Предпринимательство в России на примере Читинской области
Любая нация гордится плодами деятельности своих предВнпринимателей.
Но любая нация и кажВндый ее отдельный представитель гордятся и своей причаВнстностью к воплощению какой-либо конкретной предпринимаВнтельской идеи.
Предпринимательство как одна из конкретных форм проявления общественных отноВншений способствует не только повышению материального и дуВнховного потенциала общества, не только создает благоприятВнную почву для практической реализации способностей и таланВнтов каждого индивида, но и ведет к единению нации, сохранеВннию ее национального духа и национальной гордости.
Предпринимательство тАУ это особый вид деятельности, особое поприще, преуспеть на котором не каждому под силу. Оно требует не только солидных экономических знаний, решительности, деловой хватки, готовности рисковать, но и способности к творчеству, неординарному мышлению. Огромный потенциал, заложенный в предпринимательстве, позволяет рассматривать его как фактор производства наряду с материальными, финансовыми и человеческими ресурсами. В нашей стране предпринимательство пока не получило того развития, которое позволило бы ему сыграть подобающую роль в реформировании российской экономики. Возможности предпринимательства в России не только не исчерпаны, но даже не задействованы сколько-нибудь серьезно. [2]
Надо сказать, что в России путь к рынку оказался тернистым. Со всей очевидностью проявилось две разнонаправленные тенденции.
С одной стороны, формируются, пусть тяжело и медленно, механизмы рыночных преобразований: меняются методы государственного регулирования экономики, внедряются новые формы собственности, складывается средний класс.
С другой стороны Россия, не достигла ощутимого успеха в экономических преобразованиях. Сокращается внутренний валовой продукт, происходит разрушение промышленного и аграрного потенциала. Политические катаклизмы, непоследовательность политики реформ, нестабильность законодательства влекут за собой нарушение баланса в экономике, спад производства и инвестиционной активности, отток капитала за рубеж и, как итог, недовольство большей части россиян нынешним уровнем жизни и перспективами.
В экономически же развитых странах малый бизнес, или малое предпринимательство представляет самый многочисленный слой мелких собственников, которые в силу своей массовости в значительной мере определяют социально- экономический и отчасти политический уровень развития страны. По своему уровню жизни и социальному положению они принадлежат к большинству населения, одновременно являясь как непосредственными производителями, так и потребителями широкого спектра товаров и услуг. Сектор МП образует самую разветвлённую сеть предприятий, действующих в основном на местных рынках и непосредственно связанных с массовым потребителем товаров и услуг. В совокупности с небольшими размерами малых предприятий, их технологической, производственной и управленческой гибкостью это позволяет чутко и своевременно реагировать на изменяющуюся конъюнктуру рынка.
В мировой хозяйственной системе, по данным ООН, малые и средние предприятия являются работодателями почти для 50% трудового населения всего мира, при этом объём производства в сфере МСП в различных странах составляет от 33 до 66% национального продукта.[1]
Кроме того, сектор МП более динамично создаёт новые рабочие места. Так, например, в США за период 1976-1990 гг. крупные и средние предприятия потеряли соответственно 500 и 850 тыс. рабочих мест, а сектор МП за тот же период создал 4,1 млн. новых рабочих мест, обеспечивая 65% чистого прироста рабочих мест по стране.
Сектор МП является неотъемлемым, объективно необходимым элементом любой развитой хозяйственной системы, без которого экономика и общество в целом не могут нормально существовать и развиваться. Хотя ВллицоВ» любого развитого государства составляют крупные корпорации, а наличие мощной экономической силы - крупного капитала в значительной мере определяет уровень научно-технического и производственного потенциала, подлинной основой жизни стран с рыночной системой хозяйствования является МП как наиболее массовая, динамичная и гибкая форма деловой жизни. Именно в секторе МП создается и циркулирует основная масса национальных ресурсов, которые являются питательной средой для среднего и крупного бизнеса. Высокая приспособляемость и массовый охват практически всех сфер внутреннего рынка страны обеспечивают устойчивость развития экономики и способствуют стабильности политического климата.[3]
Целью данной дипломной работы является изучение и анализ состояния малого предпринимательства в Читинской области и разработке конкретных предложений по развитию этого процесса.
В соответствии с поставленной целью нами поставлены следующие вопросы исследования:
1. Изучение теоретических основ развития малого предпринимательства.
2. Изучение структуры и потенциала МП в Читинской области
3. Разработка конкретных предложений по развитию МП в Читинской области.
Основой написания дипломной работы послужили материалы конкретных нормативных актов методические разработки Фонда поддержки малого предпринимательства Читинской области, а также разработки специалистов других регионов, опубликованные в периодической печати.
1 оБЩАЯ ХАРАКТЕРИСТИКА
ПРЕДПРИНИМАТЕЛЬСТВА
1.1 Классики экономической теории
о предпринимательстве
Понятие ВлпредпринимательствоВ» (англ.business) впервые употребил английский банкир и экономист Ричард Кантильон (1680-1734) в XVIII в. По Кантильону предпринимательство тАУ это экономическая деятельность, в процессе которой приводятся в соответствие товарное предложение и спрос в условиях постоянного риска. Под предпринимателем Кантильон понимал человека, который приобретая на рынке средства производства, превращает их в капитал. Результатом функционирования капитала является продукция, которая продается на рынке по рыночной цене, более высокой, чем затраты предпринимателя на производство. Поскольку рыночная цена производственного продукта заранее неизвестна, предпринимательству всегда сопутствует коммерческий риск. Источником богатства Р. Кантильон считал землю и труд, которые и определяют действительную стоимость экономических благ.
Английский профессор Алан Хоскинг утверждает: "ИндиВнвидуальным предпринимателем является лицо, которое ведет дело за свой счет, лично занимается управлением бизнесом и несет личную ответственность за обеспечение необходимыми средствами, самостоятельно принимает решения. Его вознагВнраждением является полученная в результате предпринимаВнтельской деятельности прибыль и чувство удовлетворения, коВнторое он испытывает от занятия свободным предпринимательВнством. Но наряду с этим он должен принять на себя весь риск потерь в случае банкротства его предприятия.
Позже более глубокому анализу подверг предпринимательство известный французский экономист Жан-Батист Сэй (1767-1832), усматривавший в нем творческое соединение и координацию двух факторов производства тАУ труда и капитала тАУ в условиях риска. В книге ВлТрактат политической экономииВ» (1803 г.) сформулировал определение предпринимательской деятельности как соединения, комбинирования трех классических факторов производства тАУ земли, капитала, труда. Он указывал также, что Влталант английских предпринимателейВ» был одним из факторов успеха развития промышленности Англии. Основной тезис Сэя состоит в признании активной роли предпринимателей в создании продукта. Доход предпринимателя, по мнению Сэя, является вознаграждением за его труд, способность организовать производство и сбыт продукции, обеспечить Влдух порядкаВ». Предприниматель, указывал он, - это лицо, которое берется на свой счет и риск и в свою пользу произвести какой-нибудь продукт. Сэй разграничивал функции предпринимателя (бизнесмена) и менеджера (управляющего). Труд предпринимателя Сэй считал творческим, труд менеджера тАУ монотонным, рутинным.
Известный американский экономист австрийского происхождения Иозеф Шумпетер (1883-1950) в книге ВлТеория экономического развитияВ», которая впервые вышла в 1911 г., трактует понятие ВлпредпринимательВ» как новатор. Функция предпринимателя, утверждает он, состоит в реализации нововведений, играющих главную роль в развитии капиталистической экономики, в обеспечении экономического роста.
Предпринимателями мы называем хозяйственных субъектов, функцией которых является как раз осуществление новых комбинаций и которые выступают как его активный элемент.
Французский экономист Андре Маршалл (1907-1968) первым добавил к упомянутым выше трем классическим факторам производства (земля, капитал, труд) четвертый фактор тАУ организацию. С этого времени понятие предпринимательства расширяется.
За словами ВлпредпринимательствоВ» стоит предприятие тАУ сложный организм, представляющий собой производственно-хозяйственную систему, задача которой производить продукцию, работы и услуги. Деятельность предприятия как субъекта рыночных отношений протекает в условиях жесткой конкуренции между товаропроизводителями. Именно конкурентная рыночная среда создает наиболее благоприятные условия для экономического развития как отдельного предприятия, так и общества в целом и является движущей силой социального и экономического прогресса. Рыночная среда заставляет предприятие работать в режиме рентабельности, если она не хочет покинуть сферу бизнеса. Режим рентабельности предполагает, что целью функционирования и главным результатом деятельности предприятия в рыночных условиях является прибыль. Нужно производить только те товары и услуги, которые удовлетворяют насущные потребности.
А вот как трактуется понятие ВлпредпринимательствоВ» в Энциклопедическом словаре предпринимателя:
ВлПредпринимательствоВ» - инициативная самостоятельная деятельность граждан, направленная на получение прибыли или личного дохода, осуществляемая от своего имени, под свою имущественную ответственность или от имени и под юридическую ответственность юридического лица. Предприниматель может осуществлять любые виды хозяйственной деятельности, не запрещенные законом, включая коммерческое посредничество, торгово-закупочную, консультационную и иную деятельность, а также операции с ценными бумагамиВ».
Представляет интерес характеристика предпринимательства, приведенная в книге ВлРыночное предпринимательствоВ».
Предприниматель в своей деятельности призван обеспечить необходимую комбинацию или необходимое сочетание личной выгоды с общественной пользой в целях получения прибыли.
Предпринимательство - является деятельностью, которая связана с вложением средств в целях получения прибыли на основе сочетания личной выгоды с общественной пользой. Предпринимательство тАУ это непосредственно деятельность, а не только способность заниматься определенной деятельностью.
Итак, предпринимательство представляет собой специфический вид экономической деятельности, требующей привлечения собственных средств и принятия на себя определенной ответственности и хозяйственного риска. Успех этой деятельности основывается на определенном правовом и организационном оформлении. Доминирующими в формировании типологического вида предпринимательства являются такие особенности экономического и юридического характера, как метод формирования имущества хозяйствующих субъектов, содержание осуществляемых ими имущественных прав, статус субъекта права собственности и т.п.
Работа в рыночной экономике выдвигает перед предпринимателями и менеджерами требование высокой компетентности при осуществлении бизнеса.[5]
1.2 МОТИВЫ И ФУНКЦИИ ПРЕДПРИНИМАТЕЛЬСТВА
Разумеется главным стимулом предпринимательства была и есть прибыль тАУ доход, который остается после вычета из выручки затрат и оплаты труда наемных работников, является собственностью предпринимателя и может быть израсходован им по своему усмотрению.
Предпринимательская прибыль тАУ особый вид дохода, вознаграждение за предприимчивость, специфическую творческую активность в сфере частного бизнеса, которая проявляется в реализации новых идей, технических и организационных нововведений, приносящих коммерческий успех.
Погоня за прибылью заставляет предпринимателей рисковать своим капиталом, нанимать работников и закупать все необходимые для производства товаров и оказания услуг. Прибыль также является стимулом для того, чтобы улучшать качество продукции или услуг, снижать их себестоимость и продавать больше, чем конкуренты.
Получение прибыли, однако, не является единственной причиной, побуждающей людей заняться бизнесом. Стимулом к началу собственного дела могут быть также стремление к личной независимости и возможность исполнять любую работу в удобное для себя время, желание раскрыть свои способности или продолжить семейные традиции.
Кстати сказать, выходцы из семей бизнесменов чаще других открывают свое дело независимо от того, успешен ли был родительский бизнес. По-видимому, родственники, занимающиеся бизнесом и радующиеся плодам своего труда, дают пример возможного выбора карьеры.
Вне зависимости от мотивов и сферы деятельности предприниматель реализует свои способности через исполнение следующих функций: общеэкономическая, творческо-поисковая (инновационная), ресурсная, социальная, организаторская. Некоторые ученые считают, что предпринимательству свойственная и политическая функция, которая осуществляют, как правило, ассоциации (союзы) предпринимателей.
Определяющей, на наш взгляд, в развитой экономике является общеэкономическая функция, которая объективно обусловлена ролью предпринимательских организаций и индивидуальных предпринимателей как субъектов рынков. Предпринимательская деятельность направлена на производство товаров (выполнение работ, оказание услуг) и их доведение до конкретных потребителей: домохозяйств, других предпринимателей, государства, что, в первую очередь, и предопределяет общеэкономическую функцию. Причем предпринимательская деятельность осуществляется ее субъектами под воздействием всей системы экономических законов рыночной экономики (спроса и предложения, конкуренции, стоимости и др.), что является объективной основой проявления общеэкономической функции. Поступательное развитие предпринимательства является одним из определяющих условий экономического роста, увеличения объемов валового внутреннего продукта и национального дохода, а этот фактор также выступает как проявление в системе хозяйственных отношений общеэкономической функции.
Важнейшей функцией предпринимательства является ресурсная. Развитие предпринимательства предполагает эффективное использование как воспроизводимых, так и ограниченных ресурсов, причем под ресурсами следует понимать все материальные и нематериальные условия и факторы производства. Разумеется, первую очередь, трудовые ресурсы (в широком понимании этого слова), землю и природные ресурсы, все средства производства и научные достижения, а также предпринимательский талант. Предприниматель может добиться наивысших успехов, если сумеет генерировать научно-технические идеи, нововведения в той сфере деятельности, в которой он создает собственное дело, будет использовать высококвалифицированную рабочую силу, эффективно потреблять все виды ресурсов. Но погоня за максимальным доходом (прибылью) предпринимателей часто приводит к хищническому использованию ресурсов. Такие предприниматели своей деятельностью наносят вред окружающей среде и населению. В связи с этим важное значение приобретает регулирующая роль государства, устанавливающего формы ответственности предпринимателей за неправильное использование ресурсной функции, которая противоречива и имеет двоякий характер. Предприниматель как собственник ресурсов заинтересован в их рациональном использовании и в то же время может безжалостно относиться к общественным ресурсам. Об этом свидетельствуют история развития предпринимательства и история научно-технических революций, последствия которых для человека противоречивы.
Предпринимательству как новому типу антибюрократического экономического хозяйствования свойственна творческо-поисковая, инновационная функция, связанная не только с использованием в процессе предпринимательской деятельности новых идей, но и с выработкой новых средств и факторов для достижения поставленных целей. Творческая функция предпринимательства тесным образом связана со всеми другими функциями и обусловлена уровнем экономической свободы субъектов предпринимательской деятельности, условиями принятия управленческих решений.
В процессе становления рыночной экономики предпринимательство приобретает социальную функцию, проявляющуюся в возможности каждого дееспособного индивидуума быть собственником дела, с наибольшей отдачей проявлять свои индивидуальные таланты и возможности. Эта функция все более проявляется в формировании нового слоя людей тАУ людей предприимчивых, тяготеющих к самостоятельной хозяйственно-экономической деятельности, способных создавать собственное дело, преодолевать сопротивление среды и добиваться поставленной цели. В то же время увеличивается численность наемных работников, которые, в свою очередь, экономически и социально зависят от того, насколько устойчива деятельность предпринимательских фирм.
Чем эффективнее функционируют предпринимательские организации, тем существеннее поступления их средств в бюджеты различных уровней и в государственные внебюджетные социальные фонды. В то же время развитие предпринимательства обеспечивает рост числа рабочих мест, сокращение уровня безработицы, повышение уровня социального положения наемных работников.
Важнейшей функцией предпринимательства является организаторская, которая проявляется в принятии предпринимателями самостоятельного решения об организации собственного дела, его диверсификации, во внедрении внутрифирменного предпринимательства, в формировании предпринимательского управления, в создании сложных предпринимательских структур, в изменении стратегии деятельности предпринимательской фирмы и т.д. Организаторская функция особенно четко проявляется в быстром развитии малого и среднего предпринимательства, а также в Влколлективном (сетевом) предпринимательствеВ», в создании народных предприятий.[2]
Следовательно, сущность предпринимательства наиболее комплексно проявляется в сочетании всех присущих ему функций, которые объективно свойственны цивилизованному предпринимательству, но во многом зависят от самих субъектов предпринимательской деятельности, от системы государственной поддержки и регулирования предпринимательства. [9]
1.3 ТИПОЛОГИЯ ПРЕДПРИНИМАТЕЛЬСТВА
Под типологией предпринимательства понимается учение о различных типах, видах, сферах предпринимательской деятельности, определяемых по существенным признакам, позволяющим отнести данную конкретную экономическую (хозяйственную) деятельность к определенному типу (виду). В теории предпринимательства имеются различные подходы как при установлении признаков, позволяющих классифицировать предпринимательство, так и при определении качественно и количественной характеристики этих признаков, поэтому часто отнесение той или иной предпринимательской деятельности к определенному типу может являться относительно ВлразмытымВ», чрезмерно обобщенным. При установлении типов (видов) предпринимательства определяющие значение имеют объекты предпринимательской деятельности, законность ее осуществления, конечные результаты, темпы роста, внедрение нововведений и др.
Предпринимательскую деятельность можно классифицировать по различным характерным признакам, однако в теории и практике сложилась классификация по следующим признакам: по формам собственности; по законности, по охвату территории, по распространению на различных территориях, по составу учредителей, по численности персонала и объему оборота, по темпам роста и уровню прибыльности, по уровню использования нововведений и др.
Что касается форм собственности, то в рыночной экономике предпринимательство развивается на частной и государственной формах собственности. Частная собственность проявляется в форме единоличной (индивидуальной) и коллективной (партнерской). В России государственная собственность существует в двух видах: федеральной и субъектов Российской Федерации. Предпринимательство развивается и на муниципальной собственности, а также на смешанной и совместно формах собственности и собственности (100%) иностранных инвесторов (таблица №1).
Таблица: №1

По признакам законности предпринимательство подразделяется на законное, незаконное, лжепредпринимательство. Незаконным предпринимательством в соответствии со ст.171. Уголовного кодекса Российской Федерации (УК РФ) является осуществление предпринимательской деятельности без регистрации либо без специального разрешения (лицензии) в случаях, когда такое разрешение (лицензия) обязательно, или с нарушением условий лицензирования, если это деяние причинило крупный ущерб гражданам, организациям или государству либо сопряжено с извлечением дохода в крупном размере, под которым понимается доход, превышающий сумму 200 минимальных размеров оплаты труда (МРОТ), а доходом в особо крупном размере является доход, сумма которого превышает 500 МРОТ. Все вышеприведенные признаки (деяния), характеризующие незаконное предпринимательство, являются признаками отнесения к незаконной и банковской деятельности.
В соответствии со ст.173 УК РФ лжепредпринимательством является создание коммерческой организации без намерения осуществлять предпринимательскую или банковскую деятельность, а имеющие целями получение кредитов, освобождение от налогов, извлечение иной имущественной выгоды или прикрытие запрещенной деятельности, причинившей ущерб гражданам, организациям или государству.
За организацию незаконного предпринимательства и лжепредпринимательства установлена уголовная ответственность.
В зависимости от распространения деятельности на различных территориях предпринимательство подразделяется на местное, региональное, национальное, международное и мировое.
В зависимости от состава учредителей (участников) собственного дела выделяется женское и молодежное предпринимательство. Во многих странах действуют ассоциации женского и молодежного предпринимательства, занимающиеся поддержкой их развития. Например, в России создана Ассоциация женщин тАУ предпринимателей России.
С точки зрения темпов развития, уровня прибыльности и доходности предпринимательские организации можно подразделить на: быстрорастущие, медленно наращивающие темпы развития компании, высокоприбыльные низкорентабельные организации, осуществляющие низкорисковые и очень рисковые виды бизнеса, а следовательно, и соответствующие фирмы, хотя нельзя непосредственно поставить знак равенства между видом бизнеса и уровнем рисковости той или иной компании, поскольку имеется большая совокупность факторов, влияющих на уровень конечных результатов деятельности фирмы.
С точки зрения использования в процессе своей деятельности инноваций, нововведений, новых технологий, постоянного поиска новых возможностей для производства новых товаров, выполнения работ, оказания услуг, завоевания новых рынков сбыта, формирования нового спроса и предложения на основе нового комбинирования факторов производства, применения инновационного менеджмента, прогрессивного маркетинга предпринимательская деятельность является творческо-поисковой, продуктивной, революционизирующей экономику в противоположность рутинной, шаблонной, репродуктивной, направленной на воспроизводство известных продуктов труда известными методами, посредством устаревших технологий.
В зависимости от количества участников (учредителей) собственного дела предпринимательство подразделяется на индивидуальное (правда, в соответствии с Гражданским кодексом РФ в России не могут создаваться индивидуальные (семейные) предприятия) и коллективное (партнерское).
По таким признакам (критериям), как численность всего персонала, по удельному весу других субъектов (складочном) капитале определяется малое предпринимательство. В странах с развитой рыночной экономикой отнесение субъектов хозяйствования к малым предприятиям осуществляется почти по 50 критериям.
Если в создании предпринимательской организации наряду с российскими участниками принимают участие иностранные учредители (участники), такое предпринимательство является совместным. Однако выделяют еще и предприятия с иностранными инвестициями.
По формам ответственности участников (учредителей) предпринимательских организаций за результаты их деятельности различают организации с полной ответственностью, а также с солидарной и субсидиарной ответственностью.
В зависимости от механизма создания, числа учредителей (участников), процессов функционирования и управления выделяют простые и сложные предпринимательские организации.[8]
По назначению предпринимательскую деятельность можно подразделить на производственную, коммерческую, финансовую, консультативную и др. Все эти виды могут функционировать раздельно или вместе.
В тоже время каждый из названных видов предпринимательства распределяется на некоторое число подвидов.
1.Производственное предпринимательство можно назвать ведущим видом предпринимательства. Здесь осуществляется производство продукции, товаров, работ, оказываются услуги, создаются определенные духовные ценности. К этому виду предпринимательства относятся инновационная, научно-техническая деятельность, непосредственно производство продукции.
Именно эта сфера деятельности при переходе к рыночной экономике претерпела наибольше негативные изменения: распались хозяйственные связи, нарушилось материально-техническое обеспечение, резко упал сбыт продукции, ухудшилось финансовое положение предприятий.
Важнейшим этапом производственной деятельности служат приобретение или аренда факторов производства. В число таких факторов входят основные и оборотные производственные фонды, рабочая сила, информация.
2.Наибольшее развитие в первые годы перехода к рынку в России получило коммерческое предпринимательство. Оно характеризуется операциями и сделками по купле и продаже товаров и услуг. Здесь быстрее можно получить отдачу. Эта сфера, во многом ограниченная ранее, благодаря усилиям энергичных, инициативных людей стала стремительно развиваться, главным образом как частное, индивидуальное предпринимательство. Нередко среди них имеются и те, кого раньше относили к так называемой ВлтеневойВ» экономике. Если производственная деятельность обеспечивает, как правило, 10-12% рентабельности предприятия, фирмы, то коммерческая тАУ 20-30%, а нередко и выше. Полем деятельности коммерческого предпринимательства служат товарные и торговые организации.
3.Особым видом предпринимательской деятельности является финансовое (или финансово-кредитное) предпринимательство. Сфера его деятельности тАУ обращение, обмен стоимостей. Финансовая деятельность проникает и в производственную, и в коммерческую, однако она может быть и самостоятельной: банковское, страховое дело и др. Основное поле деятельности финансового предпринимательства тАУ коммерческие банки и фондовые биржи.
Финансовая сделка предполагает не такую высокую норму рентабельности, как предыдущие виды предпринимательской деятельности: эта величина может составить 5-10%.
В последние годы все большее развитие в России получает такая перспективная форма, как консультативное предпринимательство. Оно имеет множество направлений, и сопоставляя уровень его развития в нашей стране с другими развитыми странами, можно сделать вывод, что в ближайшие годы консалтингу предстоит стремительно развиваться (таблица №2).
Таблица №2
В И Д Ы П Р Е Д П Р И Н И М А Т Е Л Ь С Т В А |
![]()
![]()
![]()
![]()
Производственное | Коммерческое | Финансовое | Консультативное |
![]()
![]()
![]()
![]()
Инновационное | Торговое | Банковское | Общее управление |
![]()
![]()
![]()
![]()
Научно-техническое | Торгово-закупочное | Страховое | Администри-рование |
![]()
![]()
![]()
![]()
Производство товаров | Торгово-посредническое | Аудиторское | Финансовое управление |
![]()
![]()
![]()
![]()
Оказание услуг | Товарные биржи | Лизинговые | Управление кадрами |
![]()
![]()
![]()
Производственное потребление товаров | Фондовые биржи | Маркетинг |
![]()
![]()
Производственное потребление услуг | Производство |
![]()
![]()
Информационная технология |
![]()
Информационное | Специализиро- ванные услуги |
Предпринимательство как форма инициативной деяВнтельности, направленной на извлечение прибыли (предприниВнмательского дохода), предполагает:
1) осуществление непосредственных производительВнных функций, т. е. производство товара (продукта) или оказание услуги (например, машиностроительная фирма, туВнристская компания, инжиниринговая фирма или конструкВнторское бюро);
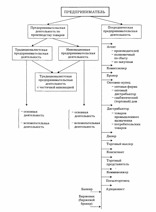
2) осуществление посреднических функций, т. е. оказаВнние услуг, связанных с продвижением товара на рынок и его передачей в надлежащем (общественно приемлемом) виде от непосредственного производителя такого товара его потреВнбителю.
По количеству собственников предпринимательская деятельность может быть индивидуальной и коллективной. При индивидуальном предпринимательстве собственность принадлежит одному физическому лицу. Коллективному предпринимательству соответствует собственность, принадлежащая одновременно нескольким субъектам с определением долей каждого из них (долевая собственность) или без определения долей (совместная собственность). Владение, пользование и распоряжение имуществом, находящимся в коллективной собственности, осуществляются по соглашению всех собственников.[4]
Организационно-правовые формы предпринимательства
В России в соответствии с Гражданским кодексом создаются организационно-правовые формы предпринимательской (коммерческой) деятельности: хозяйственные товарищества и общества, производственные кооперативы, государственные и муниципальные унитарные предприятия.
Товарищество - представляет собой объединение лиц, созданное для осуществления предпринимательской деятельности. Товарищества создаются в том случае, когда в организации предприятия решают принять участие два или более партнера. Важным преимуществом товарищества является возможность привлечения дополнительного капитал. Помимо того, наличие нескольких владельцев позволяют осуществлять специализацию внутри предприятия на основе знаний и умений каждого из партнеров. Недостатки данной организационно-правовой формы предпринимательской деятельности: каждый из участников несет равную материальную ответственность независимо от размеров его вклад. Кроме того, действия одного из партнеров являются обязывающими для всех остальных, даже если они не согласны с этими действиями.
Участники товарищества подразделяются на две группы: полные товарищи (товарищество с неограниченной ответственностью) и коммандитные товарищи (товарищество с ограниченной ответственностью) таблица №4.
Таблица: №4
|
![]()
| Полное товарищество | Товарищество на вере |
Полным является товарищество, участники которого (полные товарищества) заключили между собой договор о создании предприятия для совместного ведения определенной хозяйственной деятельности. Источником формирования имущества полного товарищества служат вклады его участников.
Полному товариществу не требуется устав. Оно создается и действует на основе учредительного договора, который подписывается всеми участниками. В учредительном договоре указываются наименование товарищества, место его нахождения, порядок управления его деятельностью, размер и состав складочного капитала товарищества, порядок изменения доли каждого из его участников. Здесь содержатся также сведения об ответственности участников полного товарищества за нарушение обязанностей по внесению вкладов и др.
Прибыль и убытки полного товарищества распределяются между его участниками пропорционально их долям в складочном капитале. Для определения размера налогов каждый участник прибавляет свою долю прибыли к имеющемуся у него доходу и с этой суммы платит налоги.
Участники полного товарищества солидарно несут ответственность своим имуществом по обязательствам товарищества.
В коммандитных товариществах часть партеров может обладать неограниченной, а часть тАУ ограниченной ответственностью.
Несколько иное положение в смешанном (коммандитном) товариществе ( товариществе на вере). Наряду с участниками, осуществляющими от имени товарищества предпринимательскую деятельность и отвечающими по обязательствам товарищества своим имуществом (полными товарищами), имеется один или несколько участников-вкладчиков (коммандитистов), которые несут риск уб
Вместе с этим смотрят:
Cамоорганизация как процесс саморазвития
РЖнновацiйнi процеси на пiдприiмствi
РЖнформацiйний менеджмент як ефективна технологiя органiзацii управлiнськоi дiяльностi
Автоматизация работы отдела планирования компании ООО "Кока-Кола ЭйчБиСи Евразия"