Застосування експертних систем у медицинi
Експертнi системи тАФ це програмнi комплекси, що акумулюють досвiд спецiалiстiв у деякiй предметнiй областi з метою його (досвiду) тиражування для консультацiй менш квалiфiкованих користувачiв. Розробка ЕС тАФ це галузь iнформатики, що активно розвиваiться та спрямована на використання ЕОМ для обробки iнформацii у тих галузях науки та технiки, де традицiйнi математичнi моделi моделювання малопридатнi, де важливi смислова та логiчна обробка iнформацii, досвiд експертiв. Експертнi системи досить молодiтАФпершi системи такого роду з'явилися у США в серединi 70-х рокiв. Натепер у свiтi нараховуiться декiлька тисяч промислових ЕС, що дають поради при керуваннi складними пунктами диспетчерiв, постановцi медичних дiагнозiв, пошуку несправностей у електронних пристроях тощо. Зараз легше назвати областi, де ЕС не використовуються, нiж тi, де вони вже використовуються.
Головна вiдмiннiсть ЕС вiд iнших програмних засобiв тАФ це наявнiсть бази знань, у якiй знання зберiгаються у виглядi записiв на деякiй мовi представлення знань (МПЗ), що дозволяi легко змiнювати та доповнювати базу знань у формi, що зрозумiла спецiалiстам тАФ розробникам ЕС. У звичайних програмах знання зашитi у алгоритм i тiльки програмiст (автор програми) може iх корегувати (якщо згадаi, як побудована його програма).
До останнього часу саме рiзнi МПЗ були центральною проблемою при розробцi ЕС. Зараз iснують десятки мов або моделей представлення знань. Найпоширенiшi з них: продукцii, семантичнi мережi, фрейми, обчислення предикатiв 1-го порядку, ОО мови програмування тощо. Для цих моделей iснуi вiдповiдна математична нотацiя, розробленi системи програмування, що реалiзують цi МПЗ. Вибiр конкретноi моделi визначаiться структурою знань у конкретнiй предметнiй областi. Спочатку необхiдно визначити цю структуру. Конкретизацiя елементiв знань та iх взаiмозвтАШязкiв вiдбуваються у безпосередньому контактi зi спецiалiстами предметноi областi тАФ експертами. Цей процес називаiться здобуттям знань, а розробники ЕС, що займаються саме здобуттям та структуруванням знань, називаються iнженерами по знаннях.
Одразу визначимо тi предметнi областi, де маi сенс видiляти знання. Це областi, де переважаi емпiричне знання, де накопичення фактiв випереджаi розвиток теорii (медицина, геологiя, фiнанси тощо). Такi добре структурованi областi як математика, фiзика, теоретична механiка, мають у своiй основi розвинений математичний апарат для опису своiх закономiрностей, що дозволяi проводити машинне моделювання з використанням традицiйного алгоритмiчного програмування (без видiлення рiвня знань). Знання важливi там, де визначення розмитi, поняття змiнюються, ситуацii залежать вiд багатьох контекстiв, де i велика невизначенiсть, нечiткiсть iнформацii. Загалом, знання тАФ це основнi закономiрностi предметноi областi, що дозволяють людинi вирiшувати конкретнi виробничi, науковi та iншi задачi, тобто факти, поняття, взаiмозвтАШязки, оцiнки, правила, евристики (фактичнi знання), а також стратегii прийняття рiшень у цiй областi (або стратегiчнi знання).
1. Приклади застосування експертних систем у медицинi
Одна з найбiльш раннiх i вiдомих медичних EC MYCIN фрагментарно розглядалася у попереднiх роздiлах. Тут будуть стисло розглянутi деякi EC медичного призначення, тi, що стали вже класичними, i сучаснi.
EC стеження за станом пiсляоперацiйних хворих
Система VM призначена для стеження за станом пiсляоперацiйних хворих, яким необхiдний апарат штучного дихання. Система визначаi тип апарата штучного дихання i режими його роботи у залежностi вiд розвитку захворювання та реакцii органiзму на терапевтичнi дii. Система реалiзуi роботу з даними, то змiнюються в часi (динамiчна система). Представлення системи про час обмеженi тiльки поточним i попереднiм станами.
Знання в системi представленi у виглядi таких типiв правил: переходу, iнiцiалiзацii, стану та лiкування. Система постiйно отримуi новi покази приладiв i запускаi в дiю всi своi правила.
Правила переходу визначають моменти змiни стану хворого, колi необхiдно змiнити порядок стеження за ним. Моменти змiни стану визначаються за виходом показникiв за заздалегiдь установленi межi.
За допомогою правил iнiцiалiзацii установлюiться новий контекст, тобто новi значення, якi очiкуються.
Пiсля встановлення контексту правила стану визначають нову поведiнку системи, поки контекст не змiниться. Незважаючи на те, що покази приладiв постiйно змiнюються, система виконуi змiну контексту тiльки тодi, коли це буде достатньо обТСрунтовано за правилами переходу.
Правила лiкування визначають потрiбнi режими роботи апарату штучного дихання.
Приклади правил експертноi системи VM.
Правило 1: якщо серцевий ритм i прийнятним, i частота пульсу не змiнилася бiльше нiж на 20 ударiв/хв протягом 15 хвилин, i середнiй артерiальний тиск i прийнятним, i середнiй артерiальний тиск не змiнився бiльш нiж на 15 мм рт.ст. протягом 15 хвилин, i кров'яний тиск систоли i прийнятним, то гемодинамiка i стiйкою.
Правило 2: якщо хворий переведений з VOLUME на CMV, або хворий переведений з ASSIST на CMV, то очiкуiться, що: прийнятний середнiй тиск повинен бути в межах 75.. 110, прийнятний серцевий ритм - 60.. 110, вмiст С02 у видиху -28..42.
Правило 1 стосуiться хворих, що знаходяться на рiзних режимах штучного дихання (VOLUME, CMV ASSIST i Т-РРЖЕСЕ), правило 2 - всiх хворих, що знаходяться на режимi контрольованоi примусовоi вентиляцii (CMV).
Правило 1 iлюструi, як керуюча система стежить за станом хворого, застосовуючи термiни, значення яких мiняiться залежно вiд клiнiчного контексту (наприклад, "прийнятне"). Правило 2 показуi як система використовуi своi сподiвання в деякому контекстi, щоб точно визначити значення термiнiв (наприклад, "прийнятний середнiй артерiальний тиск").
EC аналiзу причин гiпертонii
Постановка задачi. Вiд гiпертонii страждаi близько 10% населення Землi. Причини пiдвищення артерiального тиску дуже рiзноманiтнi - бiльше ЗО основних захворювань. Складнiсть дiагностики цих захворювань полягаi в тому, що вони можуть стосуватися компетенцii фахiвцiв з рiзних галузей медицини: нефрологii, ангiологii, урологii тощо. Тому створення EC, яка мiстила б знання кращих спецiалiстiв з рiзних галузей медицини, зв'язаних з гiпертонiiю, надаi суттiву допомогу в пiдвищеннi рiвня дiагностики вказаних захворювань.
Система МОДИС призначена для дiагностики рiзних форм симптоматичноi гiпертонii.
Система МОДИС може використовуватись як у полiклiнiках загального профiлю, так i в спецiалiзованих клiнiках. Очевидно, що рiвень доступноi iнформацii про хворого в цих закладах рiзний. В полiклiнiцi терапевту доступна iнформацiя бiльш загального характеру: скарги хворого, данi зовнiшнього огляду, iсторiя хвороби та результати загальних аналiзiв. Таким чином, на основi iнформацii загального характеру ЕС повинна звузити коло можливих захворювань i вибрати з них найбiльш iмовiрнi. ЕС даi рекомендацii до яких спецiалiстiв звернутися хворому, скерувати на спецiальнi дослiдження.
При використаннi ЕС у спецiалiзованих клiнiках доступна бiльш детальна iнформацiя, тобто данi спецiальних дослiджень (наприклад, аортографii або внутрiшньовенноi урографii). В цьому випадку ЕС повинна поставити бiльш точний аналiз.
Основнi концепцii, з якими працюi експерт у данiй системi, - це захворювання, iх форми i групи, симптоми, данi лабораторних дослiджень тощо. Для iх опису використовуються знання трьох видiв:
описовi знання, якi використовуються експертом для опису вiдношень мiж поняттями. Наприклад, таке поняття, як систолiчний тиск, пов'язане в експерта з додатковою iнформацiiю. Так, вiн знаi, що систолiчний тиск може знаходитися в межах вiд 50 до 350, знаi, що систолiчний тиск завжди бiльший вiд дiастолiчного тощо;
знання про те, як експерт виводить новi твердження на основi аналiзу деякоi iнформацii. Експерт використовуi цi знання для постановки дiагнозу. Характерним прикладом цього виду знань i таке дiагностичне правило: "Якщо хворий молодого вiку i у нього спостерiгаються пароксизми тиску, а результати гормональних дослiджень кровi показують збiльшений бiльш нiж у два рази вмiст катехоламiнiв, то у хворого, найiмовiрнiше, феохромоцита";
знання про те, як експерт вибираi найперспективнiшi шляхи пошуку. Цi знання, поданi у виглядi правил, дозволяють експерту не розглядати малоймовiрнi гiпотези, а тiльки найбiльш iмовiрнi. Такi знання належать до метарiвня, оскiльки визначають деяку схему використання знань першого i другого рiвнiв. Приклад такого правила: "Якщо хворий маi суттiвi змiни в аналiзах сечi, то насамперед потрiбно пiдозрювати нефрологiчну природу гiпертонii".
Представлення знань. Знання в системi МОДИС зберiгаються у виглядi правил. Лiва частина правил (предикати) записуiться у формi, близькiй до природомовноi, наприклад "Якщо характер пiдвищення артерiального тиску пароксизмальний". Предикати в лiвiй частинi правил можуть з'iднуватися логiчними операцiями диз'юнкцii, кон'юнкцii i заперечення.
Для запису правих частин правил використовуються процедури. Так правило з правою частиною типу ".., то у хворого феохромоцита" можна подати у виглядi процедури "зробити висновок: у хворого феохромоцита", а правило виду ".., то розглядати нефрологiчну групу захворювань" у виглядi " активiзувати нефрологiчну групу".
Функцiонування системи. Робота ЕС МОДИС починаiться зi збору початковоi iнформацii, до якоi належать анкетнi данi хворого, його скарги, iсторiя хвороби, симптоми та лабораторнi аналiзи. На екранi дисплея, перед яким сидить користувач, з'являються запитання i можливi вiдповiдi на них.
Якщо запитання або вiдповiдi незрозумiлi, користувач може отримати додаткову iнформацiю. Вiдповiдi, якi вводить користувач, перевiряються системою i, якщо виявленi суперечностi, ЕС сигналiзуi про це.
На етапi збору початковоi iнформацii система задаi користувачу бiля ЗО запитань. Потiм користувачу задаються запитання для аналiзу гiпотез. Для пошуку рiшень система висуваi, пiдтверджуi i заперечуi гiпотези. В середньому один дiагностичний сеанс триваi 5-10 хвилин. Остаточний висновок, який даi система, i сукупнiстю елементарних рiшень за окремими гiпотезами i формуiться системою в процесi аналiзу дерева рiшень. Характерним висновком для ЕС МОДИС можна вважати такий: "У хворого, найiмовiрнiше, феохромоцитома. Потрiбно провести гормональнi аналiзи кровi та сечi з метою визначення там вмiсту катехоламiнiв. Потрiбна консультацiя нефролога".
Експертна система визначення термiну нанесення ушкоджень у судово-медичнiй дiагностицi
В описана експертна система для спектрофотометричноi дiагностики бiотканин у судово-медичнiй експертизi. Перевага такого пiдходу до визначення термiну нанесення тiлесних ушкоджень полягаi в тому, що не використовуються руйнуючi (iнвазивнi) методи та суб'iктивнi оцiнки характеристик.
На основi даних спектрофотометричноi комп'ютерноi системи проводиться дiагностика прижиттiвостi нанесених травм у трупiв та термiн iх нанесення до смертi.
Перша версiя системи (СЕД1) базувалась на логiчних правилах i мала структуру, характерну для бiльшостi традицiйних ЕС, побудованих на правилах.
У наступнiй версii системи розглядалися бiльш складнi задачi дiагностики, зокрема, використання кольору в процесi дiагностики. Вона була реалiзована на основi апарату нечiткоi логiки у виглядi окремоi пiдсистеми, що дiстала назву системи експертноi неiнвазивноi оптичноi дiагностики (СЕНОД+). Ця пiдсистема виконувала тi самi функцii, що й пiдсистема на основi логiчних правил (СНЕД-1). Вибiр пiдсистеми залежить вiд використання нечiтких даних для визначення дiагнозу.
Крiм нечiткоi логiки в системi використовуiться також iмовiрнiсно- статистичний пiдхiд. У процесi формалiзацii задачi та РЖдентифiкацii авторамивиявлено, що множина дiагнозiв (типiв судово-медичних висновкiв для встановлення прижиттiвостi та давностi нанесення синцiв) у судово-медичнiй експертизi складаi 7 видiв.
На першому етапi вiдбуваiться визначення дiагнозу: синець нанесений пiсля смертi - <2у чи до смертi - <22. У випадку останнього на другому етапi роботи ЕС проводиться визначення термiну його нанесення за такою шкалою:
■синець, нанесений безпосередньо перед смертю тАФ в1;
синець, нанесений за 5 хв. - 1 год. до смертi тАУ в2;
синець, нанесений за 1 - 6 год. до смертi тАУ в3;
синець, нанесений за 6 - 24 год. до смертi тАУ в4;;
синець, нанесений за 24 - 48 год. до смертi тАУ в5;
синець, нанесений за 48 год. i бiльше до смертi тАУ в6;
У процесi логiчного встановлення дiагнозу системою беруться до уваги такi фактори та iх показники. При визначеннi прижиттiвостi нанесення травми домiнуючий колiр синця - показник у, який лежить у межах вiд 1 до З, вiдносний показник коефiцiiнта дифузного вiдбивання Рq на трьох довжинах хвиль, який вiдповiдаi кiлькiсним показникам гемоглобiну та його похiдних i характеризуi стадiю запального процесу: x1 тАУ Рq460 нм тАФ бiлiрубiн; х2 тАУ Рq460 нм тАФ гемоглобiн; х3 тАУ Рq460нм - метгемоглобiн.
Таблиця 1.1.
Формалiзованi значення факторiв пiсля введення якiсних нечiтких термiв
| Показники | Поcмертне пошкодження | До 5 хв. | 5-60 хв. | 1-6 год. | 6-24 год. | 24-48 год. | 48-72 год. | Бiльше 72 год. |
| Бiлiрубiн Х1 460 нм | 9.07В± 2.66 Н,НС | 4.79В± 1.13 ДН | 12.54В±0.48 НС | 9.03В± 1.29 Н, НС | 9.61В± 2.02 Н, НС | 16.16В± 1.28 С | 15.03В± 1.47 С | 9.24В± 1.54 |
Гемоглобiн Х2 580 нм | 19.79В± 4.07 ВС | 10.9В± 1.89 НС,Н | 22.07В± 0.57 ВС | 18.93В± 0.47 ВС | 20.46В± 2.42 ВС,С | 29.2В± 2.29 ДВ,В | 21.5 В±2.7 ВС, В | 13.68В±1.3 |
| Метгемоглобiн Х3 630 нм | 6.59В± 4.64 Н,ДН | 17.28В± 2.98 С, ВС | 17.89В±1.91 С, ВС | 19.47В± 1.26 ВС | 18.13В± 1.82 С,ВС | 17.09В± 1.61 С | 24.07В± 2.07 В, ВС | 13.59В± 1.45 |
| Основний колiр yi | 2 у 100% випадкiв | 1-100% | 1-100% | 2-89% | 1-45% | 2-78% | 2-11% | 3 |
| Допустимий колiр | 1-2 | 1 | 1 | 1-2 | 1-2 | 1-2-3 | 2-3 | 2-3 |
Для кожного з визначених термiнiв часу нанесення ушкоджень iснуi своя комбiнацiя значень вiдносного показника, тому прiоритет надаiться саме йому. Формалiзованi знання експерта показанi в табл. 1.1. Колiр синця розподiлений на три групи, якi властивi кожному з видiлених дiагнозiв, причому група РЖ - червоний колiр з фiолетовим, 2 - червоно-пурпурний, пурпурний, фiолетово-пурпурний, 3 - жовто-зелений, жовтий. Це допустимо i спрощуi процес виводу дiагнозу. В процесi формування бази знань фактори x3, y1-y3, якi впливають на систему прийняття рiшення i на формування кiнцевого висновку, розглядаються як лiнгвiстичнi змiннi.
Знання у виглядi якiсних термiв та iх значень для лiнгвiстичних змiнних xi i уi показанi в табл. 1.2 i 1.3.
Якiснi терми для лiнгвiстичних змiнних y1-y3
Таблиця 1.2.
| Терм | Як часто зустрiчаiться колiр синця |
| Промах (П) | Не зустрiчаiться зовсiм |
| Дуже низький (ДН) | Уn < 30% |
| Низький (Н) | 30%<уn<60% |
| Середнiй (С) | 60%<уn |
| Високий (В) | Майже в 100% |
Якiснi терми для лiнгвiстичних змiннихx1-x3
Таблиця 1.3.
| Терм | Нижнiй рiвень Рq | Верхнiй рiвень Рq |
| Промах (П) | 31.49 | 1.95 |
| Дуже низький (ДН) | 1.95 | 5.78 |
| Низький (Н) | 5.78 | 10.06 |
| Нижче середнього (НС) | 10.06 | 14.35 |
| Середнiй (С) | 14.35 | 18.63 |
| Вище середнього (ВС) | 18.63 | 22.92 |
| Високий (В) | 22.92 | 27.2 |
| Дуже високий (ДВ) | 27.2 | 31.49 |
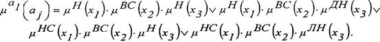
Задача судмедекспертноi дiагностики ЕС полягаi в тому, щоб множинi значень вимiряних показникiв x1-x3 та y1-y3 знайти вiдповiднiсть дiагнозу посмертного чи прижиттiвого нанесення травми a1-a3, i у випадку останнього визначити точний термiн його нанесення b1-b6
Для оцiнки лiнгвiстичних змiнних x1-x3 вводиться система якiсних термiв, яка складаiться з чотирьох рiвнiв. Оскiльки закон розподiлу розглянутих випадкових величин наближаiться до нормального, то якiснi терми для x1-x3 будуть такi (Рq розподiляються на шкалi, яка маi 8 значень). Така шкала показана на рис. 1.1

Рис. 1.1. Шкала якiсних нечiтких термiв для логiчних змiнних х1-х3 (дiапазони показника Рц)
Замiсть формування матрицi правил до табл. 8.6 заносяться введенi нечiткi якiснi терми. Для виведення дiагнозу ЕС достатньо розв'язати такi рiвняння:
![]()
Для формування функцii належностi формалiзованi знання для лiнгвiстичних змiнних xi та уi тАУ записуються в таблицях 1.4 та 1.5.
Таблиця 1.4.
Данi про знання для лiнгвiстичних змiнних y1-y3
| № | y1 | y2 | y3 | ai | bi |
| 1 | ДН | В | П | a1 | тАФ |
| 2 | В | П | П | a1 | b1 |
| 3 | В | П | П | a1 | b2 |
| 4 | ДН | С | П | a2 | b3 |
| 5 | Н | С | П | a2 | b4 |
| 6 | ДН | С | ДН | а2 | b5 |
| 7 | П | ДН | С | a2 | b6 |
Таблиця. 1.5
Данi про знання для лiнгвiстичних змiнних x1-x3
| № | x1 | x2 | x3 | ai | bi |
| 1 | Н | ВС | Н | a1 | - |
| 2 | Н | ВС | ДН | a1 | - |
| 3 | НЕ | ВС | Н | a1 | - |
| 4 | НЕ | ВС | ДН | a1 | - |
| 5 | ДН | НЕ | С | a1 | b1 |
| 6 | ДН | НЕ | ВС | a2 | b1 |
| 7 | ДН | Н | С | a2 | b1 |
| 8 | ДН | Н | ВС | a2 | b2 |
| 9 | НЕ | ВС | С | a2 | b2 |
| 10 | НЕ | ВС | ВС | a2 | b2 |
| 11 | Н | ВС | ВС | a2 | b3 |
| 12 | НЕ | ВС | ВС | a2 | b3 |
| 13 | Н | ВС | С | a2 | b4 |
| 14 | Н | С | С | а2 | b4 |
| 15 | Н | С | ВС | a2 | b4 |
| 16 | НЕ | ВС | С | a2 | b4 |
| 17 | НЕ | С | С | a2 | b4 |
| 18 | НЕ | С | ВС | a2 | b4 |
| 19 | Н | ДВ | С | a2 | b5 |
| 20 | Н | В | С | a2 | b5 |
| 21 | Н | ВС | В | a2 | b6 |
| 22 | НЕ | ВС | ВС | a2 | b6 |
| 23 | НЕ | В | В | аг | b6 |
| 24 | НЕ | В | ВС | a2 | b6 |
На основi табл. 1.4 та 1.5 визначають функцii належностi
нечiтких термiв ДН, Н, НС, С, ВС, В, ДВ:

Наведенi формули переписуються з урахуванням табл. 1.1

Аналогiчно формуються рiвняння для![]()
Для формування функцiй належностi з використанням наведених логiчних рiвнянь необхiдно визначити множину функцiй належностi нечiткихтермiв:
Один iзможливих варiантiв показаний на рис. 1.2

Рис. 1.2. Функцii належностi нечiтких термiв
Запис функцiй належностi в аналiтичному виглядi для семи розглянутих ранiше дiагнозiв буде мати такий вигляд:

Експертна система iридодiагностики
Проблеми використання Байiсiвськоi стратегii в iридодiагностичних ЕС. Часто виникаi питання, чому замiсть методу Байiса в медичних ЕС використовуються менш ефективнi методи, наприклад, табличнi алгоритми. В ця ситуацiя розглядаiться на прикладi iридодiагностики. Назвемо основнi причини використання в iридодiагностицi малоефективних табличних алгоритмiв замiсть бiльш ефективних алгоритмiв, що використовують метод Байiса:
статистична залежнiсть мiж iридоознаками;
необхiднiсть знання апрiорних ймовiрностей P(Уj) захворювань Уj;
неоднорiднiсть та неповнота даних;
наявнiсть зовнiшнiх та внутрiшнiх завад.
Суть методу iридодiагностики. Метод iридодiагностики, оснований на сигнальнiй функцii екстерорецепторiв райдужноi оболонки ока, i одним iз найбiльш iнформативних i достовiрних методiв раннього виявлення генетичних i патологiчних порушень в органiзмi. Цей метод характеризуiться вiдсутнiстю будь-яких протипоказань (за винятком епiлепсii, як вiдносного протипоказання у зв'язку з провокуючою приступ дiiю свiтла), повною безпекою i нетравматичнiстю.
У процесi огляду пацiiнта лiкар-iридолог, оцiнюючи структурний стан райдужноi оболонки та адаптильно-трофiчнi змiни, що вiдбуваються у нiй в часi та просторi, маючи можливiсть оперативного огляду в одному полi зору проекцiйних зон усього органiзму, дiагностуi з достатньо високою точнiстю спадковi особливостi пацiiнта, функцiональну та органну слабкiсть певних органiв i систем, що дозволяi в кiнцевому результатi зробити висновки про резервнi можливостi органiзму, скласти прогноз, тобто побудувати вектор майбутнього стану здоров'я органiзму обстежуваного. На основi поiднання рiзних iридознакiв на райдужнiй оболонцi iридолог дiагностуi мiсцезнаходження патологiчного процесу i певною мiрою його характер.
Статистична залежнiсть ознак. Простi та зручнi для розрахункiв спiввiдношення (1.1) справедливi у передбаченнi статистичноi незалежностi використовуваних ознак. У випадку статистично залежних ознак необхiдно використовувати складнiший вираз, складнiсть якого полягаi в необхiдностi знання багатомiрних густин розподiлу ймовiрностей Р(Х1,Х2,..,Хi) та Р(ХРЖ,Х2,..,Хi/Уj]).
Методика оцiнювання одномiрних розподiлiв ймовiрностей Р(Xi) i Р(Хi/Yj), якi придатнi лише для обчислень за формулами (1.1), тобто в передбаченнi статистичноi незалежностi ознак. Однак у цьому випадку вiдзначаiться наявнiсть статистичноi залежностi мiж ознаками - як наслiдок, формули (1.1) не можуть бути використанi.
У результатi аналiзу статистичноi залежностi iридоознак можна зазначити, що:
мiж iридоознаками iснуi статистична залежнiсть, яка маi два основних механiзми -"фiзiологiчний" i "математичний". У першому випадку залежнiсть зумовлена або проявом одного i того самого захворювання у виглядi декiлькох ознак, або проявом ознак декiлькох залежних захворювань, в другому випадку це залежнiсть мiж комплексною iридоознакою, утвореною сукупнiстю елементарних iридоознак, та елементарними iридоознаками, якi входять до ii складу;
на сьогоднi найбiльше вивчена залежнiсть мiж рiзними iридоознаками та ознакою "колiр райдужноi оболонки", що, очевидно, пояснюiться не стiльки iнформативнiстю ознаки "колiр райдужноi оболонки", скiльки простотою та легкiстю його оцiнювання.
Можна назвати основнi чинники фiзичноi природи статистичноi залежностi ознак:
каузальнiсть (причинно-наслiдкова залежнiсть);
синхронiзм
У першому випадку поява ознаки X зумовить iздеякою ймовiрнiстю появу iншоi ознаки Y. У другому випадку передбачають наявнiсть третьоi, прихованоi вiд спостереження (латентноi) або просто iгнорованоi, подii Z, каузально зв'язаноi з ознаками X i Y, якi в результатi такого зв'язку стають статистично залежними.
Для оцiнки характеру та мiри статистичноi залежностi ознак X i Y можна застосовувати поняття регресii i коефiцiiнтiв регресii. Регресiiю Y на X називаiться умовне математичне очiкування (MO) випадковоi величини (ВВ) Y для фiксованого значення Х=х:
E{Y(x)}=E{Y/X = x}.
Лiнiiю регресii Y на X називаiться MO, що розглядаiться як функцiя змiнноi х. Аналогiчно визначаiться регресiя X на Y. Лiнii регресii Y на X та Х на Y не збiгаються. Регресiя називаiться лiнiйною, якщо лiнiя регресii пряма. Для незалежних ВВ лiнii регресii перетворюються в прямi, паралельнi до координатних осей.
Якщо позначити колiр райдужноi оболонки символом X, а тип райдужноi оболонки тАФ символом Y, то можна розглядати значення умовноi густини P(Y/X). Враховуючи суттiву нерiвномiрнiсть цiii функцii Y (для фiксованих значень X) можна наближено оцiнити ii середнi значення (математичне очiкування) - йому вiдповiдаi максимум густини P(Y/X) як функцii Y.
Характер статистичноi залежностi мiж ознаками може бути як лiнiйним, так i нелiнiйним. Для лiнiйноi залежностi використовуiться поняття "коефiцiiнт кореляцii"
rXY = Е{(Х - Е{ X})(Y - E{Y})} / axay,
де axay -середньоквадратичнi вiдхилення ВВ X i У:
rXY =E{(X-E{X})(Y-E{Y})}/ axay.
У загальному випадку |rXY|<1 - Рiвнiсть rXY=0 маi мiсце для некорельованих (i незалежних - у випадку нормально розподiлених X та Y) ВВ, а |rXY|=1 тАФ для лiнiйно залежних детермiнованих ВВ.
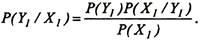
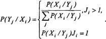
Неповнота апрiорних даних. РЖнша суттiва перешкода для використання формули Байiса полягаi в необхiдностi знання апрiорних iмовiрностей P(Yj) захворювань Yj. Якщо ця iнформацiя вiдсутня, можна вважати всi гiпотези рiвноймовiрними, тобто P(Yj)=1/J, де У - кiлькiсть альтернативних захворювань.
Однак це може привести або до недостатньо високоi вiрогiдностi висновкiв (у випадку фiксованоi кiлькостi iридоознак, що спостерiгаються), або буде вимагати збiльшення обсягу спостережень (у випадку фiксованоi досить високоi вiрогiдностi висновкiв).
Як приклад розглядаiться спроба використання у формулi Байiса статистичноi iнформацii про деякi ознаки нирковоi патологii, зокрема такоi iнформацii: "..Характерним для нирковоi патологii симптомом був лiмфатичний розарiй, який виявляли в обстежуваних хворих у 57% випадкiв.. При захворюваннях легень, шлунково-кишкового тракту, серцево-судинноi i нервовоi систем лiмфатичний розарiй виявляли рiдше, нiж при захворюваннях нирок у 9-22% випадкiв.. Вказана обставина дозволяi лiкарю мiркувати так: у випадку будь-якого виявлення лiмфатичного розарiю на райдужнiй оболонцi можна передбачити, але в жодному разi не можна стверджувати, що у цього хворого i змiни стосовно нирок".
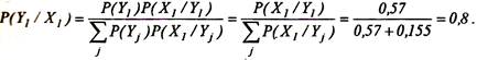
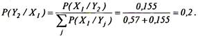
У розглянутому випадку не враховуiться частота зустрiчi нирковоi патологii взагалi, безвiдносно до будь-якоi сукупностi дiагностичних ознак, отже апрiорнi ймовiрностi гiпотез Y1 тАЭi захворювання нирок" i Y2 тАЭнемаi захворювання нирок" можна прийняти однаковими: Р(Y1)-Р(Y2)=0,5.
Припустимо, що мають мiсце такi умовнi ймовiрностi Р(Х/Yj):
Р(ХРЖ/Y1) = 0,57; Р(Х1/Y2) = 0,155,
Де X1означаi "i лiмфатичний розарiй", а значення величини Р(Х1/Y2) = 0,155отримано як середнi арифметичне значення 0,09 i 0,22 (9-22%).
Згiдно з (1.1),
(1.2)
Оскiльки
(1.3)
З (1.2) випливаi:

Аналогiчно

Нерiвнiсть Р(Y1/X1) > Р(Y2/X1) вiдповiдаi виразу "можна передбачити наявнiсть захворювання нирок", а той факт, що Р(Y1/X2)<1, вiдповiдаi фразi "нi в якому разi не можна стверджувати". Слова "нi в якому разi" тАФ свiдчення надзвичайноi обережностi автора: адже в 8 випадках з 10 твердження виявиться справедливим.
Далi можна врахувати апрiорну iнформацiю у виглядi розподiлу Р(Yj) та оцiнити ii вплив на вагомiсть висновкiв тепер. Вказано, що за результатами профiлактичного огляду школярiв у вiцi 12-17 рокiв вiдомо, що патологiянирок маi мiсце в 68% обстежених.
Якщо у виразi (1.2) прийняти, що Р(Yj)=0,68 та Р(Y2)=0,32, то отримаiмо.

Отже, завдяки врахуванню апрiорноi iнформацii ймовiрнiсть висновку на користь гiпотези Y1=тАЭ i захворювання нирок" зросла на 0,1, а вiдносна надiйнiсть висновку, що характеризуiться вiдношенням Р(Y1/X1)/Р(Y2/X1) збiльшилась з 4 до 9 разiв, тобто бiльш нiж у 2 рази.
Виграш вiд використання апрiорноi iнформацii тим суттiвiший, чим бiльший ii обсяг, тобто чим бiльш нерiвномiрний розподiл Р(Yj). Наприклад, за результатами другого профiлактичного огляду, де середнiй вiк обстежуваних складав 46,5 рокiв, за допомогою аналогiчних обчислень для Р(У1)=0,82 i Р(Y2)=0,18 отримуiмо
![]()
Вiдношення Р(Y1/X1)/Р(Y2/X1) тепер приблизно рiвне 16, тобто збiльшилось порiвняно з початковим у 4 рази.
На основi аналiзу використання апрiорноi iнформацii у виглядi повторюваностi рiзних захворювань можна зробити такi висновки:
врахування апрiорноi ймовiрностi суттiво впливаi на вiрогiднiсть висновкiв;
апрiорна iнформацiя не стосуiться конкретного виду дiагностування тАФ це iнформацiя загальномедичного характеру, яка зберiгаiться в певних документах i вiдображаi залежнiсть Р(Yj) вiд багатьох факторiв i умов (соцiальних, територiальних, клiматичних, екологiчних, санiтарно- епiдемiологiчних тощо);
в процесi дiагностики лiкар практично завжди використовуi апрiорну iнформацiю на iнтуiтивному рiвнi.
"Дефекти" даних. Пiд "дефектами" в цьому контекстi розумiiться неоднорiднiсть i неповнота даних.
Прикладом неоднорiдностi даних i опис перiодичностi iридоознак як у кiлькiснiй (числовiй), так i в якiснiй (вербальнiй) формi. Основнi причини цього явища такi:
недостатнi дослiдження ознак;
звичка практикуючих лiкарiв до вербального опису.
Неповнота даних може бути зумовлена або недостатньою мiрою дослiдження iридоознак, або недбалiстю авторiв публiкацiй.
Факториу що заважають. Стосовно методу iридодiагностики, фактори, що заважають (завади) можна умовно роздiлити на зовнiшнi та внутрiшнi.
До зовнiшнiх факторiв вiдносяться неоднорiднiсть складу пацiiнтiв (стать, вiк, освiта, мiсце проживання, соцiальний стан тощо), неоднорiднiсть складу i стану лiкарiв (рiвень квалiфiкацii, психофiзiологiчний стан лiкаря в момент обстеження), неоднорiднiсть умов обстеження (клiматичних, екологiчних, санiтарно-епiдемiологiчних тощо).
До внутрiшнiх факторiв вiдносяться проблеми iридологii як науки. Першою з цих проблем варто назвати неможливiсть диференцiювання одними лише засобами вiзуального аналiзу моменту появи захворювання тАФ в бiльшостi випадкiв тiльки з урахуванням клiнiчних даних i, отже, тiльки шляхом дiалогу з пацiiнтом iридолог може встановити, ознаки якого захворювання спостерiгаються: минулого, теперiшнього чи майбутнього.
Другою проблемою можна назвати ту обставину, що на сьогоднi не створена унiверсальна iридологiчна схема проекцiйних зон, яка задовольнила б усiх iридологiв i, ймовiрно, така схема нiколи не буде створена внаслiдок принципових труднощiв:
формування нервових шляхiв у кожноi людини iндивiдуальне, у зв'язку з чим кожний орган маi не точну, а ймовiрнiсну проекцiю;
можливiсть виникнення ознак, пов'язаних не з патологiiю органiв, а з патологiiю провiдних нервових шляхiв, що досить складно надiйно визначити;
можливiсть виникнення iридоознак, що пов'язанi не з патологiiю органiв, а класифiкуються за типом вiдбитоi рефлекторноi iррадiацii.
Використання продукцii з елементами Байiсiвськоi стратегii в iридодiагностицi Ранiше було вказано, що використання Байiсiвськоi стратегii прийняття рiшень у ii класичнiй формi маi певнi труднощi внаслiдок кiлькох основних причин: статистична залежнiсть ознак; неповнота апрiорних даних; неповнота i неоднорiднiсть iридологiчноi iнформацii; наявнiсть факторiв, що заважають.
Для вирiшення проблеми статистичноi залежностi ознак пропонуiться два шляхи:
не враховувати ii та проводити обчислення, виходячи з умови, що ознаки незалежнi;
враховувати залежнiсть ознак i проводити обчислення з вiдхиленнями вiд класичноi формули Байiса, зберiгаючи, однак, елементи байiсiвськоi стратегii.
Прикладом реалiзацii другого варiанту i механiзм виведення, що використовуiться в iридодiагностичнiй експертнiй системi ЕСРЖД, реалiзацiя якоi буде розглянута далi: за наявностi i-оi ознаки у вiдповiдностi з формулою 1.1 здiйснюють обчислення ймовiрностi j-оi гiпотези про наявнiсть захворювання (в умовах рiвномiрностi апрiорного розподiлу гiпотез для i-оi ознаки):
(1.4)
Ситуацiя Ji=I (i-iй ознацi вiдповiдаi тiльки одна гiпотеза) вимушена, оскiльки вона вiдображаi ситуацiю "пропускiв" даних, коли оцiнка умовних ймовiрностей Р(Хi/Yj) вiдома лише для iдиноi гiпотези.
За наявностi декiлькох ознак використовуiться середня оцiнка апостерiорних ймовiрностей, отриманих у вiдповiдностi з виразом (1.4)
Вместе с этим смотрят:
РЖсторiя виникнення та розвитку масажу
Азотные и кислородные ванны, нафталановая нефть
Акушерська операцiя - накладання акушерських щипцiв