Тарифная политика и ее влияние на комиссионный доход коммерческих банков
Актуальность темы дипломного исследования состоит в исследовании весовой доли сектора банковских услуг, как источников комиссионных доходов банка в общем операционном доходе банка, который включает также традиционный процентный, торговый, дивидендный и другие виды доходов.
Предмет исследований дипломной работы тАУ структура комиссионных доходов коммерческих банков и тарификация основных банковских операций, обеспечивающих эти доходы.
Объект исследований дипломной работы тАУ банковская система Украины, коммерческие банки АКБ ВлПриватбанкВ»(Днепропетровск) и АКБ ВлФинбанкВ» (Одесса).
Цель дипломной работы тАУ определение сущности и структуры комиссионных доходов в коммерческих банках Украины, выявление основных факторов влияния характеристик банка и политики тарификации его банковских услуг на весовую долю комиссионных доходов в операционных доходах банка.
Задачи дипломного исследования:
- исследование сущности и классификации операций банковских услуг как источников комиссионных доходов банка;
- анализ влияния тарификации комиссий в операциях банковских услуг на роль комиссионных доходов в общих доходах коммерческих банков Украины;
- поиск перспективных направлений развития операций банковских услуг и увеличения комиссионных доходов коммерческих банков.
Метод исследований тАУ исторический анализ и группирование.
Информационно-методологическая база исследований дипломного проекта тАФ отчетные документы АКБ ВлПриватбанкВ» за 2001 - 2006 года, информационные материалы Национального банка Украины, Всеукраинской банковской лиги.
Практическая ценность полученных результатов дипломного исследования по основным факторам влияния характеристик коммерческого банка и его рыночной тарифной политики на уровень комиссионных доходов состоит в том, что в современных условиях конкуренции 12 основных банков Украины с остальными 145 банками уровень комиссионных доходов имеет стандартный уровень 27 тАУ 30% в операционном доходе банка и поднимается до 35 тАУ 38% в 12 системообразующих банках Украины, которые занимают более 50% банковского рынка и конкурентно формируют тарифную политику остальной банковской системы, создавая для себя определенные Влмонопольные нишиВ» высокодоходных комиссионных операций.
1 ЭКОНОМИЧЕСКАЯ СУЩНОСТЬ И КЛАССИФИКАЦИЯ ОПЕРАЦИЙ БАНКОВСКИХ УСЛУГ КАК ИСТОЧНИКОВ КОМИССИОННЫХ ДОХОДОВ БАНКА
1.1 Сущность операций банковских услуг клиентам банка
Банковские услуги - это операции банковских учреждений по предоставлению услуг клиентам, которые не связаны с привлечением дополнительных ресурсов. Основной формой оплаты банковских услуг являются комиссии. Банки предоставляют клиентам разнообразные услуги, их объединяют в определенные группы по соответствующим признакам и критериям. Наиболее распространенной является классификация банковских услуг, в которой выделяют такие группы услуг: лицензированные, нелицензированные, чистые, суррогатные, комиссионные, гонорарные, спрэдовые, балансовые, внебалансовые и т.п.[27].
К лицензированным банковским услугам относятся такие, предоставление которых требует лицензии Национального банка Украины. Это, в частности: кассовое обслуживание клиентов; инкассация и перевозка денежных ценностей; ведение счетов клиентов в национальной и иностранной валюте; привлечения депозитов юридических и физических лиц; выдача гарантий и поручительств; управления денежными средствами и ценными бумагами по доверенности клиентов и т.д.
Чистыми называются услуги, которые не несут любого риска для активов банка, кроме риска операционных ошибок. Например, осуществления расчетов за собственные средства клиентов, инкассовые услуги, инкассация денежной наличности, кассовое обслуживание и др.
Суррогатными называются услуги, конечный результат от осуществления которых может повлиять на активы банка, хотя на момент предоставления услуги такого влияния не происходит. Например, гарантии, подтвержденные аккредитивы, непокрытые чеки, аваль и акцепт векселей и т.п.
К чисто комиссионным относятся услуги, за предоставление которых банк взимает с клиента плату в виде комиссии, а сам не платит никаких комиссий при их предоставлении. Это хранение ценностей в собственном депозитарии, ведение реестров собственников ценных бумаг, размещение ценных бумаг, эмитированных клиентами по их поручению и т.п.
Гонорарными называются услуги, за предоставление которых банк получает от клиентов обусловленную заведомо плату. Это лизинг, траст, консультационные и некоторые другие услуги.
К спрэдовых относят услуги, чистые доходы от которых формируются как различие между комиссией, полученной от клиента, и комиссией, уплаченной при организации данной услуги. Примером такой услуги является выдача клиентам денежной наличности за счет купленной у других банков или в учреждении НБУ. Спрэд возникает лишь тогда, когда банк использует посторонних (третьих) лиц при предоставлении услуг клиентам.
К балансовым принадлежат услуги, которые учитываются на балансовых счетах (кредитные, инвестиционные, валютные операции). Эти услуги, в свою очередь, могут быть активными и пассивными. Услуги, которые не учитываются на балансовых счетах, относят к внебалансовым (гарантии, поручительства, консультации), их предоставление не сопровождается вложением или привлечением средств.
Рынок банковских услуг в Украине находится на стадии формирования. Наибольшим спросом пользуются услуги расчетно-кассового характера. Тем не менее, с развитием рыночного отношения появляется спрос и на такие услуги, как лизинг, факторинг, гарантии, трастовые услуги.
Быстро развивается спрос на услуги банков в сфере обращения ценных бумаг: купля-продажа ценных бумаг по заявкам клиентов, размещение эмиссии ценных бумаг и т.п.
1.2 Классификация основных статей доходов коммерческих банков
Доходы и затраты, которые признаны банком от осуществления банковских операций согласно закону Украины "О банках и банковской деятельности" [1] и от других операций, которые осуществляются соответственно законодательству Украины, с целью отображения их в финансовой отчетности рассматриваются как доходы и затраты, полученные в результате операционной, инвестиционной и финансовой деятельности банка.
Доходы и затраты банка отображаются в бухгалтерском учете по счетам классов 6 и 7 Плана счетов бухгалтерского учета банков Украины, утвержденного постановлением Правления Национального банка Украины от 17.06.2004 N 280 [10] (Приложение В).
Доходы и затраты признаются при таких условиях:
а) признание реальной задолженности по активам и обязательствам банка;
б) финансовый результат операции, связанной с предоставлением (получением) услуг, может быть точно определен.
Доходы и затраты, которые возникают в результате операций, определяются договором между ее участниками или другими документами, оформленными в соответствии с требованиями действующего законодательства Украины.
Доходы и затраты признаются по каждому виду деятельности (операционной, инвестиционной, финансовой) банка.
Критерии признания дохода и затрат применяются в отдельности к каждой операции банка. Каждый вид дохода и затрат отображается в бухгалтерском учете в отдельности.
В результате использования активов банка другими сторонами доходы признаются в виде процентов, роялти и дивидендов.
Проценты признаются в том отчетном периоде, к которому они принадлежат, и рассчитываются, исходя из базы их начисления и срока пользования соответствующими активами. Роялти признаются по принципу начисления в соответствии с экономическим содержанием соответствующего соглашения. Дивиденды признаются в периоде принятия решения про их выплату.
Условием признания процентов и роялти есть вероятность получения банком экономической выгоды, а дивидендов - достоверно оцененный доход.
В операциях по торговле финансовыми инструментами прибыли и убытки признаются при наличии таких условий:
- покупателю переданы риски и выгоды, связанные с правом собственности на активы;
- банк не осуществляет дальнейшее управление и контроль за реализованными активами;
- сумма дохода может быть достоверно определена;
- есть уверенность, что в результате операции состоится увеличение экономических выгод банка;
- затраты, связанные с этой операцией, могут быть достоверно определены.
Не признаются затратами и не включаются в отчет о финансовых результатах:
- платежи по договорам комиссии, агентским соглашениям и другим аналогичным договорам в пользу комитента, принципала и т.п.;
- предыдущая (авансовая) оплата товаров, работ, услуг;
- погашение полученных кредитов, возвращение депозитов и т.п.;
- затраты, которые отображаются уменьшением собственного капитала соответственно действующему законодательству Украины.
В результате операционной деятельности в банке реализуются следующие виды доходов и затрат [13]:
- процентные доходы и затраты;
- комиссионные доходы и затраты;
- прибыли (убытки) от торговых операций;
- доход в виде дивидендов;
- затраты на формирование специальных резервов банка;
- доходы от возвращения прежде списанных активов;
- другие операционные доходы и затраты;
- общие административные затраты;
- налог на прибыль;
- непредвиденные доходы и затраты.
Процентные доходы и затраты тАУ это операционные доходы и затраты, полученные (уплаченные) банком за использование денежных средств, их эквивалентов или средств, которые привлечены банком, суммы которых вычисляются пропорционально времени с применением эффективной ставки процента.
Комиссионные доходы и затраты тАУ это операционные доходы и затраты по предоставленным (полученным) услугам, сумма которых вычисляется пропорционально сумме актива или обязательства, или является фиксированной.
Прибыли (убытки) от торговых операций тАУ это результат (прибыль или убыток) от операций по купле-продаже разных финансовых инструментов, в том числе по операциям с ценными бумагами, по операциям с иностранной валютой и банковскими металлами, в ходе реализации которых банк признает прибыли и убытки:
- от реализации финансовых инвестиций;
- от изменений в оценке (переоценке) инвестиций к справедливой стоимости;
- от результата переоценки активов и обязательств в иностранной валюте и банковских металлах в случае изменения официального курса гривны к иностранным валютам (банковским металлам).
Доход в виде дивидендов тАУ это доход, который возникает в результате использования банком ценных бумаг с нефиксированной прибылью.
Затраты на формирование специальных резервов банка - это затраты на покрытие возможных убытков от уменьшения полезности активов банка и списания безнадежных активов.
Доходы от возвращения прежде списанных активов тАУ это средства, которые поступили для погашения задолженности, которая было признана банком безнадежной относительно получения.
Другие операционные доходы и затраты тАУ это доходы и затраты от операций, которые не связаны с инвестиционной и финансовой деятельностью, а также те, что не включены в вышеупомянутые группы операционных доходов и затрат, в частности:
- доходы (затраты) от оперативного лизинга (аренды);
- затраты на услуги аудита;
- затраты на инкассацию;
- неустойки (штрафы, пени), которые получены (уплачены) по банковским операциям, другое.
Общие административные затраты тАУ это операционные затраты, связанные с обеспечением деятельности банков. К ним принадлежат затраты на содержание персонала (заработная плата, затраты на социальное обеспечение, обязательные начисления, страхование, дополнительные выплаты, премии, обучение и т.п.); амортизация необоротных активов; затраты на содержание и эксплуатацию основных средств и нематериальных активов (ремонт, страхование), другие эксплуатационные затраты (коммунальные услуги, охрана и т.п.); гонорары за профессиональные услуги (юридические, медицинские и т.п.); затраты на связь (почтовые, телефонные, факс и т.п.); уплата налогов и других обязательных платежей, кроме налога на прибыль и прочие затраты, направленные на обслуживание и управление банком.
Налог на прибыль тАУ это операционные затраты банка, связанные с уплатой налога соответственно действующему законодательству Украины и с учетом требований международных стандартов бухгалтерского учета и национальных положений (стандартов) бухгалтерского учета относительно признания отсроченных налоговых обязательств и налоговых активов.
Непредвиденные доходы (затраты) возникают в результате чрезвычайных событий, имеют одноразовый характер, не повторяются по сути и признаются по фактам событий. К ним принадлежат потери от стихийного бедствия, пожаров, техногенных аварий и т.п.; суммы страхового возмещения и покрытие потерь от чрезвычайных ситуаций.
По результатам инвестиционной деятельности банк признает:
- доходы (затраты) по операциям увеличения (уменьшения) инвестиций в ассоциированные компании;
- доходы (затраты) по операциям увеличения (уменьшения) инвестиций в дочерние учреждения;
- доходы (затраты) от реализации (приобретения) основных средств и нематериальных активов и т.п.
По результатам операций, связанных с финансовой деятельностью, банк признает:
- доходы (затраты) по операциям с ценными бумагами собственного долга;
- доходы (затраты) по субординированному долгу;
- дивиденды, которые уплачены на протяжении отчетного периода;
- доходы, которые возникают в результате выпуска инструментов собственного капитала и т.п.
Признанные банком доходы и затраты группируются по их характеру по соответствующим статьям в финансовой отчетности банка "Отчет о финансовых результатах" [11].
1.3 Сущность и классификация видов комиссионных доходов банка
Комиссионные доходы (затраты) - это доходы (затраты) по всем услугам, предоставленным (полученным) контрагентами, кроме комиссионных, которые подобны по природе процентам.
Соответственно МСБО 18 "Доход" [13] в зависимости от цели оценки гонорара за финансовые услуги и учета связанного с ним финансового инструмента признаются такие комиссии:
1) комиссии, которые являются неотъемлемой частью финансового инструмента (например, комиссии за осуществление оценки финансового состояния заемщика, оценки гарантий, залогов, за обсуждение условий кредита, за подготовку и обработку документов);
2) комиссии, полученные (уплаченные) на протяжении периода предоставления услуг (например, за обслуживание кредита);
3) комиссии, полученные (уплаченные) после выполнения определенных действий (например, за услуги банку - координатору консорциума).
К категории комиссионных принадлежат:
1. Комиссионные доходы за гарантии размещения займов от лица других кредиторов и по операциям с ценными бумагами.
2. Комиссионные доходы (затраты) от операций расчетно-кассового обслуживания, обслуживания кредитных (депозитных) счетов, за сохранение ценностей и осуществление операций с ценными бумагами.
3. Комиссионные доходы за проведение операций с иностранной валютой и за продажу или куплю монет и банковских металлов для третьих сторон.
4. Другие комиссионные доходы (затраты) по операциям, которые определяются Законом "О банках и банковской деятельности".
Комиссии, полученные (уплаченные) банком, делятся также на комиссионные: за одноразовые услуги; за услуги по обязательным результатам; за беспрерывные услуги; за услуги, которые предоставляются поэтапно.
К комиссиям за одноразовые услуги принадлежат комиссии за услуги валютного обмена. К комиссиям за услуги по обязательным результатам принадлежат: комиссии за услуги, которые предоставляются на протяжении определенного периода и считаются завершенными только после его окончания, при условии достижения предусмотренного соглашением результата (например, некоторые консультационные услуги); комиссии за услуги по заведомо определенным результатам, который не может быть получен, пока услуга не предоставлена полностью.
К комиссиям за беспрерывные услуги принадлежат арендные платежи, комиссии за расчетно-кассовое обслуживание (кроме уплаты процентов по остаткам средств на счетах контрагентов) и прочие.
К комиссиям за услуги, которые предоставляются поэтапно принадлежат, например, комиссии за предоставление консультаций, которые в соответствии с годовыми или бессрочными соглашениями предоставляются поэтапно.
Комиссии за предоставленные (полученные) услуги банка в зависимости от цели их оценки и основы учета связанного с ними финансового инструмента делятся на [13]:
а) комиссии, которая являются неотъемлемой частью дохода (затрат) финансового инструмента. Эти комиссии признаются в составе первоначальной стоимости финансового инструмента и влияют на определение сумм дисконта и премии по этим финансовым инструментом. К ним принадлежат такие комиссии:
- комиссии за инициирование кредита, которые получены (уплачены) банком и связаны с созданием или приобретением финансового инструмента, который не учитывается в торговом портфеле с признанием переоценки через прибыли/убытки;
- комиссии, которые получены (уплачены) банком по обязательствам кредитования (резервирования кредитной линии) во время инициирования или приобретения кредита;
- комиссии, которые получены (уплачены) банком при выпуске долговых обязательств, которые учитываются по амортизированной себестоимости.
Комиссии за инициирование кредита, которые получены (уплачены) банком и связаны с созданием или приобретением финансового инструмента, который не учитывается в торговом портфеле с признанием переоценки через прибыли/убытки, включают:
- комиссии за оценку финансового состояния заемщика;
- комиссии за оценку гарантий, залогов;
- комиссии за обсуждение условий инструмента;
- комиссии за подготовку, обработку документов и завершение операции и т.п.
б) комиссии, которые получены (уплачены) банком во время предоставления услуг, признаются доходами (затратами). К ним принадлежат:
- комиссии за расчетно-кассовое обслуживание клиентов;
- комиссии за обслуживание кредитной задолженности;
- комиссии за резервирование кредитной линии, которые рассчитываются на пропорциональной времени основе на протяжении срока действия обязательства;
- комиссии за управление инвестицией и т.п.;
в) комиссии, которые получены (уплачены) после выполнения определенных действий, признаются как доход (затраты) после завершения определенной операции. К ним принадлежат:
- комиссии за распределение акций (частиц) клиентов;
- комиссии за размещение ценных бумаг по операциям андеррайтинга;
- комиссии по операциям на валютном рынке и рынке банковских металлов для клиентов;
- комиссии за синдицирование кредита;
- комиссии за доверительное обслуживание клиентов и т.п.
2 АНАЛИЗ ВЛИЯНИЯ ТАРИФИКАЦИИ КОМИССИЙ В ОПЕРАЦИЯХ БАНКОВСКИХ УСЛУГ НА РОЛЬ КОМИССИОННЫХ ДОХОДОВ В ОБЩИХ ДОХОДАХ КОММЕРЧЕСКИХ БАНКОВ УКРАИНЫ
2.1 Динамика комиссионных доходов в банковской системе
Украины в 2003 тАУ 2006 годах
По состоянию на 1 июля 2006 года лицензию Национального банка на осуществление банковских операций в Украине имели 165 банков, в том числе: 131 банк (79,3 % от общего количества действующих банков) тАУ акционерные общества (из них: 89 банков (53,9 %) тАУ открытые акционерные общества, 41 банки (24,8 %) тАУ закрытые акционерные общества), 34 банка (20,6 %) тАУ общества с ограниченной ответственностью (Приложение А) [40].
Общая характеристика финансовых показателей банковской системы Украины может быть представлена следующими группами:
а) Капитал (балансовый) банков имеет такую структуру. Уставной капитал составляет 63,7 % от капитала, эмиссионные разницы 2,5 %, общие резервы, резервный фонд и прочие фонды банков тАУ 15,4 %, результат прошлых лет тАУ 2,5 %, результаты отчетного года, которые ожидают утверждения тАУ 0,3 %, результат текущего года тАУ 7,2 %, результат переоценки основных средств, нематериальных активов и инвестиций в ассоциированные и дочерние компании тАУ 8,4 %.
б) Обязательства банков имеют такую структуру. Средства Национального банка Украины составляют 0,5 % от общей суммы обязательств; коррсчета других банков тАУ 3,0 %; срочные вклады (депозиты) других банков и кредиты, которые полученные от других банков тАУ 17,1 %; средства юридических лиц - субъектов хозяйствования тАУ 29,0 %; средства физических лиц тАУ 37,2 %; средства небанковских финансовых учреждений тАУ 2,7 %; средства бюджета и внебюджетных фондов тАУ 1,2 %; кредиты, которые получены от международных и других финансовых организаций тАУ 1,9 %, ценные бумаги собственного долга тАУ 1,3 %; субординированный долг тАУ 1,7 %; другие обязательства тАУ 4,4 %.
в)Банки имеют такую структуру общих активов. Высоколиквидные акти-вы составляют тАУ 13,1 % от суммы общих активов, кредитные операции тАУ 75,1 %, вложения в ценные бумаги тАУ 5,0 %, дебиторская задолженность тАУ 0,8 %, основные средства и нематериальные активы тАУ 4,7 %, начисленные доходы к получению тАУ 0,9 %, другие активы тАУ 0,4 % от суммы общих активов.
г) За РЖ полугодие 2006 года прибыль банков составил 2147,7 млн. грн., что в 2,4 раза больше, чем за соответствующий период 2005 года ( 892,6 млн. грн.).
Сравнительно с соответствующим периодом минувшего года доходы банков увеличились на 6201,6 млн. грн. или на 52,4 % и составили 18031,0 млн. грн., в т.ч. процентные доходы составляли 13011,3 млн. грн. (или 72,2 % от общих доходов), комиссионные доходы тАУ 3490,3 млн. грн. (19,4 %), результат от торговых операций тАУ 997,2 млн. грн. (5,5 %), другие операционные доходы тАУ448,5 млн. грн. (2,5 %), другие доходы тАУ 51,2 млн. грн. (0,3 %), возврат списанных активов тАУ 32,5 млн. грн.(0,2 %).
Сравнительно с соответствующим периодом минувшего года затраты банков увеличились на 4946,5 млн. грн. или на 45,2 % и составили 15883,3 млн. грн., в т.ч. процентные затраты составляли 7358,7 млн. грн. (или 46,3 % от общих затрат), комиссионные затраты тАУ 320,4 млн. грн. (2,0 %), другие операционные затраты тАУ776,0 млн. грн. (4,9 %), общие административные затраты тАУ 5324,5 млн. грн. (33,5 %), отчисления в резервы тАУ 1702,5 млн. грн. (10,7 %), налог на прибыль тАУ 401,1 млн. грн. (2,5 %).
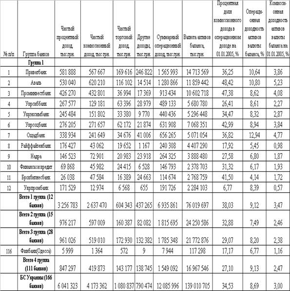
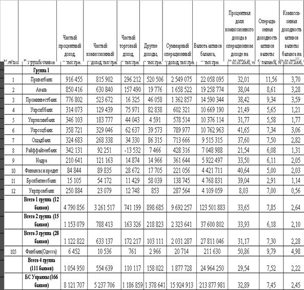
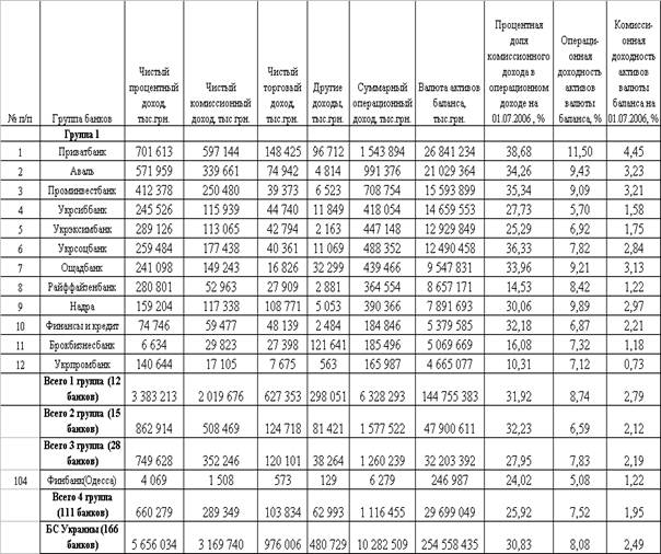
В соответствии с алгоритмом Национального банка Украины банковская система разбита на 4 рейтинговые группы по уровню валюты баланса банка [40] (таблицы 2.1-2.3): 1 группа тАУ 12 банков (системообразующие банки); 2 гру-ппа тАУ 15 банков (большие банки); 3 группа тАУ 28 банков(средние банки); 4 груп-па тАУ 111 банков (малые банки). В таблицах 2.1 тАУ 2.3 представлена структура до-ходов в указанных группах по состоянию на 01.01.2005, 01.01.2006, 01.07.2006.
Таблица 2.1 тАУ Структура доходов и характеристики комиссионных доходов в банковской системе Украины по состоянию на 01.01.2005

Таблица 2.2 тАУ Структура доходов и характеристики комиссионных доходов в банковской системе Украины по состоянию на 01.01.2006

Таблица 2.3 тАУ Структура доходов и характеристики комиссионных доходов в банковской системе Украины по состоянию на 01.07.2006

На рисунках 2.1 тАУ 2.2 представлены сравнительные результаты расчета процентной доли комиссионного дохода в суммарном операционном доходе для основных групп банков Украины, а также результаты расчета комиссионной доходности активов балансов для основных групп банков Украины (данные расчетов представлены в таблицах 2.1 тАУ2.3) по состоянию на 01.01.2005, 01.01.2006, 01.07.2006. В группе 1 - системообразующих банков представлены результаты по всем 12 банкам, в 4 группе показаны результаты по одному АКБ ВлФинбанкВ» (Одесса), который занимает 104 тАУ116 рейтинговые места по объему валюты баланса.

Рисунок 2.1 - Процентная доля комиссионного дохода в суммарном
операционном доходе для основных групп банков Украины по состоянию на 01.10.2005, 01.01.2006, 01.07.2006

Рисунок 2.2 - Комиссионная доходность активов для основных групп банков Украины по состоянию на 01.10.2005, 01.01.2006, 01.07.2006
Анализ результатов, представленных в таблицах 2.1-2.3, а также на рисунках 2.1-2.2, показывает наличие в банковской системе Украины следующих тенденций в структурном месте комиссионных доходов в суммарном операционном доходе банков:
а) Процентная структурная доля комиссионных доходов в 4 группах банков имеет 2 тенденции тАУ снижение доли по мере уменьшения валюты активов баланса банка (фактор размерности банка) и снижение доли по мере развития операций в банковской системе по времени (временной фактор):
- 38,0%(01.01.2005) - 32,0 % (01.07.2006) тАУ для 1 группы;
- 34,0%(01.01.2005) - 32,0 % (01.07.2006) тАУ для 2 группы;
- 32,0%(01.01.2005) - 27,0 % (01.07.2006) тАУ для 3 группы;
- 30,0%(01.01.2005) - 26,0 % (01.07.2006) тАУ для 4 группы;
б) Комиссионная доходность активов валюты баланса в 4 группах банков также имеет 2 тенденции тАУ снижение уровня доходности по мере уменьшения валюты активов баланса банка (фактор размерности банка) и снижение уровня доходности по мере развития операций в банковской системе по времени (временной фактор):
- 3,5%(01.01.2005) - 2,7 % (01.07.2006) тАУ для 1 группы;
- 2,6%(01.01.2005) - 2,1 % (01.07.2006) тАУ для 2 группы;
- 2,4%(01.01.2005) - 2,2 % (01.07.2006) тАУ для 3 группы;
- 2,5%(01.01.2005) - 1,9 % (01.07.2006) тАУ для 4 группы;
На рисунках 2.3 тАУ 2.4 представлены индивидуальные структуры и динамика процентных долей комиссионных доходов в банках 1 группы по состоянию на 01.01.2005, 01.01.2006, 01.07.2006 года, которые показывают отсутствие единого стратегического подхода по формированию комиссионных доходов даже в малой группе 12 системообразующих банков. Так, анализ графиков рисунка 2.1 показывает, что у первых трех банков АКБВлПриватбанкВ», АКБ ВлАвальВ», АКБ ВлПроминвестбанкВ»доля комиссионных доходов в операционном доходе банка (35-38%), а 12 банк 1 группы ( АКБ ВлУкрпромбанкВ») имеет структурную долю комиссионных доходов в 4 раза ниже (9-10%).




Рисунок 2.3 тАУ Структура доходов в банках 1 группы и банке 4 группы
на 01.01.2005

![]() |
Рисунок 2.4 тАУ Структура доходов в банках 1 группы и банке 4 группына 01.07.2006
2.2 Динамика и структура комиссионных доходов в коммерческом банке АКБ тАЬПриватбанктАЭ
Закрытое акционерное общество Коммерческий банк тАЬПриватбанктАЭ (ЗАО КБ тАЬПриватбанктАЭ), зарегистрировано в Национальном банке Украины 19 марта 1992 года, регистрационный номер тАФ 92 [39].
Приватбанк является лидером среди украинских коммерческих банков по количеству клиентов: его услугами пользуются свыше 16% населения Украины.
По состоянию на 31.12.2002 года в банке работало 15 826 сотрудников в сравнении с 10 342 сотрудниками состоянием на 31.12.2001 года. На сегодняшний день в банке работает свыше 28 тысяч сотрудников, из них 3 650 - в головном офисе банка.
Технологическая инфраструктура АКБ ВлПриватбанкВ» по состоянию на 01.09.2006 года характеризуется как [39]:
- количество филиалов и отделений по Украине тАУ 2 224;
- количество автоматов самообслуживания (банкоматов) по
Украине тАУ 3 234;
- количество платежных POS-терминалов в сети торговли и услуг
Украины тАУ 18 695;
- количество эмитированных пластиковых карточек для безналичных
расчетов и работы с автоматами самообслуживания тАУ 11 119 398;
- количество счетов юридических лиц тАУ 233 599;
- количество счетов физических лиц-предпринимателей тАУ 192 029.
В таблицах Б.1 тАУ Б.2 Приложения Б приведены отчетные балансы и отчеты о финансовых результатах АКБ тАЬПриватбанктАЭ за 2003 - 2006 года [38-40].
Состоянием на 01.01.2006 года (по результатам 2005 года) АКБ тАЮПриватбанктАЭ [40] является лидером и занимает следующие рейтинговые места в банковской системе Украины :
- Объем валюты активов баланса тАУ 21 664,360 млн.грн.( 1 место);
- Объем собственного капитала тАУ 2 307,466 млн.грн.( 1 место);
- Объем уставного капитала тАУ 189,228 млн.евро( 2 место);
- Объем кредитно-инвестиционного портфеля
тАУ 16 763,230 млн.грн.( 1 место);
- Объем текущих и срочных депозитов физических лиц
тАУ 9 966,027 млн.грн.( 1 место);
- Объем текущих и срочных депозитов юридических лиц
тАУ 4 016,333 млн.грн.( 3 место);
- Объем балансовой прибыли тАУ 472,042 млн.грн.( 1 место);
- Прибыльность уставного капитала тАУ 41,774 % ( 11 место);
- Прибыльность активов баланса тАУ 2,179 % ( 6 место);
На рисунке 2.5 представлены данные по поквартальной динамике абсолютных величин комиссионных доходов и комиссионных затрат в АКБ ВлПриватбанкВ» в 2003 тАУ2006 годах. На рисунках 2.6 тАУ 2.9 представлена структура комиссионных доходов АКБ ВлПриватбанкВ» в 2003 тАУ2006 годах.
Рисунок 2.5 тАУ Поквартальная динамика комиссионных доходов в АКБ
ВлПриватбанкВ» в 2003 тАУ206 годах
![]() |
Рисунок 2.6 тАУ Постатейная структура комиссионных доходов в АКБ
ВлПриватбанкВ» в 2003 году

Рисунок 2.7 тАУ Постатейная структура комиссионных доходов в АКБ
ВлПриватбанкВ» в 2004 году
![]() |
Рисунок 2.8 тАУ Постатейная структура комиссионных доходов в АКБ
ВлПриватбанкВ» в 2005 году

Рисунок 2.9 тАУ Постатейная структура комиссионных доходов в АКБ
ВлПриватбанкВ» в 2006 году
Как оказывает совместный анализ графиков, приведенных на рисунках 2.5 тАУ 2.9 динамика и структура комиссионных доходов АКБ ВлПриватбанкВ» в 2003 тАУ 2006 годах характеризуется следующими показателями:
а) Устойчивым ростом объемов комиссионных доходов с уровня 483,8 млн.грн. в 2003 году до:
- 606,1 млн.грн. в 2004 году(прирост составляет +25,3%);
- 870,9 млн.грн. в 2005 году (прирост составляет + 43,7%);
- 1 270,6 млн.грн. в 2006 году по данным прогноза за полугодие (прирост составляет +45,8%);
б) Повышением структурной доли комиссионных доходов за расчетно-кассовое обслуживание клиентов и банков с уровня 27,45% в 2003 году до:
- 66,0 % в 2004 году;
- 77,1 % в 2005 году;
- 77,6 % в 2006 году по данным прогноза за полугодие;
в) Понижением структурной доли комиссионных доходов за операции на валютных рынках для клиентов с уровня 19,75% в 2003 году до:
- 7,9 % в 2004 году;
- 5,42 % в 2005 году;
- 3,37 % в 2006 году по данным прогноза за полугодие;
г) Повышением структурной доли комиссионных доходов за операции кредитного обслуживания клиентов с уровня 2,71% в 2003 году до:
- 12,2 % в 2004 году;
- 4,4 % в 2005 году;
- 10,63 % в 2006 году по данным прогноза за полугодие;
д) Повышением структурной доли комиссионных доходов за операции с ценными бумагами клиентов с уровня 2,65% в 2003 году до:
- 5,44 % в 2004 году;
- 12,42 % в 2005 году;
- 6,03 % в 2006 году по данным прогноза за полугодие;
Таким образом, суммарная процентная доля указанных 4-х секторов комиссионных доходов АКБ ВлПриватбанкВ» в 2005 тАУ 2006 годах составила 97,6-99,34 % и определяет стратегическое направление развития комиссионных доходов в банке.
Для сравнительного анализа на рисунке 2.10 приведена постатейная структура комиссионных доходов в АКБ ВлАвальВ» в 2006 году.

Рисунок 2.10 тАУ Постатейная структура комиссионных доходов в АКБ
ВлАвальВ» в 2006 году
Как показывает анализ рисунка 2.10, в АКБ ВлАвальВ» 95,25% комиссионных доходов реализуется только в двух секторах банковских услуг тАУ расчетнокассове обслуживание и операции для клиентов на валютном рынке, т.е. характерные для АКБ ВлПриватбанкВ» сектора кредитного обслуживания и операций с ценными бумагами клиентов в комиссионных доходах АКБ ВлАвальВ» практически отсутствуют.
2.3 Сравнительная характеристика тарификации основныхкомиссий в банковских операциях в АКБ тАЬПриватбанктАЭ и АКБ тАЬФинбанктАЭ(Одесса)
Состоянием на 01.01.2006 года (по результатам 2005 года) АКБ тАЮФинбанктАЭ (Одесса) входит в 4 группу малых банков Украины (111 банков) и занимает 105 - 110 рейтинговые места в банковской системе Украины (165 банков) [40]:
- Объем валюты активов баланса тАУ 211,630 млн.грн.( 105 место);
- Объем балансовой прибыли тАУ 3,30 млн.грн.( 72 место);
- Прибыльность уставного капитала тАУ 6,87 % ;
- Прибыльность активов баланса тАУ 1,56 %;
Таким образом, сравниваемые АКБ тАЬПриватбанкВ» и АКБ ВлФинбанкВ» по масштабам валюты баланса отличаются в 100 раз тАУ объем валюты баланса АКБ ВлФинбанкВ» составляет 0,97% от объема валюты баланса АКБ ВлПриватбанк, объем балансовой прибыли АКБ ВлФинбанкВ» составляет 0,7% от объема балан-совой прибыли АКБ ВлПриватбанк.
В соответствии с данными в таблиц 2.1 тАУ 2.3, относительное масштабирование показателей комиссионных доходов через нормирование на объем валюты баланса показало, что:
а) Относительный уровень комиссионной доходности валюты баланса в АКБ ВлПриватбанкВ» в 2006 году составил 4,45%, относительная доля комисси-онных доходов в операционных доходах составила 38,68%;
б) Относительный уровень комиссионной доходности валюты баланса в АКБ ВлФинбанкВ» в 2006 году составил 1,22%, относительная доля комиссионных доходов в операционных доходах составила 24,02%;
Рассмотрим влияние тарифов комиссионных операций в этих сравниваемых банках на структуру формирования относительной доли комиссионных доходов в операционных доходах банка и комиссионную доходность активов, представленных в таблицах 2.4 тАУ 2.21.
Таблица 2.4 тАУ Тарифы комиссионных вознаграждений в АКБ ВлПриватбанкВ» за операции расчетно-касового обслуживания юрлиц и предпринимателей
N п/п | Услуга | Тариф |
| 1 | Открытие текущего счета в национальной валюте (2600, 2604, 2650): | |
| - юридическим лицам, открывающим корпоративную пластиковую карту | 49 | |
| - в остальных случаях | 99 | |
| - предпринимателям | 29 | |
| 2 | Плата за открытие счета для формирования уставного фонда | 0 |
| 3 | Открытие первого валютного счета | 119 |
| 4 | Открытие последующего валютного счета | 10,0 за каждый |
| 5 | Проведение платежей в системе банка | 0,00 грн. |
| 6 | Проведение безналичного платежа на счета в других банках (фин.учреждениях) с использованием СЭП НБУ в течение операционного дня (в т.ч. со ссудного счета), сумма дебетования: | |
| до 50 грн. | 0,36 | |
| св.50 до 500 | 1,48 | |
| св.500 до 1000 | 2,96 | |
| св.1000 до 10000 | 5,92 | |
| св.10000 до 100000 | 14,87 | |
| св.100000 | 29,70 | |
| 6.1 | Проведение безналичного платежа на счета в других банках (фин.учреждениях) с использованием СЭП НБУ в течение операционного дня (в т.ч. со ссудного счета), сумма дебетования: | |
| до 50 грн. | 0,50 | |
| св. 50 до 1000 | 1,50 | |
| св. 1000 до 10000 | 5,00 | |
| св. 10000 | 10,00 | |
| Разрешить использование п. 6 или п. 6.1 по усмотрению руководителя РП | ||
| 7 | Проведение расчетов клиентов по текущему счету в национальной (иностранной) валюте (2600, 2604, 2605, 2650, 2655) или счету в банковских металлах (без использования систем дистанционного обслуживания) | 10,00 грн. ежемесячно |
| Вместе с этим смотрят:
РЖнвестицiйна дiяльнiсть комерцiйного банку та ii вплив на його фiнансовий стан РЖнвестицiйна полiтика банкiв в Украiнi РЖнкорпорацiя та консолiдацiя як первиннi форми систематизацii банкiвського законодавства Украiни РЖпотечне кредитування як механiзм залучення фiнансових ресурсiв для пiдприiмницькоi дiяльностi |


