Анализ результативности системного менеджмента предприятия
тАУ анализируется система управления в ООО "ЮМА", стратегия управления производством, мотивация;
тАУ анализируется техническое оснащение предприятия ООО "ЮМА", ряд его экономических показателей;
тАУ проводится анализ структуры оборотных средств, анализ себестоимости продукции, анализ рентабельности, финансового состояния, трудовых показателей, анализ использования трудовых ресурсов, анализ производительности труда, анализ заработной платы;
тАУ производится расчет экономического эффекта, расчет эффективности управленческого труда.
тАУ на основе обобщения подходов, описанных в специальной литературе, формулируется концепция стратегического менеджмента в ООО "ЮМА", действующей на российском рынке;
Объектом исследования в настоящей работе является малое частное предприятие ООО "ЮМА". Предметом исследования тАУ её хозяйственная деятельность.
1. Краткая характеристика объекта
1.1. Организационно-правовая форма и структура предприятия
Малое частное предприятие ООО "ЮМА" является обществом с ограниченной ответственностью.
Внутренняя среда организации тАУ это часть общего окружения, которая находится в рамках организации. Она оказывает непосредственное воздействие на функционирование организации и состоит из нескольких элементов, каждый из которых включает в себя набор ключевых процессов и элементов организации, определяющих ее потенциал и возможности.
Организационная структура управления ООО "ЮМА" представлена на рисунке 1.

Рис. 1. Структура управления ООО "ЮМА"
Во главе ООО "ЮМА" находится совет учредителей, состоящий из учредителей предприятия. Он является координационным и управляющим центром и осуществляет руководство над предприятием.
Директор является главным менеджером организации. Он несет персональную ответственность за положение дел на предприятии, отвечает за подбор и расстановку кадров на предприятии и отчитывается перед учредителями.
Заместитель директора ведет учет и управление над производственными затратами, контролирует изменения в фактической себестоимости продукции. Он осуществляет внедрение новых и совершенствует действующие технологические процессы, контролирует качество продукции и соблюдение технологии. Следит за выполнением всех работ по обеспечению бесперебойной эксплуатации, обслуживания и ремонта механического и энергетического оборудования цеха, осуществляет техническое руководство, разрабатывает оперативно-календарные планы производства продукции. Заместитель директора курирует сбыт произведенной продукции и отвечает за поставки сырья.
Вместе с директором они руководят и отвечают за состояние работ, психологический климат в коллективе и за результаты всех видов его производственно-хозяйственной деятельности. Они распределяют работу, контролируют соблюдение технологической и трудовой дисциплины и обеспечивают достижение высоких конечных показателей.
Столяры, разнорабочие, водитель непосредственно участвуют в производственном процессе.
1.2. Система управления
1.2.1. Структура (линейная, функциональная, дивизионная, адаптивная)
Функции управления деятельностью предприятия реализуются подразделениями аппарата управления и отдельными работниками, которые при этом вступают в экономические, организационные, социальные, психологические и другие отношение друг с другом. Организационные отношения, складывающиеся между подразделениями и работниками аппарата управления предприятия, определяют его организационную структуру.
Под организационной структурой управления предприятием понимается состав (перечень) отделов, служб и подразделений в аппарате управления, системная их организация, характер соподчиненности и подотчетности друг другу и высшему органу управления фирмы, а также набор координационных и информационных связей, порядок распределения функций управления по различным уровням и подразделениям управленческой иерархии.
Базой для построения организационной структуры управления предприятием является организационная структура производства. Многообразие функциональных связей и возможных способов их распределения между подразделениями и работниками определяет разнообразие возможных видов организационных структур управления производством. Все эти виды сводятся в основном к четырем типам организационных структур: линейным, функциональным, дивизиональным и адаптивным.
Сущность линейной (иерархической) структуры управления состоит в том, что управляющие воздействия на объект могут передаваться только одним доминантным лицом тАУ руководителем, который получает официальную информацию только от своих, непосредственно ему подчиненных лиц, принимает решения повеем вопросам, относящимся к руководимой им части объекта, и несет ответственность за его работу перед вышестоящим руководителем (рис. 2).

Рис. 2. Линейная структура управления: Р тАУ руководитель; Л тАУ лин. органы управления (лин. руководители); ИтАУ исполнители
Данный тип организационной структуры управления применяется в условиях функционирования мелких предприятий с несложным производством при отсутствии у них разветвленных кооперированных связей с поставщиками, потребителями, научными и проектными организациями и т. д. В настоящее время такая структура используется в системе управления производственными участками, отдельными небольшими цехами) а также небольшими фирмами однородной и несложной технологии. Функциональная структура (Рис. 3) сложилась как неизбежный результат усложнения процесса управления. Особенность функциональной структуры заключается в том, что хотя и сохраняется единоначалие, но по отдельным фикциям управления формируются специальные подразделения, работники которых обладают знаниями и навыками работы в данной области управления.

Рис. 3. Функциональная структура управления: Р тАУ руководитель; Ф тАУ функц. органы управления (функц. руководители); И тАУ исполнители
В принципе создание функциональной структуры сводится к группировке персонала по тем широким задачам, которые он выполняет. Конкретные характеристики и особенности деятельности того или иного подразделения (блока) соответствуют наиболее важным направлениям деятельности всего предприятия.
Традиционные функциональные блоки предприятия тАУ это отделы производства, маркетинга, финансов. Это широкие области деятельности, или функции, которые имеются на каждом предприятии для обеспечения достижения его целей.
Если размер всей организаций или данного отдела велик, то основные функциональные отделы можно, в свою очередь, подразделить на более мелкие функциональные подразделения. Они называются вторичными, или производными. Основная идея здесь состоит в том, чтобы максимально использовать преимущества специализации и не допускать перегрузки руководства. При этом необходимо соблюдать известную осторожность с тем, чтобы такой отдел (или подразделение) не ставил бы свои собственные цели выше общих целей всего предприятия.
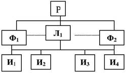
На практике обычно используется линейно-функциональная, или штабная, структура, предусматривающая создание при основных звеньях линейной структуры функциональных подразделений (Рис. 4). Основная роль этих подразделений состоит в подготовке проектов решений, которые вступают в силу после утверждения соответствующими линейными руководителями.

Рис. 4. Линейно-функциональная структура управления: Р тАУ руководитель; Ф тАУ функциональные органы управления (функциональные руководители); Л тАУ линейные органы управления: И тАУ исполнители
Наряду с линейными руководителями существуют руководители функциональных подразделений (планового, технического, финансового отделов, бухгалтерии), подготавливающие проекты планов, отчетов, которые превращаются в официальные документы после подписания линейными руководителями.
Основным достоинством этой структуры является то, что она, сохраняя целенаправленность линейной структуры, дает возможность специализировать выполнение отдельных функций и тем самым повысить компетентность управления в целом.
Необходимость новых подходов к организации управления была вызвана резким увеличением размеров предприятий, диверсификацией их деятельности и усложнением технологических процессов в условиях динамично меняющейся внешней среды. Первыми перестройку структуры по этой модели начали крупнейшие организации, которые в рамках своих гигантских предприятий (корпораций) стали создавать производственные отделения, предоставляя им определенную самостоятельность в осуществлении оперативной деятельности. В то же время администрация оставляла за собой право жесткого контроля по общекорпоративным вопросам стратегии развития, научно-исследовательских разработок, инвестиций и т. п. Поэтому данный тип структуры нередко характеризуют как сочетание централизованной координации с децентрализованным управлением (децентрализация при сохранении координации и контроля).
Ключевыми фигурами в управлении организациями с дивизиональной структурой становятся не руководители функциональных подразделений, а управляющие (менеджеры), возглавляющие производственные отделения.
Структуризация организации по отделениям производится обычно по одному из трех критериев; по выпускаемой продукции или предоставляемым услугам (продуктовая специализация), по ориентации на потребителя (потребительская специализация), по обслуживаемым территориям (региональная специализация).
Некоторые предприятия производят большой ассортимент товаров или услуг, которые отвечают запросам нескольких крупных групп потребителей или рынков. Каждая группа или рынок имеет четко определенные, или специфические, потребности. Если два или более таких элемента становятся особенно важными для предприятия, оно может использовать организационную структуру, ориентированную на потребителя, при которой все ее подразделения группируются вокруг определенных групп потребителей (Рис. 5).

Рис. 5. Организационная структура, ориентированная на потребителя
Данный тип организационной структуры находит применение в достаточно специфичных областях тАУ в сфере образования, где в последнее время наряду с традиционными общеобразовательными программами возникли специальные отделения для обучения взрослых, повышения квалификации и т. д. Примером активного использования организационной структуры, ориентированной на потребителя, являются коммерческие банки. Основные группы потребителей, пользующихся их услугами, индивидуальные клиенты (частные лица), пенсионные фонды, трастовые фирмы, международные финансовые организации. Организационные структуры, ориентированные на покупателя, в равной степени характерны для торговых форм, торгующих оптом и в розницу.
Если деятельность предприятия охватывает большие географические зоны, особенно в международном масштабе, то может оказаться целесообразной организационная структура по территориальному принципу, т. е. по месту расположения ее подразделений. Региональная структура облегчает решение проблем, связанных с местным законодательством, обычаями и нуждами потребителей. Такой подход упрощает связь предприятия с клиентами, а также связь между его подразделениями.
Хорошо знакомым примером региональных организационных структур могут служить сбытовые подразделения крупных предприятий. Среди них зачастите можно встретить подразделения, деятельность которых обхватывает весьма обширные географические зоны, которые в свою очередь делятся на более мелкие подразделения, поделенные на еще более мелкие блоки.
Адаптивные, или органические, структуры правления обеспечивают быструю реакцию предприятия на изменения внешней среды, способствуют внедрению новых производственных технологий. Эти структуры ориентируются на ускоренную реализацию сложных программ и проектов, могут применяться на предприятиях, в объединениях, на уровне отраслей и рынков. Обычно выделяют два типа адаптивных структур: проектный и матричный.
Многосторонность содержания структур управления предопределяет множественность принципов их формирования. Прежде всего, структура должна отражать цели и задачи организации, а следовательно, быть подчиненной производству и меняться вместе с происходящими в нем изменениями. Она должна отражать функциональное разделение труда и объем полномочий работников управления; последние определяются политикой, процедурами, правками и должностными инструкциями и расширяются, как правило, в направлении более высоких уровней управления.
Полномочия руководителя любого уровня ограничиваются не только внутренними факторами, но и факторами внешней среды, уровнем культуры и ценностными ориентациями общества, принятыми в нем традициями и нормами. Другими словами, структура управления должна соответствовать социально-культурной среде, и при ее построении надо учитывать условия, в которых ей предстоит функционировать. Практически это означает, что попытки слепо копировать структуры управления, действующие успешно в других организациях, обречены на провал, если условия работы различны. Немаловажное значение имеет также реализация принципа соответствия между функциями и полномочиями, с одной стороны, и квалификацией и уровнем культуры тАУ с другой.
Любую перестройку структуры управления необходимо оценивать прежде всего с точки зрения достижения поставленных перед ней целей. В условиях нормально развивающейся (не кризисной) экономики реорганизация направлена чаще всего на то, чтобы путем совершенствования системы управления повысить эффективность работы организации, при этом главными факторами улучшения являются рост производительности труда, ускорение технического развития, кооперация в принятии и реализации управленческих решений и т. д. В кризисный период изменения в структурах управления направлены на создание условий для выживания организации за счет более рационального использования ресурсов, снижения затрат и более гибкого приспособления к требованиям внешней среды.
В целом рациональная организационная структура управления предприятием должна отвечать следующим требованиям:
тАУ обладать функциональной пригодностью, гарантировать надежность и обеспечивать управление на всех уровнях;
тАУ быть оперативной, не отставать от хода производственного процесса;
иметь минимальное количество уровней управления и рациональные связи между органами управления;
тАУ быть экономичной, минимизировать затраты на выполнение управленческих функций.
1.2.2. Стратегия управления производством
Стратегическое планирование состоит из ряда взаимосвязанных этапов. Сначала проводится исследование внешней и внутренней среды организации, потом определяются основные ориентиры фирмы, на следующей ступени, в рамках стратегического анализа фирма сравнивает результаты первого и второго этапов, определяет возможные варианты стратегий, затем выбирает один из вариантов и формулирует собственную стратегию, на последнем этапе фирма подготавливает окончательный стратегический план, исходя из ранее проведённых разработок, предложений нижестоящих уровней.
Анализ среды организации тАУ это процесс определения критически важных элементов внешней и внутренней среды, которые могут оказать влияние на способности фирмы в достижении своих целей.
Анализ среды выполняет ряд важных функций в деятельности фирмы:
тАУ с точки зрения стратегического планирования улучшает учёт наиболее важных факторов, влияющих на экономическую организацию и её будущее;
тАУ с точки зрения политики фирмы помогает ей создать о себе наиболее благоприятное впечатление;
тАУ с точки зрения текущей деятельности обеспечивает информацией, необходимой для наилучшего выполнения рабочих функций.
Процесс анализа организационной среды начинается с определёния основных элементов внутреннего и внешнего пространства фирмы. После того, как эти элементы определены, фирма должна выделить те из них, которые являются для неё наиболее важными: их называют "критическими точками". Затем фирма собирает необходимую информацию о критических точках.
Среду любой организации можно определить как совокупность трёх сфер: внутренней среды, рабочей среды, общей среды.
Внутренняя среда организаций включает в себя следующие основные элементы: производство, финансы, маркетинг, управление персоналом, организационная структура. Описание внутренней среды даёт представление о сильных и слабых сторонах деятельности организации, её внутренних возможностях.
Два других пространства составляют внешнюю среду фирмы.
Рабочая среда тАУ это среда непосредственных контактов с фирмой, она включает тех участников рынка, с которыми у фирмы есть прямые отношения, или которые оказывают прямое воздействие на фирму. Это, во-первых, поставщики экономических ресурсов, необходимых фирме (сырье, финансовый капитал, производительный капитал), отдельно выделяют поставщиков труда тАУ наёмных работников, затем клиенты тАУ потребители продукции фирмы, посредники тАУ финансовые, торговые, маркетинговые, государственные экономические структуры (например, налоговая инспекция). Во-вторых, к элементам рабочей среды относят конкурирующие фирмы и так называемые контактные аудитории тАУ средства массовой информации, общества потребителей и т. п., которые оказывают существенное влияние на формирование благоприятного или неблагоприятного облика фирмы.
Ознакомившись с общим строением организационной среды, фирма должна выделить из совокупности её элементов те, которые являются для неё наиболее важными. Другими словами, уже на начальном этапе фирма должна определить пределы анализа среды.
Число и характер критических точек, то есть наиболее значимых элементов среды, изменяются от организации к организации.
Анализ среды ограничен временными рамками: в коротком периоде фирма во многих случаях может сосредоточиться только на тех элементах, которые критически воздействуют на её текущее функционирование, то есть на элементах рабочей среды, в длительном периоде у фирмы появляются возможность исследовать общий характер внешней среды:
Плодотворный анализ возможен только в том случае, если фирма сумела определить специфику элемента, его уникальный характер.
В последние десятилетия бизнес вынужден сочетать анализ внутренних проблем с особо внимательным подходом к внешним аспектам своей деятельности. Большинство современных рынков перенасыщены товарами, конкуренция в предложении продуктов и услуг достигла особой остроты, правилом стало быстрое обновление товарных рынков и связанные с ним технологические изменения. Неотъемлемым элементом сегодняшней хозяйственной деятельности становится глобализация бизнеса, приобретение им международного характера. Особое значение для деятельности фирмы приобретает социально-политическая динамика.
Современные экономические организации тАУ это открытые системы, внутренняя стабильность которых зависит от условий внешней среды. С точки зрения внутренних и внешних аспектов можно оценить среду российской экономической организации следующим образом. С одной стороны, чем меньше развит рынок, чем менее насыщен он товарами, тем больше степень его монополизации, тем слабее учёт действующими на этом рынке фирмами факторов внешней среды. Для огромного числа небольших, преимущественно коммерческих российских фирм проблема насыщенного, остроконкурентного рынка уже сегодня является актуальной, и эти организации должны весьма внимательно учитывать факторы внешней среды.
С другой стороны, для любой российской фирмы, как крупного монополиста, так и мелкого коммерческого банка, проблема внешней среды очень актуальна из-за воздействия трёх глобальных факторов:
тАУ политического тАУ в стране не создана устойчивая, эффективно действующая структура власти. Политическая обстановка постоянно чревата серьёзными потрясениями. У различных политических сил, стремящихся к власти, разное отношение к власти, разное отношение к бизнесу тАУ не только в частностях, но и в основном подходе, определяющем соотношение государственного и частного бизнеса, сферы предпринимательской деятельности, возможность прямого контроля над фирмами;
тАУ социального тАУ резкое расслоение населения по уровням доходов приводит к постоянному сжатию первичного, потребительского спроса на рынках конечных продуктов. Это влечёт за собой сокращение вторичного спроса, то есть спроса фирм, предприятий на рынках экономических ресурсов тАУ средств производства, сырья и т. д. Кроме того, социальное расслоение означает создание различных сегментов потребительского рынка тАУ рынка для богатых и рынка для бедных, что ставит проблему выбора предприятием своей товарной политики;
тАУ экономического, когда ситуация спада в российской экономике существенно ухудшила перспективы роста российских предприятий, снизила возможности накопления капитала, необходимого для новых вложений.
Если говорить о значении рабочей среды в практике планирования российских экономических организаций, то в период перехода к рынку оно существенно возрастает. В централизованно управляемой экономике любые связи в рабочей среде предприятия осуществлялись при активном участии государства, которое самостоятельно, без учёта интересов организации устанавливало ей поставщиков и клиентов. Фактор конкуренции в экономике советского типа практически отсутствовал. Влияние контактных аудиторий было очень мало.
После того как анализ внутренней и внешней среды завершён, фирма определяет основные ориентиры своей деятельности, основанные на итогах предыдущего этапа. Иногда определение целей в стратегическом планировании предшествует анализу среды. Такая практика имеет свой смысл: само существование экономической организации предполагает, что у неё есть некоторые цели и мотивы жизнедеятельности.
Всю совокупность ориентиров деятельности фирмы можно разделить на три основных типа:
тАУ идеалы тАУ ориентиры, которые мы не рассчитываем достичь в обозримом периоде, но допускаем приближение к ним;
тАУ цели тАУ наиболее общие ориентиры деятельности фирмы в плановом периоде, достижение которых предполагается в полном объёме или в своей большей части;
тАУ задачи тАУ конкретные, количественно измеряемые ориентиры, описания серии рабочих функций, определяющие форму и время выполнения заданий.
Разработка стратегии предполагает определение идеалов и целей. В рамках оперативного планирования фирма намечает конкретные задачи для каждого из участков работы.
К идеалам экономической организации можно отнести её видение.
Видение тАУ это руководящая философия бизнеса, обоснование существования фирмы, не сама цель, а, скорее, чувство основной цели фирмы. То есть, видение тАУ это идеальная картина будущего, то состояние, которое может быть достигнуто при самых благоприятных условиях. Видение определяет уровень притязаний в процессе стратегического планирования.
Концепция "видения" завоёвывает всё большую популярность в мире бизнеса. Возрастающее значение видения определяется следующими факторами.
1. Видение является хорошим средством мотивации работников фирм, особенно крупных, децентрализованных, оно помогает сплачивать, объединять деятельность людей в едином направлении.
В видении обычно не подчёркивается желание получить прибыль, оно объединяет индивидуальные идеалы всех участников организаций в единый эталон ценностей. С этой точки зрения видение пересекается с внутрифирменной культурой, основным элементом которой является система ценностей организации.
2. Видение создаёт чувство перспективы в деятельности организации, обеспечивает преемственность следующих друг за другом целей фирмы, а у видения нет финишной черты, оно создаёт импульс для постоянного прогресса.
Миссия является гораздо более конкретным ориентиром, чем видение. В отличие от видения у миссии есть своя финишная черта тАУ период времени, по истечении которого она должна быть выполнена. Миссия должна быть сформулирована так, чтобы её выполнение сочеталось с напряжением сил в организации с определённым риском деятельности. Срок выполнения миссии должен быть обозримым и достаточно большим для того, чтобы нынешнее поколение работников могло увидеть результаты своего труда. Так же, как и видение, миссия даёт общее направление деятельности организации.
Миссия тАУ это цель, для которой организация существует и которая должна быть выполнена в плановом периоде. Миссия является комплексной целью, она включает как внутренние (например, повышение производительности), так и внешние (например, связанные с конкуренцией) ориентиры деятельности фирмы, выражая таким образом суть того успеха, которого должна добиться организация [41].
Особое значение миссии для деятельности организации состоит в следующем.
Во-первых, миссия является базисом, точкой опоры для всех плановых решений организации, для дальнейшего определения её целей и задач.
Во-вторых, миссия создаёт уверенность, что организация преследует непротиворечивые, ясные, сравнимые цели.
В-третьих, миссия помогает сосредоточить усилия работников на выбранном направлении, объединяет их действия.
В-четвёртых, миссия создаёт понимание и поддержку среди внешних участников организации, тех, кто заинтересован в её успехе.
Содержание миссии должно включать в себя следующие пункты: описание продуктов и/или услуг, предлагаемых организацией; характеристика рынка тАУ организация определяет своих основных потребителей, клиентов, пользователей; цели организации, выраженные в терминах выживания, роста, доходности; технология: характеристика оборудования, технологических процессов, инноваций в области технологии; философия: здесь должны быть выражены базовые взгляды и ценности организации, служащие основой для создания системы мотивации; внутренняя концепция, в рамках которой организация описывает собственное впечатление о себе, указывая источники силы, основные слабости, степень конкурентоспособности, фактор выживания; внешний образ компании, её имидж, подчёркивающий экономическую и социальную ответственность компании перед партнёрами, потребителями, общества в целом, в этой части миссия должна передать впечатление, которая фирма хочет произвести на внешний мир. Содержательные пункты обычно отражаются в положении о миссии, их последовательность и сочетание могут быть различными в зависимости от решения конкретной фирмы. Формирование миссии является обычным явлением для высокоразвитого бизнеса. В российской экономике в последнее время составлением миссии начали заниматься вновь возникшие частные экономические организации, достигшие определённого роста и успеха. Хотя определение миссии является, безусловно, полезным также и для небольших фирм или только создающихся форм бизнеса (тогда миссия включается в состав бизнес-плана).
Цели, в отличие от миссии, выражают отдельные конкретные направления деятельности организации.
Важность определения целей связана с тем, что они:
являются фундаментом для процесса менеджмента в целом: планирования, мотивации, организации, контроля;
определяют способы повышения эффективности организации;
лежат в основе принятия любого делового решения;
служат руководством для формирования конкретных плановых показателей.
Цели организации делят на экономические и неэкономические.
К неэкономическим можно отнести социальные цели, например, улучшение условий труда. Иногда неэкономические цели могут отличаться от ожидания некоторых внутренних или внешних сил организации.
Экономические цели организации, выраженные в показателях хозяйственной деятельности, можно, в свою очередь, разделить на количественные и качественные.
Пример количественной цели тАУ увеличение доли рынка фирмы до 20% в 2001 году. Пример качественной цели тАУ достижение фирмой технологического превосходства в отрасли. Как экономические, так и неэкономические цели могут быть разделены с точки зрения периода их достижения на кратко-, средне- и долгосрочные. Долгосрочные цели не имеют чётко выраженных количественных характеристик, они в большей степени связаны с миссией фирмы. Краткосрочные цели обязательно имеют конкретное содержание и указывают:
тАУ что должно быть достигнуто (в том числе в количественном выражении);
тАУ когда цель должна быть достигнута;
тАУ кто конкретно (какое подразделение организации) выполняет задачу по достижению цели.
Деятельность экономической организации объективно очень разнообразна, поэтому, как указывает известный специалист по менеджменту П.Ф. Друкер, организация не может быть сосредоточена на единственной цели, а должна определить несколько наиболее значительных ориентиров действий [9].
Выделяют 8 ключевых пространств, в рамках которых организация определяет свои цели.
1. Положение на рынке. Здесь фирма определяет позицию по отношению к конкурентам, выражает свой успех в показателях конкурентоспособности.
2. Инновации. Определение новых способов ведения бизнеса:
тАУ производство новых товаров;
тАУ внедрение на новые рынки;
тАУ применение новых технологий;
тАУ использование новых методов организации производства.
3. Производительность. Организация определяет цели на уровне взаимосвязи результатов хозяйствования с ресурсами, необходимыми для достижения этих результатов. Более продуктивной является та организация, которая для производства данного количества продуктов затрачивает меньше экономических ресурсов.
4. Ресурсы. Фирма проводит оценку всех видов имеющихся у неё экономических ресурсов материально-производственных запасов, оборудования, наличности. Сравнивается наличный уровень ресурсов с необходимым и определяется будущая потребность в них.
5. Доходность (прибыльность). Формируется способность организации зарабатывать доходы сверх затрат, необходимых для генерирования доходов. Цели, связанные с доходностью, обычно указывают её необходимый количественный уровень.
6. Управленческие аспекты. Выражены в качестве менеджмента, шкале персональных достижений менеджеров, работающих в организации. Цели, связанные с качеством менеджмента, многим организациям не представляются важными, поскольку напрямую не связаны с получением краткосрочной прибыли. Ведь краткосрочная прибыль тАУ это чаще результат везения, предпринимательского чутья и таланта. Однако в долгосрочном периоде хорошо продуманные методы управления и разработки в этой области являются существенными для развития и успеха организации.
7. Персонал: Выполнение трудовых функций и отношение к работе. Бизнес должен признать свою ответственность перед работниками, добиться того, чтобы цели эффективно отражали способы мотивации людей, занятых в организации. Многие деловые фирмы в России понимают необходимость таких действий и определяют в качестве целей более высокую зарплату, более интересное и насыщенное содержание работы, лучшие условия труда и профессионального общения возможности быстрого развития работников. Результаты достижения этих целей проявляют себя также в долговременном периоде.
8. Социальная ответственность, понимаемая как обязанность бизнеса способствовать благосостоянию общества. Несмотря на длительные разговоры о социальной ответственности, ещё несколько лет назад установка подобных целей вызывала возражение у экономистов консервативного толка. Так, известный американский экономист М. Фридмен утверждал, что у бизнеса не может быть иных целей, кроме получения прибыли, и в этом заключается его социальная ответственность, поскольку продуктивная работа отдельных фирм создаёт предпосылки для роста совокупного продукта общества, а значит, более высокого уровня жизни в стране. Сегодня общепризнанно то, что бизнес должен благотворно воздействовать на общественную жизнь не только узко, в смысле увеличения возможностей для материального роста, но и широко, соответствуя общепринятым общественным ценностям, обеспечивая общество качественными товарами и услугами, формируя благоприятную экологическую среду, принимая участие в решении острых социальных проблем и т. д.
Когда цели определены, их нужно исследовать на предмет качества.
Главными критериями здесь являются следующие:
тАУ максимально возможная конкретность целей. Чем более конкретно сформулирована цель, тем легче её достичь;
тАУ цели должны быть рассчитаны на приемлемый уровень усилий работников. Достижение целей не должно быть слишком лёгким процессом, это означало бы, что фирма не использует свой потенциал. Однако усилия не должны быть чрезмерными, иначе будет утрачен интерес к работе и ослаблена мотивация;
тАУ гибкость целей и наличие пространства для их корректировки в связи с непредвиденными изменениями;
тАУ измеримость целей;
тАУ сопоставимость целей. Сопоставимыми должны быть цели из различных ключевых пространств. То есть, показатели прибыли должны соответствовать показателям рыночной позиции фирмы (определённому росту продаж), а последние, в свою очередь, быть увязаны с ресурсными целями и т. д.;
тАУ цели внутрифирменной иерархии целей, каждая из которых должна соответствовать цели более высокого уровня. Важной частью работы менеджера является правильная разбивка целей на подцели. Это должно быть сделано так, чтобы достижение каждой отдельной подцели приводило к достижению общей цели организации.
Очень важное значение при этом имеет сбор необходимой информации. Источники информации могут иметь разнообразный характер. Многие фирмы для получения редкой и достоверной информации стремятся найти некие особенные источники, часто нелегальные. Однако нужно иметь в виду, что около 90% нужной, соответствующей информации можно извлечь из легальных источников.
Сбором нужной информации обычно занимается служба планирования. В то же время этот процесс координируется и контролируется высшим менеджментом. Высший менеджмент, кроме того, самостоятельно занимается сбором информации, так как обладает возможностью вхождения в различные информационные каналы.
Оценка информации является заключительным этапом анализа организационной среды. Итоги оценки используются в качестве основы для стратегического анализа и определения возможных вариантов стратегии.
Основной целью оценки информации является выяснение отрицательных и положительных воздействий среды на будущую деятельность фирмы. В процессе оценки фокус перемещается от понимания среды к пониманию того, что данное состояние среды может значить для организации.
Стратегический анализ тАУ это средство преобразования базы данных, полученных в результате анализа среды, в стратегический план организации.
К инструментам стратегического анализа относятся:
тАУ формальные модели и количественные методы. Период особого увлечения ими и появления наиболее популярных моделей приходится на 70-е годы нашего столетия;
тАУ самостоятельный творческий анализ, основанный на специфике данной организации, аналитических и интуитивных способностях менеджеров и плановиков.
Формальные методы и модели в определённой степени утратили свою популярность в 80-е годы. Однако это не означало отказ от них, а выразилось в том, что сегодня методы стратегического анализа применяют с большей осторожностью, с учётом конкретных обстоятельств.
Стратегический анализ может быть разделён на два основных этапа:
тАУ сравнение намеченных фирмой ориентиров и реальных возможностей, предлагаемых средой, анализ разрыва между ними;
тАУ анализ возможных вариантов будущего фирмы, определение стратегических альтернатив.
Когда стратегические альтернативы определены, фирма приступает к завершающему этапу разработки стратегии тАУ выбору определённого варианта стратегии и подготовке стратегического план
Вместе с этим смотрят:
Cамоорганизация как процесс саморазвития
РЖнновацiйнi процеси на пiдприiмствi
РЖнформацiйний менеджмент як ефективна технологiя органiзацii управлiнськоi дiяльностi
Автоматизация работы отдела планирования компании ООО "Кока-Кола ЭйчБиСи Евразия"