Законы организации второго уровня
ЗАКОНЫ ОРГАНИЗАЦИИ ВТОРОГО УРОВНЯ
Закон информированности тАУ упорядоченности
Информационная среда в виду ее важности является объектом управления наряду с персоналом, финансами, производством и др. ИСУ подчиняется действию закона информированности-упорядоченности. Под упорядоченностью понимается гармоничное развитие всех элементов организации: системы управления, персонала, подразделений, экономики и т.д., а также наличие между элементами установленного взаимодействия (взаимовлияния) тАФ коэффициентов пропорциональности.
Формулировка закона информированности-упорядочности: чем большей информацией располагает организация о внутренней и внешней среде, тем она имеет большую вероятность устойчивого функционирования (самосохранения).
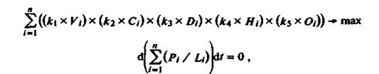
Математическая интерпретация закона имеет следующий вид:

где k1,k2,k3,k4,k5 - коэффициенты пропорциональности влияния уровней характеристик информации друг на друга.
Vi, Сi, Di, Hi,Oi - соответственно уровни характеристик информации: объем, ценность, достоверность, насыщенность и полнота в области i (финансы, экономика, персонал и т.д.).
Pj - ресурс компании в области i ;
Li - ресурсы, направленные на ликвидацию компании в области i.
Первая формула соотношения суммирует информационные массивы и обязывает руководителей собирать максимальное количество информации в каждом направлении деятельности.
По второй формуле вычисляется производная по времени от отношения ресурсов компании к ресурсам, направленным на ее ликвидацию. Она обязывает руководителей ограничить сбор такой информации разумными рамками самосохранения. Приведенное соотношение регулирует выбор уровней характеристик информации и ее количество.
Закон может действовать в трех вариантах.
1) руководитель и подчиненные ничего не знают о законе информированности-упорядоченности.
Персонал будет стараться собирать как можно больше информации о конкурентах, рынках сбыта и др., не задумываясь о ее упорядоченности и объеме. На этот процесс может уйти много финансовых ресурсов, кроме того, компании могут подбросить ложную информацию, которая несомненно будет принята. В результате бессистемной, но естественной гонки за информацией компания может понести серьезные убытки.
2) руководитель знает о законе, а его подчиненные нет.
Персонал будет стараться принести руководителю как можно больше информации о конкурентах, рынках сбыта и др. Роль руководителя будет заключаться в просмотре всей информации и отборе существенной. Это весьма трудная работа, и руководитель может что-то важное пропустить. Если эта пропущенная информация приведет к отрицательным результатам, то персонал во всех грехах обвинит руководителя. Таким образом, этот вариант самый тяжелый для руководителя. Лучше не знать всем, чем знать одному.
3) руководитель и подчиненные знают о законе информированности-упорядоченности.
Результат действия законабудет самым благоприятным. Все работники в рамках своих полномочий и ответственности собирают, обрабатывают информацию, делают выводы и сообщают об этом заинтересованному специалисту компании. При этом варианте ВлтуфтаВ» (пустая информация) или дезинформация с большой вероятностью будет опущена для дальнейшей аналитической работы.
Наличие устойчивого канала информации увеличивает вероятность поступления нужной для работника информации и при этом неопределенность ее уменьшается.
Закон требует от руководителей создания и развития источников информации, организации повышения квалификации своих сотрудников, внедрения передовых информационных технологий, в том числе автоматизированных рабочих мест.
Следствие закона: информированность работника после достижения ею критического уровня переходит в его компетентность.
Руководитель, используя характеристики информации (объем, ценность, насыщенность и достоверность), имеет возможность создать первоклассный информационный ресурс своей организации.
Закон единства анализа и синтеза
Суть анализа (декомпозиции) состоит в разделении целого на части, в представлении сложного в виде простых составляющих. Суть синтеза (агрегирования) тАФ в соединении (мысленном или реальном) простых составляющих объекта в единое целое.
В целом люди различаются по доминированию аналитического или синтетического склада мышления.
Анализ (разделение) некоторой системы может идти по трем путям:
тАв выделенные части независимы друг от друга и сохраняют при этом все свои свойства ;
тАв выделенные части зависимы друг от друга и при разделении теряют ряд неосновных свойств;
тАв выделенные части зависимы друг от друга и при разделении теряют основные свойства.
Анализ можно вести на трех уровнях:
тАв государственном тАФ для совершенствования семейного законодательства, в том числе внедрение контрактной системы; осуществление протекционизма при приеме на работу и продвижение персонала из благополучных семей;
тАв общественном тАФ для создания клубов семьи, формирования общественного мнения о важности семьи;
тАв семейном тАФ для проведения просветительской, воспитательной, примиренческой работы с членами семьи.
Синтез (объединение) осуществляется на базе взаимной необходимости и взаимодействия. Получение при объединении элементов нового целого работоспособного образования, потенциал которого выше суммы потенциалов объединенных элементов, носит название эмерджентность. Эффект синергии является составной частью эмерджентности. Эмерджентность больше относится к явлениям (новым товариществам, компаниям, объединениям, союзам и т.д.), а синергия тАФ к процессам, происходящим в элементах организаций.
Процесс объединения проводится в два этапа:
тАв моделирование нового целого либо мысленное, либо с помощью пакетов прикладных программ на компьютере
тАв натурная реализация.
Процесс анализа и синтеза в природе идет постоянно и циклично (рис.1).

Рис.1. Бесконечный цикл анализа и синтеза
Формулировка закона единства: каждая материальная система: живой организм, социальная организация (предприятие, учебное заведение и др.) стремится настроиться на наиболее экономный режим функционирования в результате постоянного изменения своей структуры или функций. Эти изменения идут в следующем цикле:

Скорость и результат преобразования зависят от диапазона изменения внешней или внутренней среды.
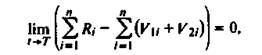
С учетом обозначений в соотношении в аналитическом виде данный закон запишется:

где t тАФ время преобразования, Т тАФ оптимальное время преобразования; Ri тАФ потенциал (ресурс) организации в области i (экономика, политика, финансы и т.д.), способствующий ее развитию; V1i тАФ ресурс внешнего, а V2i тАФ ресурс внутреннего воздействия, стремящегося ликвидировать организацию или нанести ей ощутимый вред.
Преобразования могут носить как позитивный, так и негативный характер в зависимости от изменения внешней или внутренней среды и времени преобразования (рис.2). Кривые 1 и 2 представляют характер преобразования при разных сочетаниях ресурсов, Т1 и T2 тАФ оптимальное время преобразования.

Рис.2. Влияние времени преобразования на эффективность деятельности организации
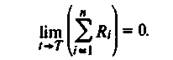
Следствие 1. При отсутствии внешних возмущающих воздействий соотношение приводится к следующему виду:

В результате все созидательные ресурсы организации тратятся на внутренние потребности: компенсацию ущерба,. страхование самих ресурсов и др. Это условие перерождения хозяйственной организации в общественную.
Напомним, что хозяйственная организация тАФ это социальная система, выпускающая общественно необходимую продукцию во внешнюю среду, а общественная тАФ преимущественно во внутреннюю (для своего внутреннего существования).
Следствие 2. При отсутствии внешних и внутренних возмущающих воздействий соотношение приводится к следующему виду:

В результате все созидательные ресурсы организации оказываются никому не нужны. Это означает, что организация идет к полному истощению ресурсов, а человек тАФ к деградации личности. Примером может служить ситуация с выпускниками детских домов. Эти дети находятся в обособленных более или менее обеспеченных условиях: их кормят, одевают, учат. Заботливые педагоги пытаются свести Влна нетВ» влияние внутренней и внешней среды на своих воспитанников. Это приводит к истощению их потенциальных ресурсов для противостояния жизненным трудностям в начале самостоятельной жизни, и многие ее не выдерживают.
Из этого следствия вытекает необычный вывод о том, что для организации и человека необходимы внешние потрясения и внутренние противоречия, конечно, не доводящие до патологических проблем. Что касается человека, то наличие внешних и внутренних возмущающих воздействий удлиняет его жизнь за счет мобилизации невостребованных ранее жизненных сил. Так, скучная жизнь Обломова и других патриархальных помещиков царской России приводила к их быстрому старению и самоустранению от дел.
Следствие 3. При отсутствии внутренних возмущающих воздействий соотношение приводится к следующему виду:

В результате все созидательные ресурсы организации тратятся на внешние потребности: компенсацию разрушительных действий внешних сил, на создание своего лобби в различных инстанциях .и др. Это означает, что в организации нет внутренних проблем или их не замечают, царит полное согласие по всем управленческим и производственным вопросам. Однако полное согласие тАФ это условие неэффективной работы организации и возможной ее ликвидации или банкротства.
Для выполнения данного закона руководитель должен придерживаться таких принципов, как:
тАв составление и реализация программы постоянного совершенствования организации, ее элементов и подразделений;
тАв привлечение к этой работе лучших специалистов или консультантов;
тАв проведение маркетинга внешней среды;
тАв сокращение затрат на производство продукции;
тАв уменьшение времени нахождения запасов и промежуточной продукции на складах;
тАв использование современной информационной технологии управления.
Закон единства анализа и синтеза имеет свои существенные особенности, которые заключаются в том, что закон:
тАв не выражает специфики исторически определенных от ношений, а характеризует всеобщие связи и отношения в социальной среде;
тАв выступает в роли катализатора общественного прогресса;
тАв играет возрастающую роль с развитием общества.
Закон единства анализа и синтеза относится к объективным законам организации. Поэтому в практике его реализации имеются три варианта.
1) руководитель и подчиненные ничего не знают о законе единства анализа и синтеза.
В любой организации постоянно идут формальные и неформальные преобразования на уровне удобства работы: перераспределяются функции, расширяется или упрощается структура компании, принимается или увольняется персонал и др. Такие преобразования называют ВлтекучкойВ». Они могут идти в ногу со временем, тогда это процесс неявной, но эффективной реализации закона. В большинстве случаев стихийные преобразования могут опережать потребности внутренней или внешней среды компании или отставать от них. Любое несоответствие, достигшее критических значений, начинает проявлять себя в увеличении проблем компании и даже социума.
Стихийное действие закона единства анализа и синтеза в области преобразования структуры организации, стратегии производства может привести к проблемам конкурентоспособности, прибыльности и т.д.
При обнаружении таких проблем уже созревшими у руководителей не будет достаточно времени для своевременного проведения реструктуризации или диверсификации компании. Поэтому действие закона в таких ситуациях всегда приводит к быстрому уменьшению созидательных ресурсов, а деятельность персонала компании чаще всего носит спонтанный и даже криминальный характер
2) руководитель знает о законе, а его подчиненные нет.
В статическом режиме, когда наблюдается соответствие неявных преобразований в организации требованиям внешней и внутренней среды, руководитель оценивает только полноту такого соответствия. Персонал компании при этом вообще не приветствует никаких дополнительных преобразований на будущее. При нарастании несоответствий руководитель должен убедить персонал в необходимости проводить преобразования. Это весьма трудная работа и руководитель может что-то важное пропустить, так как персонал помогать ему конструктивно не будет. В случае наступления больших несоответствий персонал примет живейшее участие в данном процессе, но будет уже поздно. Таким образом, это очень тяжелый вариант для руководителя.
3) руководитель и подчиненные знают о законе единства анализа и синтеза.
Результат действия закона будет самым благоприятным. Весь персонал в рамках своих полномочий и ответственности вносит свой вклад в позитивное действие закона. Составляются планы преобразования ключевых структур и процессов исходя из поступающей информации или результатов моделирования. При этом руководитель должен создавать и развивать источники информации, организовывать повышение квалификации своих сотрудников, внедрять передовые информационные технологий.
Методика управленческого анализа и синтеза организаций
Практический подход к анализу и синтезу организаций может быть реализован с помощью метода постепенного приближения, который включает четыре уровня.
Первый уровень: предварительный анализ с позиций стороннего наблюдателя. Анализ обычно проводят консультанты или специалисты родственных организаций.
Требуемые документы:
тАв уставные документы (устав, договор);
тАв баланс, справка и отчет по ф.2;
тАв картотека основных производственных и непроизводственных фондов;
тАв бизнес-план, учетная политика предприятия;
тАв план размещения основных подразделений.
Результирующий документ тАФ основные рекомендации системного характера.
Второй уровень: проведение мозговой атаки на совещании основных специалистов организации.
Требуемые документы:
тАв перечень основных нерешенных вопросов;
тАв предварительные ответы каждого специалиста на пути решения перечня основных вопросов.
Результирующие документы тАФ перечень согласованных с консультантом ответов на поставленный набор нерешенных вопросов.
Третий уровень: создание группы развития предприятия и формирование стратегии развития организации.
Требуемые документы:
тАв распоряжение руководителя о создании группы развития организации;
тАв план проведения обучения группы развития;
тАв основные отчетные документы организации.
Результирующие документы тАФ основные мероприятия по совершенствованию экономической, финансовой и технологической политики организации.
Четвертый уровень: постоянная работа группы развития в рамках нового структурного подразделения организации.
Требуемые документы:
тАв текущие отчетные документы деятельности организации;
тАв бизнес-план;
тАв результаты маркетинговых исследований организации.
Результирующие документы тАФ скорректированный бизнес-план, рекомендации по совершенствованию системы производства и управления.
Закон композиции и пропорциональности
ГармониятАФ это естественный эволюционный процесс, происходящий на всех уровнях мировой цивилизации: государств, отраслей, организаций, семьи и даже одного человека.
Гармонию следует рассматривать только субъективно (гармония для кого, для чего) (рис. 3.).

Рис. 3.Объект и цели гармонизации
Гармонизация элементов организации для получения прибыли существенно отличается от гармонизации элементов для комфортной работы персонала и т.д. Если конкретная цель не поставлена, то гармонизация все равно идет для какой-то неформальной цели. Гармонизацию остановить нельзя, а направить можно.
Гармония имеет системное начало, она объективна и не зависит от воли и желания человека, который может либо помочь ей, либо испортить естественный ее ход.
Закон композиции и пропорциональности (гармонии) формулируется так: каждая материальная система стремится сохранить в своей структуре все необходимые элементы (композицию), находящиеся в заданной соотносительности или заданном подчинении (пропорции).
Рассмотрим этот закон на двух уровнях:
тАв на уровне организации,
тАв на уровне внешней среды, в которой организация является одним из элементов. В аналитическом виде данный закон запишется:

где Ri тАФ ресурс системы в области i (экономика, политика, финансы),
Ki тАФ коэффициент наилучшей соотносительности или подчинения в наборе элементов.
Для существования каждой системы должно обеспечиваться:
тАв наличие (ненулевые значения) необходимых ресурсов (Ri) и коммуникаций между ними (Ki);
тАв задействованные ресурсы Ki x Ri, должны давать наилучший результат.
Данные соотношения являются условиями достижения гармонии (сбалансированности).
Закон композиции и пропорциональности относится к объективным законам организации. Поэтому в практике его реализации имеются три варианта.
1) руководитель и подчиненные ничего не знают о законе композиции и пропорциональности.
Любая стихийность приводит к самонастройке элементов: выполняемых функций, отношений между персоналом, набору целей и задач. Так, при функциональной подготовке организации ряд обязательных базовых функций не включается в функциональную структуру, например, управление технической безопасностью, управление маркетингом, стратегическое управление, представительная деятельность. Однако дальнейшая практическая деятельность организации потребует их выполнения (условие композиции). И, как правило, данные функции поручают работникам смежных подразделений, поверхностно их знающих, т. е. объем и качество их исполнения (пропорциональность) не будут оптимальными. Таким образом, методом проб и ошибок организация постепенно придет к нужному набору функций и приемлемой пропорциональности их выполнения.
2) руководитель знает о законе, а его подчиненные нет.
В своей деятельности руководитель, знающий данный закон, будет основываться на наборе целей организации, которые и определят направление гармонизации. Однако, как показывает практика, основная масса персонала не знакома с целями организации или не поддерживает все их. Поэтому конкретные действия руководителя по формированию требуемого набора элементов и их пропорциональности не всегда будут осознанно поддержаны. Эффективность работы организации во многом будет определяться профессионализмом руководителя и его способностями по убеждению подчиненных в правильности реализуемых мероприятий.
3) руководитель и подчиненные знают о законе композиции и пропорциональности и могут им управлять.
Результат действия закона будет проявляться в постоянном совершенствовании системы производства и управления, создании команды единомышленников, существенном снижении издержек производства. Все это, естественно, приведет к снижению себестоимости производства и увеличению конкурентоспособности организации. При этом весь персонал осознанно в рамках своих полномочий и ответственности вносит свой вклад в позитивное действие закона.
Принципы закона
Сознательная реализация закона композиции и пропорциональности в организации требует обязательного использования набора принципов планирования, координации и полноты.
Принцип планирования: каждая организация должна иметь обоснованный план деятельности и развития.
Различают стратегическое, тактическое и оперативное планирование.
Стратегическое охватывает диапазон 5тАФ10 и более лет, тактическое тАФ 2тАФ4 года и оперативное тАФ в течение одного года. Планирование связано с выработкой целей организации, согласованных с целями развития внутренней и внешней среды (работника, рынка, общества). Каждая цель представляется в виде набора конкретных задач с механизмом выполнения (рис. 4).

Рис. 4. Схема взаимодействия целей и задач
Принцип координации: каждая организация должна следить за стратегическими, тактическими и оперативными изменениями и вносить соответствующие коррективы в механизм выполнения.
Принцип полноты: каждая организация должна выполнять весь набор функций производства и управления на своем участке деятельности либо своими силами, либо с помощью привлеченных организаций.
Специфические законы социальной организации
Основной элемент социальной организации тАФ человек. Между людьми в организации возникают многообразные отношения, строящиеся на различных уровнях симпатии, престижа и лидерства. Большая часть этих отношений стандартизована в виде кодексов, правил и норм. Однако многие нюансы организационных отношений не отражены в нормативных документах либо в силу своей новизны, либо в силу сложности, либо в силу нецелесообразности. Формализация не в состоянии полностью охватить деятельность человека в организации. Человек тАУ это центр организаци.
Соотношение формализованных коммуникаций и неформальных отношений человека с другими людьми в организациях должно заранее определяться руководителем. Порядок служебных отношений определяется инструкциями, уставами, положениями о внутреннем распорядке, установившимися порядками, подписанными контрактами, договоренностями и регламентами. Порядок неформальных отношений определяется чувствами людей друг к другу, симпатиями и антипатиями, общими интересами и потребностями, договоренностями и традициями.
Среди элементов, влияющих на формализованные коммуникации и неформальные отношения, можно выделить общее и особенное. Общее в отношениях людей в организации можно прогнозировать и на этой базе создавать различные виды нормативной документации. Особенное тАФ это колорит отношений, который в отдельных случаях может иметь решающее значение в деятельности организации. Учесть общее в организации может каждый руководитель по материалам справочников, учебников и т.д., а особенное тАФ может лишь профессиональный руководитель с большим опытом работы и хорошей управленческой подготовкой.
Сочетание общего и особенного в отношениях людей существенно влияет на общее и особенное в деятельности самой социальной организации, в ее реакции на действие того или иного закона.
Принципы оптимизации деятельности людей
Принципы могут иметь разную степень конкретизации и детализации. В теории организации принципы имеют две направленности:
тАв принципы организации организаций,
тАв принципы организации людей.
Принципы организации организаций
тАв Для каждой организации существует наилучшая и только ей присущая организационная структура.
тАв Для каждой организации существует минимальный кпд (коэффициент полезного действия) или эффективность, при которой организация должна быть ликвидирована или ВлзамороженаВ».
тАв Для каждой организации развитие социальной сферы увеличивает производительность труда как за счет повышения эмоционального уровня работника, так и за счет большего изобретательства (генерации идей).
Принципы организации людей
тАв Для каждого человека существует оптимальный объем загрузки работой.
тАв Процессы восприятия и запоминания необходимо приближать к процессу мышления.
тАв Для эффективного осмысления нового необходимо иметь больше знаний по данной тематике.
тАв Любой человек видит в тексте или слышит в беседе ту информацию, на которую он настроился и к которой приготовился.
тАв Первая информация о каком-либо событии является более устойчивой, чем вторичная.
тАв Доходчивость сообщения будет выше при использовании нескольких форм подачи одной и той же информации.
Литература
1. Брэддик У. Менеджмент в организации.- М.: Инфра-М, 2007.- 344 с.
2. Виноградський М.Д., Виноградська А.М., Шканова О.М. Менеджмент в органiзацii: навч. посiбник.- К.: ВлКондорВ», 2008.- 654 с.
3. Лафта Дж. К. Эффективность менеджмента организации. - М.: Русская деловая литература, 2007.- 320 с.
4. Менеджмент органiзацiй: пiдручник/ за заг. ред. Л.РЖ. Федуловоi.- К.: Либiдь, 2008.- 448 с.
5. Нiмцов В.Д., Довгань Л.РД., Сiнiок Г.Ф. Менеджмент органiзацiй: навч. посiбник.- К.: ВлУВПК ЕксОбВ», 2007.- 392 с.
Вместе с этим смотрят:
Cамоорганизация как процесс саморазвития
РЖнновацiйнi процеси на пiдприiмствi
РЖнформацiйний менеджмент як ефективна технологiя органiзацii управлiнськоi дiяльностi
Автоматизация работы отдела планирования компании ООО "Кока-Кола ЭйчБиСи Евразия"