мал. 1.2). Тому магнiтне поле не змiнюi швидкостi електрона, а змiнюi його напрям.
Якщо електрон входить в однорiдне магнiтне поле пiд кутом 90В° до силових лiнiй, то вiн рухатиметься по колу, лежачому в площинi, перпендикулярнiй лiнiям поля (мал. 1.2). Коли кут α не рiвний 90В°, то швидкiсть електрона може бути розкладена на двi складовi vHi v (мал. 1.3).
Перша складова швидкостi vHперпендикулярна напряму сил поля i примусить електрон обертатися по колу. Друга складова швидкостi електрона направлена уздовж сил магнiтного поля i тому з ним не взаiмодii. В результатi дii два складових електрон перемiщатиметься по спiралi.
Таким чином, магнiтне поле не змiнюi енергii рухомого електрона, а змiнюi тiльки траiкторiю його руху. Це властивiсть магнiтного поля використовуiться в електронно-променевих трубках i iнших електронних приладах.
Контрольнi запитання:
1. Що таке робота виходу електронiв, що вона характеризуi?
2. Що таке термоелектронна,фотоелектронна, електростатична та вторинна електронна емiсiя?
3. В чому полягаi суть фiзичних процесiв руху електрона в однорiдному електричному та магнiтному полях?
РЖнструкцiйна картка №2 для самостiйного опрацювання навчального матерiалу з дисциплiни ВлОснови електронiки та мiкропроцесорноi технiкиВ»
РЖ. Тема: 1 Фiзичнi властивостi електронiки
1.2 Електрофiзичнi властивостi напiвпровiдникiв
Мета: Формування потреби безперервного, самостiйного поповнення знань; розвиток творчих здiбностей та активiзацii розумовоi дiяльностi.
РЖРЖ. Студент повинен знати:
- Види пробою;
- Температурнi i частотнi характеристики переходу;
- Еквiвалентну схему р-п-переходу;
- Способи створення р-п-переходу.
РЖРЖРЖ. Студент повинен умiти:
- Перевiряти справнiсть р-п-переходу;
- Використовувати основнi властивостi р-п-переходу.
РЖV. Дидактичнi посiбники: Методичнi вказiвки до опрацювання.
V. Лiтература: [2, с. 50-61].
VРЖ. Запитання для самостiйного опрацювання:
1. Вольт-амперна характеристика р-п-переходу
2. Температурнi i частотнi характеристики переходу. Еквiвалентна схема р-п-переходу
3. Створення р-п-переходу
VРЖРЖ. Методичнi вказiвки до опрацювання: Теоретична частина.
VРЖРЖРЖ. Контрольнi питання для перевiрки якостi засвоiння знань:
1. Що таке р-n-перехiд та як вiн створюiться?
2. Що собою являi вольт-амперна характеристика р-n-переходу?
3. Що таке пробiй переходу, види пробою?
4. Як впливаi температура на характеристики р-n-переходу?
5. Як залежать властивостi р-п переходу вiд частоти прикладеноi напруги?
6. Що таке еквiвалентна схема p-n переходу?
РЖХ. Пiдсумки опрацювання:
Пiдготував викладач: Бондаренко РЖ. В
Теоретична частина: Електрофiзичнi властивостi напiвпровiдникiв
План:
1. Вольт-амперна характеристика р-п-переходу
2. Температурнi i частотнi характеристики переходу. Еквiвалентна схема р-п-переходу
3. Створення р-п-переходу
Лiтература
1. Вольт-амперна характеристика р-п-переходу
Властивостi електронно-дiркового переходу наочно iлюструються його вольтамперною характеристикою (мал. 3.8, а), що показуi залежнiсть струму через р-п перехiд вiд величини i полярностi прикладеноi напруги.

Мал. 3.8. Характеристики р-п переходу: а - вольтамперна; б - опору
Розрiзняють два види пробою: електричний (оборотний) i тепловий (необоротний).
Електричний пробiй вiдбуваiться в результатi внутрiшньоi електростатичноi емiсii (зiнеровський пробiй) i пiд дiiю ударноi iонiзацii атомiв напiвпровiдника (лавинний пробiй).
Внутрiшня електростатична емiсiя в напiвпровiдниках аналогiчна електростатичнiй емiсii електронiв з металу. Суть цього явища полягаi в тому, що пiд дiiю сильного електричного поля електрони можуть звiльнитися вiд ковалентних зв'язкiв i отримати енергiю, достатню для подолання високого потенцiйного бар'iру в областi р-п переходу. Рухаючись з бiльшою швидкiстю на дiлянцi р-п переходу, електрони стикаються з нейтральними атомами i iонiзують iх. В результатi такоi ударноi iонiзацii з'являються новi вiльнi електрони i дiрки, якi, у свою чергу, розганяються полем i створюють зростаючу кiлькiсть носiiв струму. Описаний процес носить лавиноподiбний характер i приводить до значного збiльшення зворотного струму через р-п перехiд. Таким чином, надмiрно збiльшувати зворотну напругу не можна. Якщо вона перевищить максимально допустиму для даного р-п переходу величину, то дiлянка р-п переходу проб'iться, а р-п перехiд втратить властивiсть односторонньоi провiдностi (тепловою пробою).
Тепловий пробiй р-п переходу вiдбуваiться унаслiдок вiдривання валентних електронiв iз зв'язкiв в атомах при теплових коливаннях кристалiчноi решiтки. Теплова генерацiя пар електрон-дiрка приводить до збiльшення концентрацii неосновних носiiв заряду i до зростання зворотного струму. Збiльшення струму, у свою чергу, приводить до подальшого пiдвищення температури. Процес наростаi лавиноподiбно.
Електричний i тепловий пробоi р-п переходу у багатьох випадках вiдбуваються одночасно. При надмiрному розiгрiваннi переходу, коли вiдбуваiться змiна структури кристала, перехiд необоротно виходить з ладу. Якщо ж при виникненнi пробою струм через р-п перехiд обмежений опором зовнiшньому ланцюгу i потужнiсть, що видiляiться на переходi, невелика, то пробiй обернений. В цьому випадку можна управляти зворотним струмом шляхом змiни зовнiшньоi напруги, що пiдводиться до переходу.
Аналiз вольтамперноi характеристики р-п переходу дозволяi розглядати його як нелiнiйний елемент, опiр якого змiнюiться залежно вiд величини i полярностi прикладеноi напруги (мал. 3.8, б). При збiльшеннi прямоi напруги опiр р-п переходу зменшуiться. РЖз змiною полярностi i величини прикладеноi напруги опiр р-п переходу рiзко зростаi. Отже, пряма (лiнiйна) залежнiсть мiж напругою i струмом (закон Ома) для р-п переходiв не дотримуiться. Нелiнiйнi властивостi р-п переходiв лежать в основi роботи напiвпровiдникових приладiв, що використовуються для випрямляння змiнного струму, перетворення частоти, обмеження амплiтуд i т.д.
2. Температурнi i частотнi характеристики переходу. Еквiвалентна схема р-п-переходу
Температурнi i частотнi властивостi р-п переходу
Властивостi р-п переходу iстотно залежать вiд температури навколишнього середовища. При пiдвищеннi температури зростаi генерацiя пар носiiв заряду - електронiв i дiрок, тобто збiльшуiться концентрацiя неосновних носiiв i власна провiднiсть напiвпровiдника. Це наочно показують вольтампернi характеристики германiiвого р-п переходу, знятi при рiзнiй температурi (мал. 3.9). Як видно з малюнка, при пiдвищеннi температури прямий i зворотний струми ростуть, а р-п перехiд втрачаi своя основна властивiсть - односторонню провiднiсть.
Залежнiсть вiд температури зворотноi гiлки вольтамперноi характеристики визначаiться температурними змiнами струму насичення. Цей струм пропорцiйний рiвноважнiй концентрацii неосновних носiiв заряду, яка iз збiльшенням температури зростаi по експоненцiальному закону.
Для германiiвих i кремнiiвих р-п переходiв зворотний струм зростаi приблизно в 2-2,5 разу при пiдвищеннi температури на кожнi 10 В°С.

Мал. 3.9. Вплив температури на вольтамперну характеристику р-п переходу
Прямий струм р-п переходу при нагрiвi зростаi не так сильно, як зворотний струм. Це пояснюiться тим, що прямий струм виникаi в основному за рахунок домiшковоi провiдностi. Але концентрацiя домiшок вiд температури практично не залежить. Температурна залежнiсть прямоi гiлки вольтамперноi характеристики визначаiться змiнами струму i показника експоненти.
Для германiiвих приладiв верхня температурна межа 70..90В°С. У кремнiiвих приладiв унаслiдок бiльшоi енергii, необхiдноi для вiдриву валентного електрона вiд ядра атома, ця межа вища: 120.. 150В°С.
Властивостi р-п переходу залежать також вiд частоти прикладеноi напруги. Це пояснюiться наявнiстю власноi iмностi мiж шарами напiвпровiдника з рiзними типами провiдностi.
При зворотнiй напрузi, прикладенiй до р-п переходу, носii зарядiв обох знакiв знаходяться по обидвi сторони переходу, а в областi самого переходу iх дуже мало. Таким чином, в режимi зворотноi напруги р-п перехiд i iмнiсть, величина якоi пропорцiйна площi р-п переходу, концентрацii носiiв заряду i дiелектричноi проникностi матерiалу напiвпровiдника. Цю iмнiсть називають бар'iрною. При малiй зворотнiй напрузi, прикладенiй до р-п переходу, носii зарядiв протилежних знакiв знаходяться на невеликiй вiдстанi один вiд одного. При цьому власна iмнiсть р-п переходу велика. При збiльшеннi зворотноi напруги електрони все далi вiдходять вiд дiрок по обидвi сторони вiд р-п переходу i iмнiсть р-п переходу зменшуiться. Отже, р-п перехiд можна використовувати як iмнiсть, керовану величиною зворотноi напруги.
При прямiй напрузi р-п перехiд, окрiм бар'iрноi iмностi, володii так званою дифузiйною iмнiстю. Ця iмнiсть обумовлена накопиченням рухомих носiiв заряду. При прямiй напрузi в результатi iнжекцii основнi носii заряду у великiй кiлькостi дифундують через знижений потенцiйний бар'iр i, не встигнувши рекомбiнувати, накопичуються в n- i р-областях. Кожному значенню прямоi напруги вiдповiдаi певна величина заряду накопиченого в областi р-п переходу.

Мал. 3.10. Еквiвалентна схема p-n переходу
Дифузiйна iмнiсть не робить iстотного впливу на роботу р-п переходу, оскiльки вона завжди зашунтована малим прямим опором переходу. Найбiльше практичне значення маi бар'iрна iмнiсть. У зв'язку з цим еквiвалентна схема р-п переходу (схема замiщення) для змiнного струму маi вигляд, показаний на мал. 3.10. При зворотнiй напрузi дифузiйна iмнiсть вiдсутня i маi дуже велику величину. При роботi на високих частотах опiр iмностi зменшуiться, i зворотний струм може пройти через цю iмнiсть, не дивлячись на велику величину опору. Це порушуi нормальну роботу приладу, оскiльки р-п перехiд втрачаi властивiсть односторонньоi провiдностi. Тому для роботи на високих частотах використовуються в основному точковi напiвпровiдниковi прилади, у яких площа р-п переходу незначна i власна iмнiсть мала.
В даний час i напiвпровiдниковi прилади, що успiшно працюють в дуже широкому дiапазонi частот - до сотень мегагерц i вище.
3. Створення р-п-переходу
Всi електричнi контакти можна роздiлити на три основнi групи: омiчнi, нелiнiйнi i iнжекторнi. Залежно вiд призначення контакту до нього пред'являються рiзнi вимоги. Так, омiчний контакт повинен володiти дуже малим перехiдним опором, не спотворювати форму сигналу, не створювати шумiв, мати лiнiйну вольтамперну характеристику. Подiбнi контакти необхiднi для з'iднання елементiв схеми один з одним, з джерелами живлення i т.д.
Нелiнiйнi контакти використовуються для перетворення електричних сигналiв (випрямляння, детектування, генерування i т. п.). Вони мають рiзко нелiнiйну вольтамперну характеристику, форма якоi визначаiться конкретним призначенням вiдповiдного приладу. РЖнжектуючi контакти володiють здатнiстю направляти носii зарядiв тiльки в один бiк. Цей тип контактiв широко використовуiться в напiвпровiдникових приладах, наприклад, в бiполярних транзисторах .
Найбiльшого поширення в напiвпровiдниковiй технiцi i мiкроелектронiцi набули контакти типу напiвпровiдник - напiвпровiдник, а фiзичнi явища, що вiдбуваються в зонi цих контактiв, лежать в основi роботи бiльшостi напiвпровiдникових приладiв.
Електричний перехiд мiж двома областями напiвпровiдника, одна з яких маi електропровiднiсть п-типу, а iнша р-типу, називають електронно-дiрковим, або р-п переходом (мал. 3.1).
Електронно-дiрковий перехiд не можна створити простим зiткненням пластин п- i р-типу, оскiльки при цьому неминучий промiжний шар повiтря, оксидiв або поверхневих забрудненнi. Цi переходи отримують вплавленням або дифузiiю вiдповiдних домiшок в пластинки монокристала напiвпровiдника, а також шляхом вирощування р-п переходу з розплаву напiвпровiдника з регульованою кiлькiстю домiшок. Залежно вiд способу виготовлення р-п переходи бувають сплавними, дифузiйними i iн.
Розглянемо явища, що виникають при електричному контактi мiж напiвпровiдниками п- i р-типу з однаковою концентрацiiю донорних i акцепторних домiшок (мал. 3.2, а). Допустимо, що на межi роздiлу (перетин х0) тип домiшок рiзко змiнюiться (мал. 3.2, б).
РЖснування електронно-дiрковогопереходу обумовлене вiдмiннiстю в концентрацii рухомих носiiв заряду електронноi i дiрчастоi областей.

Мал. 3.1. Електронно-дiрковий перехiд
Унаслiдок того що концентрацiя електронiв в n-областi вища, нiж в р-областi, а концентрацiя дiрок в р-областi вища, нiж в п -областi, на межi цих областей iснуi градiiнт концентрацiй носiiв, що викликаi дифузiйний струм електронiв з n-областi в р-область i дифузiйний струм дiрок з р-областi в n-область (потiк 2 на мал. 3.2, а). Окрiм струму, обумовленого рухом основних носiiв заряду, через границю роздiлу напiвпровiдникiв можливий струм неосновних носiiв (електронiв з р-областi в n-область i дiрок з n-областi в р-область). Потоки неосновних носiiв на мал. 3.2, а позначенi вiдповiдно 3 i 4. Унаслiдок iстотноi вiдмiнностi в концентрацiях основних i неосновних носiiв струм, обумовлений основними носiями заряду, переважатиме над струмом неосновних носiiв. Якби електрони i дiрки були нейтральними, то дифузiя зрештою привела до повного вирiвнювання iх концентрацii за всiм обсягом кристалi. На самiй же справi дифузiйнi струми через р-п перехiд не приводять до вирiвнювання концентрацii носiiв в обох частинах напiвпровiдника. З мал. 3.2, видно, що вiдхiд електронiв з при контактнiй n-областi призводить до того, що iх концентрацiя тут зменшуiться i виникаi некомпенсований позитивний заряд iонiв донорноi домiшки. Так само в р-областi унаслiдок вiдходу дiрок iх концентрацiя в приконтактному шарi знижуiться (мал. 3.2, в) i тут виникаi негативний заряд iонiв акцепторноi домiшки, що не компенсуiться. Таким чином, на межi областей n- i р-типу утворюються два шару протилежних по знаку зарядiв. Область просторових зарядiв, що утворилися, i р-n перехiд. Його ширина зазвичай не перевищуi десятих доль мiкрометра.
Просторовi заряди в переходi утворюють електричне поле, направлене вiд позитивно заряджених iонiв донорiв до негативно заряджених iонiв акцепторiв. Схема утворення електричного поля в р-n переходi показана на мал. 3.3, а i б. Це поле i гальмуючим для основних носiiв заряду i прискорюючим для неосновних. Тепер будь-який електрон, що проходить з електронноi областi в дiркову, потрапляi в електричне поле, прагнучи повернути його назад в електронну область. Так само i дiрки, потрапляючи з областi р в електричне поле p-n переходу, будуть поверненi цим полем назад в р-область.
Що ж до неосновних носiiв заряду, то вони, здiйснюючи хаотичний тепловий рух (дрейфуючи), можуть потрапити в зону p-n переходу. В цьому випадку прискорююче поле переходу виштовхне iх за межi переходу.
На мал. 3.3, в показаний розподiл напруженостi поля в p-n переходi. Найбiльша величина напруженостi спостерiгаiться в перетинi х0, оскiльки через цей перетин проходять всi силовi лiнii, що починаються на позитивних зарядах, розташованих лiвiше х0. У мiру видалення вiд х0 влiво кiлькiсть некомпенсованих позитивних зарядiв зменшуватиметься, отже, i напруженiсть поля зменшуватиметься. Аналогiчна картина спостерiгаiться i при видаленнi вправо вiд перетину х0. Якщо вважати, що поле створюiться тiльки зарядами донорiв i акцепторiв, то зменшення напруженостi вiдбуваiться по лiнiйному закону.
Потенцiйна дiаграма p-n переходу показана на мал. 3.3,г. За нульовий потенцiал умовно прийнятий потенцiал шару. При перемiщеннi вiд х0 до перетину хп потенцiал пiдвищуiться, а при перемiщеннi вiд х0 до хр - знижуiться. За межами переходу поле вiдсутнi. Перепад потенцiалу в переходi рiвний контактнiй рiзницi потенцiалiв UK. Цей перепад зазвичай називають потенцiйним бар'iром, оскiльки вiн перешкоджаi перемiщенню основних носiiв заряду.
Слiд зазначити, що при кiмнатнiй температурi деяка кiлькiсть основних носiiв зарядiв в кожнiй з областей напiвпровiдника володii енергiiю, достатньою для подолання потенцiйного бар'iру. Це призводить до того, що через p-n перехiд дифундуi незначна кiлькiсть електронiв i дiрок, утворюючи вiдповiдно електронну i дiркову складовi дифузiйного струму. Крiм того, через р-п перехiд безперешкодно проходять неосновнi носii заряду, дiрки з n-областi i електрони з р-областi, для яких електричне поле р-п переходу i прискорюючим. Цi заряди утворюють вiдповiдно електронну i дiркову складовi дрейфового струму. Напрям дрейфового струму неосновних носiiв протилежний напряму дифузiйного струму основних носiiв. Оскiльки в iзольованому напiвпровiднику щiльнiсть струму повинна бути рiвна нулю, то врештi-решт встановлюiться динамiчна рiвновага, коли дифузiйний i дрейфовий потоки зарядiв через р-п перехiд компенсують один одного.
Контрольнi запитання:
1. Що таке р-n-перехiд та як вiн створюiться?
2. Що собою являi вольт-амперна характеристика р-n-переходу?
3. Що таке пробiй переходу, види пробою?
4. Як впливаi температура на характеристики р-n-переходу?
5. Як залежать властивостi р-п переходу вiд частоти прикладеноi напруги?
6. Що таке еквiвалентна схема p-n переходу?
РЖнструкцiйна картка №3 для самостiйного опрацювання навчального матерiалу з дисциплiни ВлОснови електронiки та мiкропроцесорноi технiкиВ»
РЖ. Тема: 2 Електроннi прилади
2.1 Пасивнi елементи електронiки
Мета: Формування потреби безперервного, самостiйного поповнення знань; розвиток творчих здiбностей та активiзацii розумовоi дiяльностi.
РЖРЖ. Студент повинен знати:
- Призначення коливального контуру;
- Види коливальних контурiв;
- Основнi характеристики коливального контуру.
РЖРЖРЖ. Студент повинен умiти:
- Викреслювати схеми коливальних контурiв;
- Характеризувати схеми;
- Визначати основнi параметри схеми.
РЖV. Дидактичнi посiбники: Методичнi вказiвки до опрацювання.
V. Лiтература: [5, с. 80-93].
VРЖ. Запитання для самостiйного опрацювання:
1. Коливальнi контури, iх використання
VРЖРЖ. Методичнi вказiвки до опрацювання: Теоретична частина.
VРЖРЖРЖ. Контрольнi питання для перевiрки якостi засвоiння знань:
1. Що являi собою коливальний контур?
2. Область застосування коливального контуру?
3. Основнi параметри коливального контуру?
РЖХ. Пiдсумки опрацювання:
Пiдготував викладач: Бондаренко РЖ. В
Теоретична частина: Пасивнi елементи електронiки
План:
1. Коливальнi контури, iх використання
Лiтература
1. Коливальнi контури, iх використання
Коливальний контур (рис. 1-28, а) являi собою широко розповсюджений радiотехнiчний пристрiй, що складаiться з iндуктивностi L, iмностi С i активного опору r. Слiд зазначити, що активний опiр звичайно намагаються зробити якомога меншим, але позбавитися його взагалi неможливо, оскiльки провiдник завжди маi якийсь опiр. Проте, оскiльки опiр r дуже й дуже малий, ним звичайно нехтують i на схемах не показують.
Коли конденсатор С коливального контура (рис. 1-28, б) спочатку пiдiмкнути до джерела живлення Е, а пiсля того як вiн зарядиться, перемкнути на котушку L, то конденсатор почне розряджатися i в колi утворюiться електричний струм, утворюючи навколо котушки магнiтне поле. Спочатку й струм, i магнiтне поле збiльшуються. При цьому силовi лiнii поля перетинають витки котушки, наводячи в нiй i. р. с. самоiндукцii, яка перешкоджаi пiдсиленню струму. Однак струм все-таки досягаi максимального значення, i в цей момент вже не змiнюiться, а де означаi, що магнiтне поле котушки виявляiться постiйним, магнiтнi силовi лiнii не перетинають ii виткiв, отже, е. р.с. самоiндукцii дорiвнюi нулю. У цей момент конденсатор розряджаiться повнiстю, запасена ним енергiя, що визначаiться за формулою
![]()
дорiвнюватиме нулю, цiлком перетворившись на енергiю магнiтного поля котушки, що визначаiться як
![]()

Рис. 1-28. Вiльнi коливання в одиночному коливальному контурi:
а тАФ коливальний контур; б тАФ розряджання конденсатора; в тАФ графiк затухаючих коливань.
Проте напруженiсть магнiтного поля стаi максимальною.
Тепер вже струм (пiсля точки 1 на графiку) поступово зменшуiться. Як тiльки струм почне зменшуватись, магнiтнi силовi лiнii перетинають витки котушки й наводять е. р. с. самоiндукцii протилежного напрямку, причому е. р. с. вже перешкоджаi не зростанню, а зменшенню струму. Пiд дiiю енергii магнiтного поля струм продовжуi проходити в тому самому напрямку i зменшуватись, конденсатор перезаряджаiться, напруга на ньому, напрямлена проти е. р. с. котушки, пiдвищуiться. У деякий момент (точка 2 на рис. 1-28, в) струм у контурi дорiвнюватиме нулю, а напруга на конденсаторi досягне максимального значення. Отже, розглядуваний контур прийде в початковий стан, i далi процес розвиватиметься, як вже було описано (тiльки напрямок струму тепер буде протилежний) i т. д.
Таким чином, у розглядуваному контурi утворюються гармонiчнi електромагнiтнi коливання.
Важливо зазначити, що цей процес не i скiнченним, оскiльки частина енергii все-таки втрачаiться. Коливання поступово, як кажуть, затухають, про що свiдчить i характер кривоi на рис. 1-28, в. Енергiя втрачаiться в активному опорi проводiв, розсiюiться магнiтним полем котушки, витрачаiться в дiелектрику конденсатора. Зрештою пiсля ряду коливань процес припиняiться. Подiбнi коливання називають ще вiльними, через те що контур не зазнаi ззовнi нiяких дiй (крiм первинного заряду конденсатора).
Коли розглядати процеси в коливальному контурi з енергетичного погляду, то маiмо справу з обмiном енергiiю мiж конденсатором i котушкою. Енергiя електричного поля конденсатора, яку можна вважати потенцiальною (оскiльки вона зумовлена нерухомими електричними зарядами), переходить в енергiю магнiтного поля котушки тАФ кiнетичну (через те що вона пов'язана з зарядами, що рухаються), i навпаки. В результатi кожного такого обмiну частина енергii втрачаiться безповоротно, i процес зрештою припиняiться.
Час, протягом якого здiйснюiться повний цикл обмiну енергiiю (точка 3 на рис 1-28, в), називаiться перiодом коливань. Якщо нехтувати активним опором r, то перiод коливання можна визначити за формулою
![]()
Число коливань за секунду називають частотою i знаходять за формулою
![]()
У радiотехнiчних розрахунках зручнiше користуватися круговою частотою, яка визначаiться як ![]()
Вимушенi коливання в коливальному контурi
Коли коливальний контур пiддати зовнiшнiм дiям, наприклад, як це часто робиться на практицi, пiдiмкнути до нього джерело змiнноi е. р. с. тАФ генератор, то коливання ii такому контурi вже не будуть вiльними. Генератор як би нав'язуi контуру спою частоту електричних коливань, i тому такi коливання називають вимушеними.
На рис. РЖ-29,а зображено так званий послiдовний коливальний контур, елементи якого з'iднанi мiж собою послiдовно.

Рис. 1-29. Послiдовний коливальний контур (а) i графiк залежностi реактивних опорiв вiд частоти (б).
Частоту генератора або значення L i С, можна зробити однаковими iндуктивний i iмнiсний опори. Тодi загальний опiр контура виявиться найменшим z = r, а струм у контурi, природно, досягне максимального значення. Напруги на котушцi i на конденсаторi дорiвнюють одна однiй, напрямленi протилежно i, отже, компенсують одна одну. Отже, струм визначаiться тiльки активним опором i внутрiшнiм опором генератора. Цей режим дiстав назву резонансу напруг.
Опiр котушки i конденсатора при резонансi напруг називають хвильовим, тобто
Вместе с этим смотрят:
IP-телефония. Особенности цифровой офисной связи