Основнi показники соматичного здоров`я
ЗМРЖСТ
ВСТУП
ПЕРЕЛРЖК УМОВНИХ СКОРОЧЕНЬ
РОЗДРЖЛ 1. ПОНЯТТЯ ПРО ЗДОРОВ`Я ТА ЙОГО КРИТЕРРЖРЗ
1.1 Вчення про здоров'я
1.2 Градацii, критерii i групи здоров'я
1.3 Визначення рiвня здоров'я
1.4 Самооцiнка культури здоров'я
1.5 Визначення фiзичного стану людини
1.6 Методика тестування та оцiнки показникiв фiзичних якостей i рухових здiбностей
РОЗДРЖЛ 2. Паспорт здоров'я
2.1 Потреба у складаннi ВлПаспорту здоров`яВ»
2.2 Положення про ВлПаспорт здоров'яВ»
2.3 Методика оформлення ВлПаспорта здоров'яВ»
РОЗДРЖЛ 3. Методи та методика дослiдження
3.1 Методи дослiдження
3.2 Органiзацiя дослiдження
РОЗДРЖЛ 4. Результати дослiдження та заповнення Влпаспорту здоров`яВ»
ВИСНОВКИ
СПИСОК ВИКОРИСТАНИХ ДЖЕРЕЛ
ВСТУП
Актуальнiсть. У зв'язку з екологiчною й демографiчною ситуацiiю стан здоров'я населення в Украiнi катастрофiчно погiршуiться. Смертнiсть випереджаi народжуванiсть. Зростаi кiлькiсть ракових та алергiчних захворювань, розладiв нервовоi системи. Справжнiм лихом i лейкемiя. На превеликий жаль, змушенi констатувати: ми стоiмо на порозi виродження нацii. Здоров'я народу опинилося в кризi. Тривалiсть життя як основний показник здоров'я стрiмко знижуiться. Украiна за ним перебуваi аж у п'ятому десятку серед держав свiту. Все це негативно позначаiться на станi здоров'я дiтей. Вже з дитячого садка до школи приходять хворi дiти. У школi становище погiршуiться. Тiльки двадцять вiдсоткiв учнiв можна вважати здоровими. Сьогоднi в школi не здобувають, не змiцнюють здоров'я, а, навпаки, втрачають його. Генетичний фонд нацii у небезпецi.
Катастрофiчним i стан здоров'я дiтей та пiдлiткiв з хронiчними хворобами. Цi дiти та пiдлiтки належать до спецiальноi медичноi групи. Постiйний дефiцит руховоi активностi, вiдсутнiсть справжнього тренування гальмують iх нормальний фiзичний розвиток, загрожують здоров'ю. Близько 30% дiтей шкiльного вiку складають групу ризику, 43% учнiв страждають хронiчними захворюваннями, 63% мають порушення постави.
Серед об'iктивних i суб'iктивних причин рiзкого зниження рiвня здоров'я - глибока соцiально-економiчна криза, глобальнi економiчнi проблеми, слабка матерiально-технiчна база й недосконала структура системи охорони здоров'я нашоi краiни та iншi. Однiiю з причин такого кризового становища i вiдставання наявноi в краiнi системи принципiв, методiв i способiв охорони та змiцнення здоров'я вiд вимог сьогодення, розбiжнiстю систем знань, якими оперуi нацiональна освiта, i реалiй, що ми маiмо сьогоднi внаслiдок бурхливих соцiально-економiчних змiн в Украiнi.
Важливе мiсце серед цих причин займають також санiтарно-гiгiiнiчне невiгластво значноi частини населення Украiни, вiдсутнiсть у багатьох людей прiоритету здоров'я та мотивацii вести здоровий спосiб життя як провiдного чинника збереження й змiцнення здоров'я.
Мета роботи тАУ проаналiзувати основнi показники соматичного здоров`я та скласти ВлПаспорт здоров`яВ».
Основнi завдання:
- сформувати поняття про здоров`я, основнi його критерii;
- проаналiзувати необхiднiсть та етапи складання ВлПаспорта здоров`яВ»;
- провести дослiдження основних показникiв соматичного здоров`я.
Об`iкт дослiдження тАУ студенти ЧДРЖЕiУ.
Предмет дослiдження - основнi показники соматичного здоров`я.
Методи дослiдження:
- аналiз лiтературних джерел;
- експеримент (визначення iндивiдуальних показникiв соматичного здоров`я за вiдповiдними методиками);
Практична значимiсть дослiдження: знаючи показники рiвня соматичного здоров`я можна пропонувати програму (при досить низькому рiвнi) щодо покращення стану здоров`я пiддослiдного.
ПЕРЕЛРЖК УМОВНИХ СКОРОЧЕНЬ
АТ тАУ артерiальний тиск;
ЖЕЛ тАУ життiва iмнiсть легень;
ЖРЖ тАУ життiвий iндекс;
РЖГСТ тАУ iндекс Гарвардського степ-тесту;
РЖФА тАУ iндекс фiзичноi активностi;
РЖШ тАУ iндекс швидкостi;
МСК тАУ максимальна;
РФР тАУ рiвень фiзичного розвитку;
РФС тАУ рiвень фiзичного стану;
СРЖ тАУ силовий iндекс;
ФВ тАУ фiзичне виховання;
ФП тАУ фiзична пiдготовленiсть.
РОЗДРЖЛ 1. ПОНЯТТЯ ПРО ЗДОРОВ`Я ТА ЙОГО КРИТЕРРЖРЗ
1.1 Вчення про здоров'я
Один схiдний мудрець мрiяв, щоб у його школi кожен день дiтям викладалися чотири предмети: урок здоров'я, урок любовi, урок мудростi та урок працi. Як бачимо, урок здоров'я займаi першiсть. Уся людська дiяльнiсть зводиться до одного - до задоволення потреби людини до нормального здорового життя
Навчання в школi i важкою роботою, i щоб виконувати цю роботу якiсно потрiбно мати гарне здоров'я.
Людина - перше створiння, яке усвiдомило Всесвiт i його еволюцiю, виникнення свiтовоi системи. В людинi природа досягла найвищоi складностi й досконалостi. У людини вперше виникла дiалектична iднiсть бiологiчного й соцiального, матерiального й духовного.
Людина - це найвищий продукт Земноi матерii, ii тонка й складна система, i щоб ii зберегти непошкодженою й цiлою, необхiдно знати, як функцiонуi ii органiзм, умiти вiдновити його роботу, створювати найоптимальнiшi умови для життiдiяльностi.
Людина стаi все бiльш активною i все бiльш могутньою силою не тiльки планетарною, але й космiчною. Людина - предмет вивчення багатьох дисциплiн.
Для того, щоб людина могла повною мiрою вiдповiдати своiму призначенню як вершина природи i виконати iсторичну мiсiю на Землi i в Космосi, вона повинна бути здоровою як фiзично, так i духовно. Спецiальними дослiдженнями доведено, що на 50% стан здоров'я залежить вiд способу життя людини в широкому розумiннi слова, 20% здоров'я визначаiться впливом навколишнього середовища, 20% - спадковiстю i тiльки 10% - медичною допомогою.
Немаi в людини цiнностi бiльшоi за здоров'я. Вiдомо, що здоров`я - це те, без чого людина не може бути щасливою. Здоров'я маi посiдати перше мiсце в iiрархii потреб людини. Проте, на жаль, цiна здоров'я бiльшiстю людей усвiдомлюiться тодi, коли вона пiд черговою загрозою, а то й певною мiрою втрачена. Тiльки точне знання сутностi здоров'я i факторiв, що формують його, може стати для людини порадником на шляху до розвитку всiх потенцiальних можливостей органiзму, до життя без хвороб, до активного, творчого довголiття (Муравов РЖ.В., Булич Е.Г., 1997).
Валеологiя в перекладi з латинськоi мови означаi "бути здоровим". Це наука про здорових людей. Уявлення про здоров'я i центральним у цiй сукупностi знань про нього. Особливе значення в розумiннi здоров'я маi його визначення. Вiд того змiсту, який ми бачимо в здоров'i, залежать методи i сама спрямованiсть дисциплiни, а також засоби й методи, що використовуються для оздоровчих дiй. Наводимо визначення здоров'я Всесвiтньоi органiзацii охорони здоров'я.
Здоров'я тАФ це стан повного психiчного, фiзичного i соцiального благополуччя, а не тiльки вiдсутнiсть захворювань та фiзичних вад.
При розкриттi поняття здоров'я необхiдно використати концепцiю цiлiсностi.
Це означаi, що здоров'я маi розумiтися як цiлiснiсть, складовi частини якоi взаiмозалежнi. Все, що трапиться з якоюсь iз них, негайно позначиться на всiх iнших. Кожна частина маi сприйматися в загальному контекстi поняття Влздоров'яВ».
Ми використали символ квiтки для того, щоб проiлюструвати поняття цiлiсностi. Кожне кiльце-пелюстка квiтки символiзуi один з аспектiв здоров'я фiзичний, емоцiйний, розумовий, соцiальний, особистий i духовний.
Фiзичне здоров'я - функцiонування нашого органiзму й стан здоров'я кожноi з його систем. Для нас важливо знати як повинен наш органiзм функцiонувати, як визначити, що все гаразд у нас iз здоров'ям.
Розумове здоров'я - це наша здатнiсть отримувати iнформацiю, це наша обiзнанiсть, звiдки отримувати необхiдну iнформацiю, як ii використовувати. Ми повиннi вмiти збирати потрiбнi знання iз рiзноманiтних джерел i бути спроможними використовувати цю iнформацiю для прийняття рiшень стосовно нашого органiзму.
Емоцiйне здоров'я - це здатнiсть розумiти нашi почуття й виражати iх. Знання про те, як почуваiмось ми самi i як почуваються iншi, допомагаi нам виражати своi почуття у зрозумiлий для iнших спосiб. Важливо комфортно почувати себе, беручи до уваги дiапазон емоцiй, i знати, коли людям добре, а коли - нi.
Соцiальне здоров'я - це те, як почуваiмо ми себе як iндивiдууми чоловiчоi або жiночоi статi, як ми взаiмодiiмо з iншими людьми. Нам необхiдно розумiти, що дiйсно i для нас важливим у стосунках з друзями, сiм'iю, коханими i всiма тими, з ким ми взаiмодiiмо. Ми повиннi виробляти вмiння, що допоможуть нам у цих стосунках.
Особистiсне здоров'я - це вiдчуття себе як особи, це вiдчуття розвитку свого ВлегоВ» (ВлегоВ» - це частина нашоi сутi, яка вимагаi вiд нас розвитку почуття власноi особистостi й самовираження), це нашi сподiвання у досягненнях, це наше уявлення про успiх. Кожний iз нас знаходить унiкальнi способи самовираження, залежно вiд того, що ми цiнуiмо й чого ми сподiваiмось досягти для себе та суспiльства. Наприклад, деякi люди знаходять самовираження в своiй роботi або кар'iрi, iншi - в сiм'i, а ще iншi - в дiяльностi на благо iнших. Ми можемо визначити для себе те, що принесе задоволення нашому власному ВлегоВ».
Духовне здоров'я i стеблом i серцевиною квiтки, яку ми використовуiмо для iлюстрування життiво важливоi для всiх аспектiв нашого здоров'я. Це стосуiться сутi нашого буття (що ми цiнуiмо i що i для нас важливим). Це i стрижнем нашого iснування, це нас об'iднуi i даi можливiсть зрозумiти спiввiдношення цього аспекту здоров'я з iншими п'ятьма.
Отже, всi шiсть аспектiв здоров'я i важливими i взаiмопов'язаними. Ось чому i дуже важливим донести до свiдомостi учнiв поняття цiлiсностi концепцii здоров'я.
1.2
Градацii, критерii i групи здоров'я
Градацii здоров'я. Органiзм може бути абсолютно здоровим, здоровим задовiльно, практично здоровим i нездоровим. Абсолютно здоровим уважаiться той, у кого всi органи та системи розвиненi й функцiонують нормально, в них немаi нiяких хворобливих вiдхилень. Як показують всебiчнi дослiдження, абсолютно здорових людей мало - це добре тренованi, звичнi до навантаження люди: космонавти, пiлоти, геологи, окремi фiзкультурники й спортсмени. При детальнiй перевiрцi у багатьох людей виявляються вiдхилення, якi в звичних умовах ними не вiдчуваються. Поняття "практично здоровий" означаi такий стан органiзму, при якому окремi порушення не впливають на навчання, роботу й стан органiзму. Хворобливi явища виявляються у функцiональних i структурних змiнах в органах i системах органiв, спричиняють неприiмнi суб'iктивнi вiдчуття, бiль.
Об'iктивне й суб'iктивне здоров'я. Звичайно, суб'iктивне вiдчуття точно характеризуi стан органiзму, проте буваi i так, коли при об'iктивних порушеннях здоров'я нiяких суб'iктивних вiдчуттiв не виникаi, i навпаки, при суб'iктивних скаргах не виявляiться об'iктивних порушень. Прийнято також поняття "статичне здоров'я" - визначаiться в перiод спокою i "динамiчне здоров'я" - встановлюiться дослiдженням показникiв i пiсля дозованих та граничних навантажень.
Критерii здоров'я
Стан здоров'я визначаiться за допомогою чотирьох критерiiв: 1) наявнiсть або вiдсутнiсть хронiчних захворювань; 2) рiвень функцiонального стану основних систем органiзму; 3) стадii резистентностi органiзму (стiйкiсть, загартованiсть); 4) рiвень досягнутого фiзичного розвитку i ступiнь його гармонiйностi.
Вiдомо, що хвороба може виникати поступово й непомiтно. Людина практично здорова до того часу, поки вимоги, що ставляться до ii органiзму, не перевищують його пристосувальних можливостей. Тому здоров'ям називаiться стан людини, що характеризуi працездатнiсть та можливiсть пристосовуватися до мiнливих умов зовнiшнього середовища, впливати на фiзичнi та психiчнi функцii людини. Цi риси можуть зберiгатися в умовах дii сильних подразникiв. Чим краще пристосовуiться органiзм, тим ширший у нього дiапазон пристосувальних реакцiй, тим мiцнiше здоров'я.
Групи здоров'я
На основi критерiiв розрiзняють п'ять груп здоров'я:
Перша група - здоровi особи з нормальним психiчним i фiзичним розвитком (для заняття фiзкультурою належать до основноi медичноi групи).
Друга група - здоровi особи з деякими функцiональними й морфологiчними вiдхиленнями, що виникли внаслiдок перенесеноi хвороби, частих простудних захворювань (належать до пiдготовчоi медичноi групи).
Третя група - належать особи з хронiчними захворюваннями в станi компенсацii, з фiзичними вадами, якi виникли внаслiдок травм (спецiальна медична група).
Четверта група - особи з хронiчними хворобами в станi компенсацii, що значно обмежують ii пристосування до зовнiшнього середовища та знижують працездатнiсть.
П'ята група - хворi особи в станi декомпенсацii, iнвалiди першоi та другоi груп.
Бути здоровим - природне прагнення людини. Здорова й духовно розвинута людина гарна, бо вона себе добре почуваi, здатна одержувати задоволення вiд працi, маi змогу вдосконалюватися, досягаючи нев'янучоi молодостi духу й внутрiшньоi краси. У фiзичнiй культурi та медицинi цiлеспрямована свiдомiсть здавна розцiнюiться як могутнiй фактор, що сприяi мобiлiзацii захисних сил органiзму як у здоровоi, так i в хвороi людини. Свiдомими дiями хворий здатний захистити себе вiд "входу" у хворобу й запобiгти розвитку патологiчного вогнища збудження, що називаiться домiнантою. Принцип домiнанти - це загальний принцип дiяльностi центральноi нервовоi системи.
Основнi ознаки здоров'я: добрий фiзичний i розумовий розвиток, високий рiвень працездатностi й пристосування органiзму до зовнiшнього середовища, що постiйно змiнюiться.
До факторiв, якi змiцнюють здоров'я, необхiдно вiднести: рацiональне харчування, оптимальний руховий режим, загартування, позитивнi емоцii, перебування на свiжому повiтрi й сонцi, дотримування особистоi гiгiiни.
До чинникiв, якi негативно впливають на здоров'я (фактори ризику), належать: гiподинамiя, неправильне харчування, шкiдливi звички, нерацiональний спосiб життя.
Розподiл учнiв на медичнi групи
Учнiв, а також членiв первинних колективiв фiзкультури, якi навчаються за державними програмами фiзичного виховання, розподiляють на медичнi групи (основну, пiдготовчу, спецiальну) за станом здоров'я, фiзичним розвитком i рiвнем фiзичноi пiдготовленостi (табл. 1)
Таблиця 1. - Загальнi рекомендацii до фiзичного виховання школярiв
| Групи | Медична характеристика | Пропонованi заходи |
| Основна | Особи, якi не мають вiдхилень у станi здоров'я i фiзичному розвитку, а також особи з незначними вiдхиленнями у станi здоров'я, але з достатньою фiзичною пiдготовкою (до 80-93%). | Дозволяiться заняття за навчальними програмами фiзичного виховання в повному обсязi, складання нормативних вимог, заняття в однiй iз спортивних секцiй i участь у змаганнях з одного виду спорту. |
| Пiдготовча | Особи з незначними вiдхиленнями в станi здоров'я (переважно функцiонального характеру), що не мають достатньоi фiзичноi пiдготовки. До цiii групи можуть бути вiднесенi обстежуванi iз слабким фiзичним розвитком i такi, що ранiше не займалися фiзичною культурою (вiд 5 до 15%). | Призначенi в пiдготовчу групу, готовi до занять з навчальних програм фiзичного виховання у повному обсязi, але матерiал проходять поступово i складають контрольний норматив, iм рекомендуються заняття в секцiях загальноi фiзичноi пiдготовки (центри здоров'я). |
| Спецiальна | Належать особи, що мають у станi здоров'я i фiзичному розвитку певнi вiдхилення постiйного або тимчасового характеру, якi не i протипоказанням до навчання або виконання виробничоi роботи, але потребують заборони занять за програмою фiзичного виховання для навчальних закладiв. | Здоров'я дозволяi заняття за спецiальними програмами iндивiдуально чи в спецiальних групах пiд постiйним лiкарським наглядом. |
При правильнiй постановцi фiзичного виховання протягом одного навчального року значно полiпшуiться здоров'я, фiзичний розвиток i пiдготовленiсть, що даi можливiсть при повторному медичному оглядi перевести iз спецiальноi групи в пiдготовчу i з пiдготовчоi - в основну.
1.3
Визначення рiвня здоров'я
Рiвень здоров'я можна встановити в найбiльш простому й доступному для школи варiантi, показавши його кiлькiсно в умовних одиницях - балах або очках. При цьому враховуються такi показники: вiк, спiввiдношення мiж зростом i масою тiла, ступiнь отруiння органiзму палiнням, стан серцевоi дiяльностi в спокоi, ступенi вiдновлення серцевоi дiяльностi пiсля навантаження та активноi м'язовоi дiяльностi.
1. Оцiнка здоров'я за вiком. Кожний рiк життя даi один бал, наприклад, для пiдлiткiв 14 рокiв - 14 балiв.
2. Оцiнка здоров'я за спiввiдношенням зросту i маси тiла. Вимiрюють зрiст учня в сантиметрах (без взуття) i його масу в кiлограмах. У нормi маса тiла повинна вiдповiдати зросту мiнус 100. При цьому для оцiнки здоров'я за вiком додаiться 30 балiв. Наприклад, якщо зрiст дорiвнюi 150 см, а маса тiла буде нижчою норми (наприклад, 45 кг), то для оцiнки додаiться ще та кiлькiсть одиниць, на яку менша маса. Зайва маса оцiнюiться негативно, бо, як звичайно, виникаi внаслiдок ожирiння i становить додаткове навантаження на серце. Через це зайва кiлькiсть одиниць маси вiднiмаiться вiд 30 балiв. Наприклад, якщо учень важить 55 кг, то вiд 30 балiв вiднiмають 5 i до 14 додають 25 одиниць.
3. Погiршення стану здоров'я у курцiв. Науково доведено, що тютюновий дим отруюi органiзм, завдаi шкоди здоров'ю. Через те для тих, хто курить, вiд одержаноi суми балiв здоров'я за вiком i масою тiла вiднiмають стiльки одиниць, скiльки цигарок викурюi дослiджуваний за добу.
Ще бiльше знижуiться здоров'я при систематичному вживаннi алкоголю.
4. Оцiнка статичного здоров'я. Визначаiться за частотою пульсу за 1 хв. у спокоi. Якщо пульс у станi спокою нижче 90, то за кожний удар до оцiнки здоров'я додаiться одиниця. Якщо ж частота пульсу вища 90, то за кожний удар знижуiться оцiнка на одиницю.
5. Оцiнка динамiчного здоров'я. Здiйснюiться за швидкiстю вiдновлення пульсу пiсля дозованого навантаження. Дослiджуiться частота пульсу в спокоi i пiсля двохвилинного бiгу на мiсцi. Через чотири хвилини повторюiться пiдрахунок частоти пульсу. Якщо вона дорiвнюi вихiднiй, то до загальноi суми балiв додаiться ще 30 одиниць. Якщо пульс залишаiться вищим, нiж у станi спокою, то вiд 30 вiднiмаiться вiдповiдна кiлькiсть одиниць i залишок додаiться до загальноi суми балiв.
6. Оцiнка здоров'я за активною м'язовою дiяльнiстю. Якщо дослiджуваний щоденно бiгаi протягом 12 хвилин, плаваi або iздить на велосипедi, робить ранкову гiмнастику, то йому до 47 загальноi суми балiв додаiться 30 балiв. Якщо дослiджуваний не виконуi нiяких вправ, то вiд загальноi суми вiднiмаiться 10 балiв. Якщо дослiджуваний веде малорухомий спосiб життя, то вiднiмаiться 20 балiв.
Пiсля складання показникiв рiвень здоров'я оцiнюiться так:
менше 20 балiв - незадовiльний, загрозливий стан;
вiд 21 до 60 балiв - вiдносно задовiльний стан, "практично здоровий";
вiд 61 до 100 балiв - здоров'я середнi i вище середнього;
101 i бiльше - добре здоров'я.
Висновок. Для полiпшення стану свого здоров'я слiд упорядкувати режим дня i харчування, обов'язково робити ранкову гiмнастику, бiгати, вести рухливий спосiб життя, загартовувати свiй органiзм.
РЖндивiдуальний тест здоров'я
1. Ранкова гiгiiнiчна гiмнастика: щоденно - 0 балiв, 2-3 рази на тиждень - 5 балiв, не виконуiте - 10 балiв.
2. Засоби доставки на роботу (школу); загальним (мiським) транспортом 5 балiв, машиною -10 балiв, велосипедом, пiшки - 0 балiв.
3. Маса тiла: нормальна - 0 балiв, а за кожнi 5 кг вища норми - 5 балiв.
4. Курiння: некурець - 0 балiв, 10 сигарет за добу - 5 балiв, пачка - 10 балiв.
5. Споживання з харчами: багато масла, яiць, вершкiв - 5 балiв; багато цукру, вуглеводiв - 5 балiв; ситна вечеря пiсля 19-i години - 5 балiв.
6. Виробнича гiмнастика: виконуiться - 0 балiв, без неi - 5 балiв.
7. Регулярнiсть занять фiзичними вправами: не проводяться - 10 балiв, 2-4 години на тиждень - 5 балiв, 8 годин на тиждень - 0 балiв.
8. Споживання алкогольних напоiв: без них - 0 балiв, пiд час свят - 5 балiв, систематично - 10 балiв [15].
Пiсля пiдрахунку балiв слiд встановити, що сума балiв менша 25 характеризуi здоровий спосiб життя, 26-50 балiв - спосiб життя достатньо здоровий, але при умовi корекцii звичок його можна значно полiпшити, 51 i бiльше - неправильний спосiб життя, який потребуi негайно змiнити звички.
Самооцiнка здоров'я за Войтенко В. П.
1. Чи турбуi Вас головний бiль?
2. Чи можна сказати, що Ви легко прокидаiтесь вiд будь-якого шуму?
3. Чи турбуi Вас бiль в областi серця?
4. Чи вважаiте Ви, що у Вас погiршився зiр?
5. Чи вважаiте Ви, що у Вас погiршився слух?
6. Чи намагаiтесь Ви вживати кип'ячену воду?
7. Чи турбуi Вас бiль в суглобах?
8. Чи впливаi на Ваше почуття змiна погоди?
9. Чи бувають у Вас перiоди, коли пiсля хвилювання важко заснути?
10. Чи турбуi Вас затвердiння?
11 . Чи турбуi вас бiль в областi печiнки?
12. Чи буваi у Вас головокружiння?
13. Чи стало Вам важче зосереджуватись, нiж ранiше?
14. Чи турбуi Вас послаблення пам'ятi
15. Чи вiдчуваiте Ви у рiзних областях тiла поколювання, Влповзання мурашокВ»?
16. Чи турбуi Вас дзвiн, або шум у вухах?
17. Чи тримаiте Ви для себе в домашнiй аптечцi один з наступних медикаментiв: нiтроглiцерин, валiдол, серцевi краплi?
18. Чи бувають у Вас на ногах набряки?
19. Чи доводиться Вам вiдмовлятись вiд деяких страв?
20. Чи буваi у вас задуха при швидкiй ходьбi?
21 . Чи турбуi Вас бiль в областi попереку?
22. Чи вживаiте у лiкувальних цiлях мiнеральну воду?
23. Чи можна сказати, що Вам не важко у певнiй ситуацii розплакатись?
24. Чи ходите Ви на пляж?
25. Чи бувають у Вас перiоди, коли Ви вiдчуваiте себе радiсно, збудженим, щасливим?
26. Чи вважаiте Ви, що зараз Ви також працездатнi, як i ранiше?
27. Як Ви оцiнюiте стан свого здоров'я?
На першi 26 запитань передбаченi вiдповiдi "так" або "нi", на останнi ВлдобрийВ», "задовiльний", "поганий", "дуже поганий". За першi 26 запитань респонденту нараховуiться 1 очко за кожну несприятливу вiдповiдь, якщо вiдповiдь сприятлива - 0 очок. Пiдсумкова цифра даi кiлькiсну самооцiнку здоров'я. Вiдповiдно, якщо на останнi питання дана вiдповiдь "поганий", "дуже поганий", додаiться 1 очко. Оцiнка анкети визначаiться за таблицею 2.
Таблиця 2 - Оцiнка анкети на предмет здоров'я
| Кiлькiсть очок | Стан здоров'я |
0-3 4-7 8-13 14-20 21-27 | РЖдеальний Добрий Посереднiй Задовiльний Незадовiльний |
1.4 Самооцiнка культури здоров'я
РЖ.РЖ. Брехман, засновник вчення, про здоров'я, стверджував, що збереження i вiдтворення здоров'я перебуваi в прямiй залежностi вiд рiвня культури i мiрою усвiдомлення й оволодiння людиною свого ставлення до самоi себе, до суспiльства, до природи, степенем i рiвнем саморегуляцii ii власних потреб. Культура - це особливого роду ставлення до себе, яке властиве тiльки людинi. Тому необхiдно прагнути, щоб учнi набули такi знання й навички щодо здоров'я, якi б стали буттям, увiйшли в культуру, в побут, у звички.
Рiвень культури здоров'я учнiв старшого шкiльного вiку можна визначити за допомогою розробленоi нами методики самооцiнки.
Таблиця 3 - Самооцiнка культури здоров'я пiдлiткiв
| №№ п/п | Показники (критерii) культури здоров'я | Самооцiнка за п'ятибальною системою | Оцiнка батькiв | |
| 1 | Духовний розвиток | |||
| 2 | Культура мови | |||
| 3 | Культура спiлкування | |||
| 4 | Культура поведiнки | |||
| 5 | Культура емоцiй | |||
| 6 | Розумовий розвиток | |||
| 7 | Розумова працездатнiсть | |||
| 8 | Культура розумовоi працi | |||
| 9 | Культура фiзичноi працi | |||
| 10 | Художньо-естетична культура | |||
| 11 | Культура тiла | |||
| 12 | Фiзичний розвиток | |||
| 13 | Фiзична працездатнiсть | |||
| 14 | Фiзична культура | |||
| 15 | Гiгiiнiчна культура | |||
| 16 | Екологiчна культура "' | |||
| 17 | Постава | |||
| 18 | Психофункцiональний стан | |||
| 19 | Культура статевих стосункiв | |||
| 20 | Побутова культура | |||
| 21 | Самоконтроль у режимi дня | |||
| 22 | Руховий режим | |||
| 23 | Режим дня | |||
| 24 | Рацiональне харчування | |||
| 25 | Маса тiла | |||
| 26 | Гiгiiна зору | |||
| 27 | Здоровий спосiб життя | |||
| 28 | Аутогенне тренування | |||
| 29 | Культура зовнiшностi й ходи | |||
| 30 | Родовiд за батькiвською та материнською лiнiями | |||
| 31 | Шкiдливi звички | |||
| 32 | Загартування | |||
| 33 | Активний вiдпочинок | |||
| 34 | Ранкова гiгiiнiчна гiмнастика | |||
| 35 | Статичне здоров'я за пульсом у станi спокою | |||
| 36 | Динамiчне здоров'я (швидкiсть вiдновлення пульсу пiсля дозованого навантаження) | |||
| 37 | Тривалiсть затримки дихання на вдиху (е) | |||
| 38 | Вiдвiдування лазнi | |||
| 39 | Артерiальний тиск (мм. рт. ст.) | |||
| 40 | Правова культура | |||
Максимальна сума всiх показникiв - 200 балiв. За сумою набраних балiв визначаiться рiвень (високий, вищий за середнiй, середнiй, нижчий за середнiй, низький) та оцiнка культури здоров'я (вiдмiнно, добре, задовiльно, незадовiльно, погано).
Таблиця 4 - Шкала оцiнки рiвня культури здоров'я
| Бали | Рiвень культури здоров'я | Оцiнка рiвня культури здоров'я |
| 200-161 | Високий | Вiдмiнно |
| 160-121 | Вищий за середнiй | Добре |
| 120-81 | Середнiй | Задовiльно |
| 80-41 | Нижчий за середнiй | Незадовiльно |
| 40-1 | Низький | Погано |
Примiтки:
1. Дитина до 6 рокiв набуваi близько 20% знань культури здоров'я. Решта - 80 % - набуваються в шкiльному вiцi.
2. Для багаторазового користування таблицею оцiнки виставляйте олiвцем.
3. Наполегливо набувайте знань i пiдвищуйте оцiнки, щоденно вдосконалюйте себе. Перевiряйте своi досягнення не менше 2-3 разiв на рiк.
4. На основi загальноi оцiнки культури здоров'я складайте програму збереження i змiцнення здоров'я.
Творчо органiзований навчально-виховний процес школярiв дозволяi ефективно розв'язувати проблеми морального й духовного вдосконалення, формувати культуру здоров'я. Одним з провiдних принципiв органiзацii всебiчного виховання повинен стати принцип "У здоровому тiлi - здоровий дух". Цей принцип даi можливiсть сформувати в учнiв образ фiзичного "Я", який мiстить усвiдомлення тiла, зовнiшностi, фiзичних якостей, особливостей статi. З морально-духовного погляду далеко не байдуже, яким за змiстом буде цей образ, оскiльки вiн виступаi специфiчним посередником. Особливо даiться взнаки образ фiзичного "Я" в пiдлiтковому та юнацькому вiцi [4].
Знання про культуру здоров'я дозволять учням сформувати свiдоме дбайливе ставлення до здоров'я як найвищоi цiнностi, умови реалiзацii духовного, творчого й фiзичного потенцiалу, ефективного методу профiлактики iнфекцiйним, соматичним та психiчним захворюванням, травматизму та нещасним випадкам, здобути вмiння першоi медичноi само- i взаiмодопомоги, навчитися застосовувати засоби нетрадицiйноi медицини, самооздоровлення та запобiгання несприятливим чинникам довкiлля.
Формування культури здоров'я - це надiйний i доступний шлях самореалiзацii, розвитку свого потенцiалу, запрограмованого бiологiчного й вдосконаленого соцiально, шлях керування своiм здоров'ям i пiдтримання його на творчо-активному рiвнi. Глибокi знання й звички щодо культури здоров'я навчають учнiв цiнувати життя як власне, так i людей, що оточують.
1.5.
Визначення фiзичного стану людини
Останнiм часом у науковiй i методичнiй лiтературi поряд з термiном "фiзична працездатнiсть" використовуiться поняття "фiзичний стан".
Поняття "фiзичний стан" рiвнозначне термiну "фiзична кондицiя". Пiд "фiзичним станом" ряд дослiдникiв нерiдко розумii готовнiсть людини до виконання фiзичноi роботи, фiзичних занять фiзичними вправами i спортом. Поняття "фiзичний стан" окремими авторами порiвнюiться з рiвнем розвитку максимальних аеробних можливостей людини, якi i кiлькiсною мiрою динамiчного здоров'я.
Визначити фiзичний стан у звичайних умовах можна за допомогою таких методiв [15].
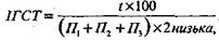
1. Гарвардський степ-тест. Тест передбачаi сходження (пiднiмання) на сходинку: для чоловiкiв висота 50 см, для жiнок - 43 см при частотi 30 за 1 хв. (темп метронома встановлюiться на 120 уд./хв. тривалiстю 5 хв.). Кожне пiднiмання складаiться з чотирьох крокiв. Пiсля закiнчення роботи в обстежуваного у положеннi сидячи пiдраховуiться ЧСС у першi 30 с на 2-й, 3-й i 4-й хвилинi вiдновлення. Обчислення iндексу Гарвардського степ-тесту за формулою:
(1)
де t - час сходження в с;
П1, П2, П3, - частота пульсу на 2-й, 3-й i 4-й хвилинах вiдновного перiоду.
Фiзична працездатнiсть за iндексом Гарвардського степ-тесту оцiнюiться за шкалою:
| РЖГСТ | Оцiнка |
| 55 | низька |
| 55-56 | нижча середньоi |
| 65-79 | середня |
| 80-89 | добра |
| 90 | вiдмiнна |
Вместе с этим смотрят:
РЖсторiя виникнення та розвитку масажу
Азотные и кислородные ванны, нафталановая нефть
Акушерська операцiя - накладання акушерських щипцiв