Построение сетевого графика и определение резервов выполнения работы
1. Правила построения классических сетевых графиков
2. Построение сетевого графика
3. Анализ сетевой модели
3.1 Взаимосвязь работ и построение таблицы исходных данных
3.2 Определение числа путей
3.3 Определение сроков окончания проекта и продолжительности критического пути
3.4 Определение свободных резервов времени
3.5 Графическое изображение возможностей резерва
Заключение
Одной из основных проблем управления большими системами является проблема управления комплексами взаимосвязанных работ, которая получила название исследование операций. Известны 2 метода сетевого планирования: CPM тАУ метод критического пути при фиксированном числе работ для составления расписания, и PERT тАУ метод оценки и пересмотра программ.
Основным плановым документом в системе сетевого планирования и управления является сетевой график, представляющий собой информационно-динамическую модель, в которой изображаются взаимосвязи и результаты всех работ, необходимых для достижения конечной цели разработки. Другими словами, сетевая модель тАУ конечный ориентированный граф, в котором одна вершина не имеет входных дуг (начальных вершин) и одна вершина не имеет исходных дуг (конечных вершин). Граф состоит из двух элементов: работа и событие. События являются результатами произведенных работ. Событие, не имеющее предшествующих работ, называется исходным. Событие, не имеющее последующих работ, называется завершающим. Любая последовательность работ в сетевом графике, которой конечное событие одной работы совпадает с начальным событием следующей за ней работы, называется путем. Всякая работа сетевого графика кодируется номерами ее начального (i) и конечного (j) событий.
В данной курсовой работе (часть 1) необходимо построить топологию сетевого графика и закодировать работы, согласно приведенным в методическом пособии, общим правилам построения. Результатом выполнения 1 части будет построение сети и краткий ее анализ. Результатом выполнения 2 части будет выполнение краткого анализа в представленной сетевой модели основных ее характеристик.
1. Правила построения классических сетевых графиков
При построении сетевого графика: рекомендуется направлять стрелки слева направо и изображать их по возможности горизонтальными линями без лишних пересечений.
Для правильного отображения взаимосвязи между работами сетевого графика при его построении необходимо соблюдать ряд правил.
Первое правило. Если работы А, Б и В выполняются последовательно, то на сетевом графике изображаются по горизонтали одна за другой (рисунок 1).

Рисунок 1
Второе правило. Если результат работы А необходим для выполнения работ Б и В, то на сетевом графике это отображается следующим образом (рисунок 2).

Рисунок 2
Третье правило. Если результат работ Г и Д необходим для выполнение работы Е, то на сетевом графике это изображается так (рисунок 3).

Рисунок 3
Четвертое правило. Работы сетевого графика не должны иметь одинакового кода. Если работы Б, В, Г выходят из одного события и выполнение необходимо для свершения одного и того же события, то вводятся дополнительные фиктивные работы (рисунок 4).

Рисунок 4
Пятое правило. Если работы Б, В и Г начинаются после частичного выполнения работы А, то работа А разбивается на части А1, А2 .. Аi и т.д., при этом каждая работа А в сетевом графике считается самостоятельной работой (рисунок 5).

Рисунок 5
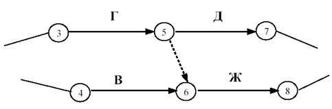
Шестое правило. Если для начала работы Ж необходимо выполнение работ В и Г, а для начала работы Д выполнение работы Г, то в сетевой график вводится дополнительная фиктивная работа (рисунок 6).

Рисунок 6
Седьмое правило. Если после окончания работы А можно начать работу Б, а после окончания работы В работу Г, а работа Д может быть начата только после окончания работ А и В, то на сетевом графике это изображается с помощью двух дополнительных фиктивных работ (рисунок 7).

Рисунок 7
Восьмое правило. В сетевом графике не должно быть замкнутых контуров (циклов), т.е. цепочек работ, возвращающихся к тому событию, из которого они вышли. На рисунке 9 замкнутый контур (цикл) образовался из событий 3, 4, 2, 3. Наличие цикла в сети свидетельствует об ошибке в исходных данных или в неправильном изображении взаимосвязи работ.
Такая ситуация чаще возникает в больших и сложных сетях, которые разрабатываются несколькими исполнителями. При обнаружении подобной ошибки сетевой графика, после выяснения ее причины, необходимо исправить (рисунок 8).

Рисунок 8
Девятое правило. События следует кодировать так, чтобы номер начального события данной работы был меньше номера конечного события этой работы (рисунок 9).

Рисунок 9
Десятое правило. В одноцелевом сетевом графике не должно быть "тупиков", т.е. таких событий, из которых не выходит ни одной работы (событие 2 на рисунке 10). Если в сети, кроме завершающего, появилось еще одно событие, из которого не выходит ни одной работы тАУ это означает либо ошибку при построении сетевого графика, либо планирование ненужной работы Б, результат которой никого не интересует (рисунок 10).

Рисунок 10
Одиннадцатое правило. В сетевом графике не должно быть "хвостов", т.е. событий, в которые не входит ни одной работы, если эти события не являются исходными для данного сетевого графика (событие 4 на рисунке 11).Если это правило нарушено, и в сети, кроме исходного, появилось еще одно событие, в которое не входит ни одной работы тАУ это означает либо ошибку при составлении сетевого графика, либо отсутствие работы, результат которой необходим для начала работы (Г).

Рисунок 11
Двенадцатое правило. При укрупнении сетевых графиков группа работ может изображаться как одна работа, если в этой группе имеется одно конечное событие и если эти работы выполняются одним исполнителем при наличии в группе входных и выходных работ.
Продолжительность укрупненной работы равна продолжительности наибольшего пути от начального до конечного событий этой группы работ.
2. Построение сетевого графика
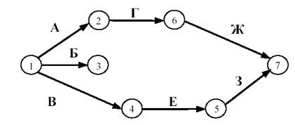
Изображение топологии сетевого графика начинаем с исходного события и работ, выходящего из него. В нашем примере исходными событиями являются работы А, Б и В. Работы Г и Д являются последующими работами относительно работы А. (рис. 12).

Рисунок 12
Работа Е зависит от выполнения работ Г и Д. Правильное отображение достигается путем введения фиктивных работы ГтАЩ и ДтАЩ. Работа Л зависит от выполнения работ Б и В. Правильное отображение достигается путем введения фиктивных работы БтАЩ и ВтАЩ.

Рисунок 13
Работа Е зависит от предшествующей ей работы Г. Работа З зависит от выполнения работы Б. Работа И зависит от выполнения работы З. Выполнение работы М зависит от работ И, Ж. Завершающим событием в данном примере является выполнение работы К, которое зависит от свершения работ Ж и К (рис. 14). Произведем кодирование работ топологии сетевого графика. Нумерация, при этом, должна соответствовать правилам нумерации, приведенным в методическом пособии.

Рисунок 15
Подсчитаем число событий (n), число действительных (Д) и фиктивных (Ф) работ и число ожиданий (О).
n=9, Д=11, Ф=2, О=0.
Определим коэффициент сложности:
![]()
3. Анализ сетевой модели
3.1 Взаимосвязь работ и построение таблицы исходных данных
Объясним взаимосвязь работ, представленных на рисунке 16.

Рисунок 16
Как видно из рисунка 16 , работы А и Б являются исходными. Результат работы А
необходим для выполнения работ В и Г которые по отношению к работе А являются последующими. Результат работы Б необходим для выполнения работы К, которая по отношению к работе Б также является последующей. Работы Л и М выполняются последовательно и оказываются последующими для работы К. Работа Ж является результатом выполнения работы Г. Работы Д и И выполняются последовательно и оказываются последующими для работы В. Работа З происходит только после осуществления работ Е и Ж, где работа Е является последующей работе В. Работы Н, так же как и работа О выполняется только после осуществления работ З и И. После совершения работ М и Н выполняется работа Р. Работы С и Т выполняются последовательно и оказываются последующими для работы О. Завершающим событием, не имеющим последующих работ, является событие 14. Оно происходит после выполнения работ Р и Т. На основе объяснения взаимосвязи работ построим таблицу исходных данных (см. табл. 1).
Таблица 1 тАУ Исходные данные
| № п/п | Работы, окончание которых является необходимым условием для начала рассматриваемой | Рассматриваемая работа |
| 1 | - | А |
| 2 | - | Б |
| 3 | А | В |
| 4 | А | Г |
| 5 | В | Д |
| 6 | В | Е |
| 7 | Г | Ж |
| 8 | Е, Ж | З |
| 9 | Д | И |
| 10 | Б | К |
| 11 | К | Л |
| 12 | Л | М |
| 13 | И, З | Н |
| 14 | И, З | О |
| 15 | М, Н | Р |
| 16 | О | С |
| 17 | С | Т |
Вместе с этим смотрят:
Cамоорганизация как процесс саморазвития
РЖнновацiйнi процеси на пiдприiмствi
РЖнформацiйний менеджмент як ефективна технологiя органiзацii управлiнськоi дiяльностi
Автоматизация работы отдела планирования компании ООО "Кока-Кола ЭйчБиСи Евразия"