Корпоративный имидж
1. Корпоративный имидж
1.1. Понятие и значение
1.2. Основные элементы имиджа
1.3. Формирование и управление имиджем
1.4. Оценка имиджа
2. Практика развития корпоративного имиджа
2.1. Корпоративный имидж зарубежных компаний
2.2. Корпоративный имидж российских компаний
Заключение
Список литературы
Актуальность темы работы не вызывает сомнений и обусловлена тем, что в условиях рыночных отношений успех коммерческой деятельности любой организации определяется уровнем прибыли, полученной всеми способами, не запрещенными законом. Таким образом, коммерческий успех и прибыли - взаимосвязанные понятия. В свою очередь, уровень прибыли зависит от такого нематериального актива как репутация компания, а основой построения репутации компании является формирование позитивного имиджа.
Здесь следует отметить, что по данным исследования 2005 года, проведенного The PBN Company и Interactive Research Group среди руководителей крупнейших российских корпораций, репутация значительно влияет на возможности внешнего финансирования (63%), рыночную стоимость компании (54%) и прибыль последней (43%).
Первым же шагом на пути к приобретению репутации как дополнительного источника конкурентного преимущества компании является создание позитивного имиджа компании.
Таким образом, актуальность темы работы очевидна, поскольку, в рыночных условиях, формировании и развитие позитивного имиджа компании является одним из основных путей формирования ее репутации и, следовательно, приобретения дополнительного конкурентного преимущества, позволяющего собственникам компании не только прибегать к возможности получения дополнительных инвестиционных источников, но и повышать рыночную стоимость компании и прибыль, как основной показатель коммерческой деятельности.
Поскольку создание и развитие имиджа является неотъемлемой частью существования каждой организации. Вне зависимости от масштаба компании (будь это многонациональный конгломерат или небольшая компания), четкий имидж компании необходим для общения с покупателями, клиентами и многочисленными составляющими этой организации. Без четкого имиджа им трудно будет объяснить, что представляет собой их организация, что она предлагает и к чему стремиться.
При этом, говоря об имидже компании, всегда имеют в виду, прежде всего, позитивный имидж компании. Позитивный имидж повышает конкурентоспособность коммерческого предприятия на рынке за счет привлечения потребителей и партнеров и облегчения доступа к ресурсам (финансовым, информационным, человеческим, материальным). ВлДобрая славаВ» предприятия повышает его Влрыночную силуВ», поскольку сопротивление действию последней на рынке со стороны различных контактных групп в таком случае уменьшается.
К началу-середине 1990-х годов резко возросла озабоченность компаний тем, как они воспринимаются своими группами общественности. В российских организациях начали активно создаваться подразделения по связям с общественностью, в числе целей которых тАУ формирование имиджа организации. Корпоративный имидж, корпоративная марка занимают все больше внимания экономистов, маркетологов, журналистов, культурологов, политологов, лингвистов во всем мире.
Степень изученности темы. Проблема сущности и формирования имиджа компании достаточно широко изучена на Западе. Проблема имиджа в западных странах (главным образом в США) становится актуальной с 1950-х годов. В 60-х годах XX столетия в Америке и Европе отмечен рост числа исторических, социологических, философских и психологических исследований имиджа. В отечественной науке до конца 80-х годов, близкие по направленности исследования проводились в рамках психологии пропаганды, массовых коммуникаций, социального познания. В целом, отечественная научная мысль имеет значительную базу для плодотворного исследования не новой для нас, но ставшей актуальной проблематики имиджа. Здесь можно отметить работы таких авторов как Е.Б. Перелыгина, предложившая концепцию имиджа как феномена интерсубъективного взаимодействия, Е.Н. Богданов, В.Г. Зазыкин, О.А. Феофанов и др.
Цель работы тАУ анализ развития имиджа известных компаний в России и за рубежом.
Объект исследования - корпоративный имидж.
Предмет исследования тАУ процесс формирования и развития имиджа российских и зарубежных компаний.[90]
Гипотеза исследования. Предположим, что имидж компании является фундаментом развития ее репутации как основного нематериального актива, способствующего привлечению дополнительных инвестиций, а также повышению рыночной стоимости компании и ее прибыли, следовательно, формированию и развитию имиджа должно уделяться особенное внимание.
Задачи исследования. Для достижения поставленной выше цели, исследуем ряд представленных далее вопросов и синтезируем полученные знания в разделе ВлЗаключениеВ». Рассмотрим:
1. Понятие, сущность, значение корпоративного имиджа (имиджа организации, компании и т.п.).
2. Структуру имиджа компании, то есть основные элементы имиджа и связи между ними (фундамент имиджа, внутренний и внешний имидж, неосязаемый имидж, а также более мелкие элементы имиджа составляющие указанные четыре основных элемента его структуры, например, слоганы, фирменное наименование, фирменную атрибутику и др. )
3. Вопросы формирования имиджа компании и управления им.
4. Некоторые методики оценки имиджа предприятия.
5. Проиллюстрируем работу примерами формирования и управления имиджем в известных российских и зарубежных компанияхю
6. Резюмируем полученные выводы в разделе ВлЗаключениеВ» данной работы.
Методы исследования. Задачи исследования решаются с помощью основных теоретических методов научного познания, таких как изучение и анализ литературы (словари, справочники, научно-практические журналы, специализированные профессиональные издания), документов и других материалов; анализ теоретического материала; обобщение; общенаучных эмпирических методов познания, таких как анализ, синтез, абстрагирование, классификация, группировки, мониторинг СМИ и др.
Научная новизна и практическая значимость состоит в том, что в работе достаточно основательно проанализированы понятие и значении позитивного имиджа для компании в условиях рынка, а также вопросы формирования и развития имиджа компаний, проиллюстрированные примерами из практики.
1. Корпоративный имидж
1.1. Понятие и значение
В наиболее общем виде понятие Влимидж компанииВ» можно сформулировать следующим образом:
Имидж компании - это ее образ, существующий в сознании людей. Можно даже сказать, что у любой организации существует имидж вне зависимости от того, кто над ним работает, а также работают ли над ним вообще.
Имидж (image) тАУ английское слово, произошедшее от латинского тАУ imago - изображение, подобие. В современном английском языке слово image имеет множество значений и оттенков. Среди них следует выделить не только традиционно отмечаемые тАУ ВлобразВ», ВлизображениеВ», но и такие значения, как ВлолицетворениеВ», ВлпредставлениеВ» (о чем-либо), ВлрепутацияВ», ВлпрестижВ». Современные английские словари трактуют имидж и как общее впечатление, ВлпубликуемоеВ» личностью, организацией, товаром и т.д.
Важно отметить и такое словосочетание, используемое в англоязычной литературе, как ВлimagebuldingВ» - в смысле Влсоздание репутацииВ», ВллицаВ» фирмы.[87] Эти значения больше соответствуют пониманию имиджа, которое сложилось в современной науке.
Для того, чтобы более четко выделять и различать понятие Влимиджи компанииВ» некоторые исследователи вопросы предлагают проводить его сравнительный анализ с другими, смежными понятиями, такими, например, как мнение, рейтинг, репутация, образ, отношение, известность, слава, популярность, престиж, авторитет и т.п.
Приведенные выше слова довольно часто встречаются в деловой литературе по тематике формирования корпоративного имиджа и очень часто их используют как синонимы.[53]
Вместе с тем, существуют значительные различия в содержании этих терминов. Так, например, корпоративный имидж тАФ это набор созданных компанией образов и сообщений, которые она транслирует во внешний мир доступными способами. Бренд тАФ это устойчивый набор ожиданий и эмоций по отношению к продукту компании или к ней самой. А репутация тАФ устойчивое оценочное мнение о компании, которое складывается по прошествии времени у ее публик[1]
в соответствии с критериями, актуальными для каждой из них (рис.1.1).
Рисунок1.1. Структура репутации компании
Таким образом, ключевое различие между этими тремя понятиями состоит в степени влияния компании на Влконечный продуктВ» ее усилий. Если имидж в значительной мере создает сама компания (с учетом реалий бизнес-среды), а становлению бренда помогают потребители, то репутация подвержена минимальному контролю со стороны коммерческой организации, поскольку формируется в Влчужих головахВ» под влиянием всех открытых действий компании и ее конкурентов, в том числе и не относящихся к выпускаемому ею продукту.
При этом репутация тАФ один из активов компании, который может приносить ей как прибыль, так и убытки. Актив тАФ это любая собственность, которая имеет ценность при обмене. А чтобы репутация стала активом, должен появиться платежеспособный спрос на нее со стороны потребителей, СМИ, партнеров, инвесторов и других групп, которые влияют на бизнес компании и в определенной степени зависят от него. И такой спрос уже наблюдается на рынках России. Как мы отметили выше, по данным исследования 2005 года, проведенного The PBN Company и Interactive Research Group среди руководителей крупнейших российских корпораций, репутация значительно влияет на возможности внешнего финансирования (63%), рыночную стоимость компании (54%) и прибыль последней (43%). Таким образом, формирование имиджа тАФ лишь первый шаг на пути к приобретению репутации как дополнительного источника конкурентного преимущества[2]
.
Итак, имидж представляющей его структуры тАУ это собирательный, обобщенный образ организации, раскрывающий наиболее характерные черты лидера:
а) профессиональная компетентность: мобильность (быстрота и качество); аккуратность в выполнении должностных обязательств; точность выполнения обязательств, обещаний; информированность (готовность дать ответ на возникший вопрос); высококвалифицированный уровень профессиональной подготовки;
б) культура: коммуникабельность (приветливость, открытость, доступность в общении, улыбчивость); правильность речи; социально-психологические характеристики партнеров (сподвижников);
в)социально-демографические и физические данные: возраст, пол; уровень образования; наличие/отсутствие физических дефектов;
г) визуальный имидж: деловой стиль в одежде; аккуратность, чувство меры.
Имидж базовой структуры формируется на основе прямого контакта, при котором каждый сотрудник рассматривается как лицо организации, по которому судят о состоянии всей структуры.[88] Роль представителей и доверенных лиц организации имеет непосредственное воздействие на создание позитивного целостного имиджа лидера, а значит, и всей компании.
Задачи имиджа компании можно сформулировать следующим образом:
Повышение престижа фирмы, т.к. разработка фирменного стиля свидетельствует о внимании фирмы не только к вопросам производства.
Повышение эффективности рекламы и различных мероприятий по продвижению товара. Облегчение введения на рынок новых товаров (услуг), т.к. фирме со сложившимся имиджем вывести товар на рынок легче.
Повышение конкурентоспособности фирмы, т.к. в условиях равного товара конкуренция ведется на уровне имиджей фирм.
1.2. Основные элементы
имиджа
Важным для понимания сущности корпоративного имиджа представляется вопрос о его структуре, тем более что в ряде исследований совершенствование имиджа рассматривается как проблема создания его оптимальной структуры.
.Предложенные рядом авторов модели корпоративного имиджа
отражают скорее не структуру данного явления, а его содержание, то есть упорядоченную совокупность элементов и процессов
, составляющих объект восприятия.
Структура имиджа, выступающая как единство устойчивых связей между его элементами
, соответствует структуре социальной психики, а точнее - обыденного сознания, в поле которого и формируется имидж.[426] Обыденное сознание тАУ это совокупность представлений, знаний, установок и стереотипов, основывающихся на непосредственном повседневном опыте людей и доминирующих в социальной общности, к которой они принадлежат.
Выделяют различные составляющие структуры имиджа, например:
1. Визуальный имидж: целенаправленное воздействие на зрительные ощущения, фиксирующие информацию о дизайне, фирменной символике и иных носителях графической информации (реклама).
2. Социальный имидж: внедрение с сознание целевых групп представлений о социальных целях и роли организации в экономической, социальной и культурной жизни общества.
3. Бизнес-имидж: формирование представлений о субъекте деловой активности (деловая репутация, объем продаж, относительная доля рынка, инновационность технологий, разнообразие товаров, гибкость ценовой политики т. д.), бизнес-имидж организации обладает относительной стабильностью.
Каждый элемент структуры имиджа, воздействующий на представления людей в течение продолжительного временного отрезка должен быть заполнен самой организацией: недостающий элемент, в силу определенных стереотипов, массовое сознание заполняет самостоятельно, создавая тем самым барьер трудно преодолеваемой существующей установки при последующем внедрении информации. Особое значение имидж имеет для крупных и хорошо известных структур, существующих в центре внимания СМИ, на виду общественности. Коррекция имиджа подобных структур ведется постоянно, посредством воздействий на общественное мнение для обеспечения благоприятного поведения общественности в отношении организации.
Из теории корпоративной имиджеологии известно, что структура имиджа любой компании (организации) формируется по четырем основным элементам:
1. Фундамент имиджа компании.
2. Внешний имидж компании.
3. Внутренний имидж компании.
4. Неосязаемый имидж компании.
Данная классификация была предложена Б.Джи в его работе ВлИмидж фирмы: планирование, формирование, продвижениеВ» предлагает следующие составляющие корпоративного (организационного) имиджа[3]
:
Вот как приблизительно определяют содержание основных понятия основных элементов имиджа компании:
Фундамент имиджа - осязаемый имидж. То, что покупатель может увидеть, понюхать, услышать, потрогать и попробовать, то есть, по сути дела товар или продукция компании.
Неосязаемый имидж. Ответная реакция покупателя на осязаемое, на обслуживание и отношение к нему сотрудников компании, сервис.
Внутренний имидж. Атмосфера внутри компании, позитивное и негативное отношение сотрудников к руководителям и политике компании, которая выражается прежде всего в степени преданности сотрудников своей фирме.
Внешний имидж. Воздействие первых трех факторов плюс общественное мнение о кампании, формируемое рекламной кампанией, качеством продукции, связями со средствами массовой информации и общественной работой. Как видно, имидж, в традиционном понимании, есть только одна четвёртая его часть, называемая внешним имиджем.
Таблица 1.1. Основные элементы имиджа компании.
| КОРПОРАТИВНЫЙ ИМИДЖ: |
1. ФУНДАМЕНТАЛЬНЫЙ ИМИДЖ: - этические принципы (общественно значимые) - долгосрочные цели - корпоративная миссия - личная и деловая философия - ценности и смыслы - прагматические цели - стандарты поведения и внешнего вида |
2. ВНЕШНИЙ ИМИДЖ: - качество товаров/услуг - корпоративная реклама - осязаемый имидж (информационный ресурс) Название Логотип Слоган общественная деятельность В·спонсорство В·благотворительность стандарты отношения персонала к служебным обязанностям и внешнему виду -связи с СМИ |
3. ВНУТРЕННИЙ ИМИДЖ: - финансовая политика - кадровая политика - обучающие и тренинговые программы для персонала - программа поощрения сотрудников - внутренние коммуникации |
4. СОПУТСТВУЮЩИЙ ИМИДЖ -корпоративный дух -мотивированность персонала -покупательское ВляВ» |
Наиболее важный - первый элемент тАУ фундамент имиджа - обеспечивает создание, развитие и сохранение положительного имиджа компании. Для постройки фундамента имиджа и репутации необходимо предпринять 5 шагов.
Первым шагом должна стать тщательная ревизия деловых принципов, опираясь на которые предприятие может разработать положение о целях своего бизнеса. Затем необходимо отразить принципы и цели в простом и коротком рабочем варианте философии корпорации. Следующий шаг тАФ определение долгосрочных задач. Для создания Мастер-плана имиджа необходимо четко представлять себе, куда двигается.
После того как предприятие определилось с тем, что оно хочет, ему нужно решить, каким стандартам должны следовать сотрудники. Эти правила или стандарты, необходимые для достижения целей, лучше всего сформулировать письменно. Они должны вытекать из результатов ревизии принципов и определения целей. Подчинение стандартам и правилам тАФ метод, который поможет сохранить в целости фундамент нового имиджа.[667]
Закладка его фундамента - определение ценностей, целей, принципов и философии, на которых будет покоиться все здание плана. Без поддержки прочными балками, закрепленными в надежном фундаменте, план обречен на неудачу. Без фундамента все остальное не имеет смысла. Чтобы здание выдержало сильное землетрясение, оно должно составлять неразрывное целое с прочным фундаментом. Чтобы выжить в самых трудных ситуациях, бизнес, корпорация, страна должны покоиться на надежном основании. Так что же такое Влсоставлять неразрывное целое с прочным фундаментомВ»? Это значит, что, когда в вашем бизнесе настанет черная полоса или вы получите негативные отзывы о себе в прессе, у вас останутся шансы на выживание. Из чего должен состоять фундамент успешного бизнеса? Так же как для фундамента здания существуют свои специфические требования, так и для построения фундамента успешного бизнеса требуются особые ингредиенты.[43]
В целом же, приведенная классификация элементов имиджа наиболее общая.
Но одно можно утверждать определенно: отношение к структуре организации может быть определено отношением к системе, включающей данную структуру, на основании оценки ее деятельности. Такая опосредованность может иметь как положительное, так и отрицательное влияние на имидж конкретной компании. В подобной ситуации резко возрастает роль индивидуального имиджа: своевременная подача информации, своевременная реакция на негативную информацию и т. д., что дает повод для ведения активных исследований в отношении имиджа конкретной структуры.
Итак, в заключение данного пункта отметим следующее: 1) имидж компании тАУ это восприятие организации группами общественности, это то, какой видит организацию группа или группы, а 2) основными элементами структуры имиджа компании являются осязаемый, внутренний, внешний и неосязаемый элементы имиджа.
1.3. Формирование
и управление имиджем
Корпоративный имидж возникает в результате восприятия общественностью комплекса коммуникационных сообщений, генерируемых организацией. Корпоративный имидж может базироваться на верованиях, так же, как и на фактах. Корпоративный имидж может быть позитивным, негативным, нечетким. Обычно различные группы неоднозначно, по-разному воспринимают организацию. Достижение благоприятного корпоративного имиджа и лояльности потребителей тАУ основная цель управления корпоративной идентичностью.
Формирование образа, своеобразного тАЬлицатАЭ организации тАУ дело не только специалистов в этой области (маркетологов, рекламистов). Имидж организации формируется не только направленными на это акциями и мероприятиями. Качество производимых товаров и оказываемых работ/услуг, отношение персонала к своему работодателю, клиентуре и собственной деятельности имеет значение для имиджа не менее важное, чем реклама и презентации.
Благоприятный образ-имидж должен быть адекватным, оригинальным, пластичным и иметь точный адрес. Быть адекватным - значит соответствовать реально существующему образу или специфике фирмы. Быть оригинальным - значит отличаться от образов других фирм (товаров), особенно однотипных. Быть пластичным - значит не устаревать, не выходить из моды, изменяясь, казаться неизменным. Иметь точный адрес - значит быть привлекательным для определенной целевой аудитории, т.е. для настоящих и потенциальных заказчиков.
Приступая к созданию имиджа, необходимо выяснить, во-первых, род деятельности фирмы в настоящее время и в перспективе; во-вторых, чем товары (услуги) фирмы отличаются от товаров (услуг) конкурентов.
Создание имиджа фирмы
Искусственное создание имиджа лучше доверить профессионалам высокой квалификации, поэтому не следует экономить средства на его создание. Имидж только частично "принадлежит" фирме - в виде визуальной атрибутики фирменного стиля, другая его часть создается средствами PR и живет в массовом сознании потребителя. Если фирма не позаботится о создании нужного имиджа, потребители могут обойтись собственным воображением и прийти к своему варианту имиджа, который не всегда будет выигрышным для фирмы.
Этапы создания имиджа:
Определение целевой аудитории, изучение ее возраста, рода занятий и т.п.
Разработка концепции имиджа. Концепция имиджа - это главные принципы, мотивы и ценности, характерные для фирмы и ее товаров, а также значимые для потребителя.
Формирование, внедрение и закрепление имиджа в сознании потребителя.
Основные средства формирования имиджа:
Фирменный стиль - основа имиджа, главное средство его формирования.
Визуальные средства - дизайнерские приемы формирования имиджа, включающие создание упаковки, оформление витрин, офисов, выставок, разработку макетов объявлений.
Оригинал-макеты могут быть различными, но один элемент (деталь), постоянно присутствующий во всех позициях, делает целую серию макетов узнаваемыми. Важную роль играет также цвет.
Вербальные (словесные) средства - специально подобранная стилистика, ориентированная на нужды потребителя.
Рекламные средства - использованные в каждом конкретном случае рекламные средства, способствующие формированию благоприятного отношения.
PR-мероприятия - продуманные, спланированные, постоянные усилия по установлению и укреплению взаимопонимания между предприятием и общественностью. Это выставки, презентации, пресс-конференции, спонсорские мероприятия. При проведении PR-мероприятий необходимо, чтобы специфика фирмы соответствовала специфике проводимого мероприятия. Немаловажно отношение целевых групп к проводимым PR-акциям, масштаб аудитории спонсируемой акции.
Фирменный стиль (ФС) - это совокупность художественно-текстовых и технических составляющих, которые обеспечивают зрительное и смысловое единство продукции и деятельности фирмы, исходящей от нее информации, внутреннего и внешнего оформления.
Понятие "фирменный стиль" содержит в себе две составляющие: внешний образ и характер поведения на рынке.
Внешний образ - создается единым стилевым оформлением товарного знака, логотипа, деловой документации, фирменного блока, фирменной цветовой гаммы, фирменной вывески, фирменной одежды, рекламных объявлений, буклетов, дизайна офиса и т.п.
Характер поведения на рынке - определяется взаимоотношениями фирмы и ее представителей с партнерами, заказчиками, поставщиками, банками, конкурентами. Характер поведения на рынке отличается особым стилем при проведении рекламных кампаний и мероприятий по стимулированию сбыта, а также работой с общественностью, наличием корпоративного духа и корпоративной культуры.
Товарный знак (торговая марка, эмблема) - это официально принятый термин, означающий зарегистрированное в установленном порядке оригинально оформленное художественное изображение (оригинальные названия, художественные композиции и рисунки в сочетании с буквами, цифрами, словами или без них и т.п.). Товарный знак служит для отличия товаров или услуг одного лица (юридического или физического) от однородных товаров или услуг другого. Успешный процесс формирования имиджа требует управления (планирования, организации, контроля). Имидж тАУ это не только средство, инструмент управления, но и объект управления. Позитивный имидж, так же, как и паблисити, создается основной деятельностью компании, а также целенаправленной информационной работой, ориентированной на целевые группы общественности. Эта работа осуществляется в значительной мере посредством маркетинговых коммуникаций (паблик рилейшнз, реклама, личные продажи, стимулирование продаж). Работа по созданию имиджа ведется целенаправленно для каждой группы и различными средствами. Для крупных организаций при поддержке имиджа особенно важна работа с СМИ, поскольку крупный масштаб операций требует достаточно широкой известности, достижимой прежде всего с помощью масс-медиа. Создание имиджа бизнес-организации в рыночной среде ведется на основе стратегического подхода, с помощью интегрированных маркетинговых коммуникаций. Следует помнить, что каждое из средств маркетинговых коммуникаций имеет свои сильные и слабые стороны. Системная интеграция этих средств (по времени и последовательности использования, по распределению бюджета между ними) обеспечивает усиление преимуществ каждого из средств и нивелирует их недостатки. [765]
Значительная часть российских организаций сводит проблему своего позитивного имиджа к внешним атрибутам ведения операций. Это упрощенное и потому поверхностное, тАЬкосметическоетАЭ решение. На самом деле, организация нередко нуждается в терапии, а часто и в хирургии управления. Проблема имиджа, или хотя бы позитивной известности продукта, тАУ нередко внешнее проявление кризиса управления и проблема реального места и роли организации на рынке и в обществе в целом. Устойчивое падение конкурентоспособности и даже летальный исход тАУ следствие поверхностного и узкого подхода к судьбе организации со стороны ее руководства. Процесс управления корпоративным имиджем начинается задолго до разработки визуальных атрибутов организации (лого, фирменных бланков, интерьера, внешнего вида и манер сотрудников). Он начинается с формулировки видения, а затем миссии как социально-значимого статуса организации (рис. 1.2). Затем определяется корпоративная индивидуальность, или тАЬличностьтАЭ организации.

Рисунок 1.2. Процесс управления корпоративным имиджем
Это уже более конкретные характеристики, отражающие корпоративную культуру тАУ ценности, суждения и нормы поведения. Корпоративная индивидуальность преломляется в организационном тАЬжизненном стилетАЭ. Организационный стиль тАУ это образ жизни компании, то, как она тАЬпроводиттАЭ время, использует материальные, финансовые, информационные, человеческие и прочие ресурсы. Так, например, компания Microsoft тратит свои ресурсы на перспективные и почти фантастические проекты будущего, на отбор и поддержку творчески-ориентированных сотрудников, на развитие глобальной телекоммуникационной инфраструктуры мира. А также Microsoft тратит миллионы долларов на то, чтобы мир знал об этом и хорошо к ней относился.
После определения тАЬхарактератАЭ компании принимается решение о том, как донести этот выгодно отличающийся от других тАЬхарактертАЭ до целевых групп. Как сделать достоянием групп общественности реальные достоинства компании? На этом этапе формируется корпоративная идентичность. Корпоративная идентичность тАУ это система коммуникативных средств, тАУ названий, символов, знаков, лого, цветов, мифов, ритуалов, тАУ проецирующих, или отражающих индивидуальность компании. Корпоративная идентичность должна отражать миссию, структуру, бизнес и притязания компании.
Работа над корпоративной идентичностью столь важна, что нередко ведет к структурным изменениям, к смене управляющих или репозиционированию организации, стремящейся обслуживать другие рынки. Т.о., меняется сама тАЬличностьтАЭ, или тАЬиндивидуальностьтАЭ организации. Эти изменения более значимы и существенны для позитивного имиджа организации, чем косметический макияж интерьеров и раскраска фасадов потемкинских деревень.
Однако только в результате работы над корпоративной идентичностью тАУ и использования корпоративных коммуникаций (маркетинговых, в т.ч.), возникает корпоративный имидж.[908]
Деятельность по формированию имиджа и управления ими оценивается качественно (цели, структура, содержание, исполнители, технологии) и количественно (затраты, сроки, результаты, экономическая эффективность).
1.4. Оценка имиджа
Теоретически и практически существуют различные методы и способы оценки имиджа компании. Можно с уверенностью утверждать, что наиболее эффективным из них будет тот, который удовлетворяет большему числу требований по оценке и дает наиболее объективные результаты, объективные с точки зрения принятия имиджа данной конкретной компании большинством потребителей.
Оценка имиджа происходит при использовании опыта, ценностных ориентации, общепринятых норм, принципов. Оценка и образ имеют условные концептуальные различия и неразрывную связь. В силу объективных условий имидж может быть позитивным, негативным и нечетким. Целью организации является создание позитивного имиджа, повышающего конкурентоспособность, привлекающего внимание общества, ускоряющего процесс приятия и увеличивающего объем сторонников, что позволяет активизировать финансовые, информационные, человеческие и материальные ресурсы.
Ниже приведена одна из методик оценки имиджа компании, которая построена на предположении о том, что имидж, как инструмент воздействия на внешнее окружение, необходимо приближать к позитивному, увеличивая тем самым Влрыночную силуВ» предприятия. Таким образом, параметры, характеризующие состояние корпоративного имиджа предприятия, представленные на рисунке 1.3, должны соответствовать позитивному имиджу[4]
.
В данном случае оценка корпоративного имиджа проводится посредством экспертного опроса представителей соответствующих групп восприятия и сотрудников предприятия. Методы экспертного оценивания в данном случае, как и для широкого круга других неформализуемых проблем в различных сферах человеческой деятельности, представляются эффективным и единственным средством их решения.
Для выявления состояния корпоративного имиджа предприятия экспертам предлагается оценить степень соответствия каждого параметра всех компонент (рис. 1.3) имиджа позитивному тАФ выставить оценки:
Вл5В» тАФ если состояние данного параметра полностью соответствует позитивному имиджу;
Вл4В» тАФ если состояние данного параметра соответствует не полностью позитивному имиджу;
Вл3В» тАФ если состояние данного параметра слабо соответствует позитивному имиджу;
Вл2В» тАФ если состояние данного параметра совершенно не соответствует позитивному имиджу.
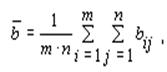
Оценка корпоративного имиджа предприятия и каждой его компоненты определяется как среднее значение

где bij тАФ балльная оценка j-го эксперта степени соответствия i-го параметра позитивному имиджу;
n тАФ количество экспертов;
m тАФ число рассматриваемых параметров.

Рис1.3. Параметры, характеризующие состояние корпоративного имиджа предприятия
На основании полученного среднего значения могут быть сделаны выводы о степени соответствия реального имиджа предприятия позитивному в соответствии со шкалой, изображенной на рис. 1.4:

Рисунок 1.4. Шкала оценки соответствия корпоративного имиджа предприятия позитивному имиджу
Кроме того, по результатам экспертного опроса высшего руководства предприятия оценивался ВлзеркальныйВ» имидж предприятия тАФ представление руководства о том, что думают о предприятии различные группы общественности. Как показала практика проведения маркетинговых аудитов, на большинстве российских предприятий ВлзеркальныйВ» имидж заметно отличается от реального в сторону приближения к позитивному имиджу.[896]
По результатам оценки корпоративного имиджа предприятия разрабатывался план мероприятий, направленный на приближение параметров имиджа к значениям, соответствующим позитивному имиджу.
2. Практика развития корпоративного имиджа
2.1. Корпоративный имидж зарубежных компаний
Как показывает западная практика, особое значение имидж имеет для крупных и/или хорошо известных организаций. Такая организация тАУ на виду общественности и в центре внимания СМИ. Ей некуда спрятаться от общественного порицания и невозможно бесследно раствориться в рыночной стихии. Поэтому крупные организации постоянно работают с общественным мнением, используя как собственные подразделения паблик рилейшнз/коммуникаций, так и привлекая внешние агентства.
Так, например, в отделении паблик рилейшнз компании General Motors (ведущего производителя автомобилей в мире) около двухсот сотрудников заняты работой, непосредственно связанной с имиджем компании, половина из которых тАУ специалисты. В структуре корпоративного управляющего по коммуникациям Chase Manhatten Bank тАУ около ста сотрудников, строящих коммуникации с целым спектром групп общественности всего мира.[768] В компании Microsoft есть директор ПР, здесь работает собственная группа ПР численностью 15 чел. Кроме того, Microsoft тАУ многолетний клиент ПР-агентства Waggener Edstrom, насчитывающего 289 чел. и получившего в 1996 г. от Microsoft более 20 млн.долл. за ПР-обслуживание. Эта работа направлена на обеспечение благоприятного поведения общественности в отношении организации.
Корпоративный имидж значим и в финансовом менеджменте. Имидж представляет собой неявный (нематериальный) актив, отражается в соответствующей статье (Intangibles: goodwill) активной части балансового отчета Североамериканских и Западноевропейских компаний в стоимостном выражении. Так, например, стоимостная оценка Goodwill (благорасположения) компании Mercedes-Benz в ее балансовом отчете на декабрь 1994 г. составила 19 миллионов нем. марок, или 11,2% от всей суммы неявных активов[5]
.
Актуальным примером удачного формирования и развития позитивного имиджа является деятельность индийского миллиардера Лакши Миттала и подконтрольных ему компаний. Так, компания Mittal Steel, известная жесткими подходами в отношении приобретаемых проблемных активов, в ходе слияния с Arcelor[6]
столкну
Вместе с этим смотрят:
Advertising in the trade market
Globalization Strategy of Nokia
PR и маркетинг: грани взаимодействия
PR как технология эффективного управления фирмой