Формирование основных понятий о высокомолекулярных веществах в курсе средней школы с экологической составляющей
Человеческое общество по мере своего развития входит во все большую зависимость от сырьевых ресурсов окружающей среды. Масштабы потребления некоторых веществ минерального происхождения уже приближаются, а в будущем могут превысить естественные возможности природы.
Совершенно новые перспективы в планете создания материалов с заданными свойствами открывает химия полимеров. В настоящее время трудно найти отрасль народного хозяйства, где бы ни применялись полимеры; из которых получены материалы с малой плотностью, высокой прочностью, устойчивостью к агрессивным средам, простотой переработки в изделия и т. д.
Основную массу используемых полимеров (около 2/3) составляют полученные более полувека назад полиэтилен, полипропилен, полистирол. Области использования этих полимеров весьма разнообразны - машиностроение, электротехника, транспорт, медицина, строительство и т. д.
С применением полимеров в значительной степени связан прогресс в строительной практике и архитектуре. Внедрение новых полимерных строительных материалов способствует разработке эффективных конструкций, развитию индустриальных методов их производства, созданию красивых, прочных и экономичных зданий.
Актуальность состоит в том, что важной экологической проблемой, связанной с внедрением полимерных материалов, является скопление твердых отходов, среди которых значительную часть составляют полимерные пластмассы, обладающие чрезвычайно высокой устойчивостью.
Материал этой курсовой соответствует трем уровням знаний. Прежде всего, вы получите общую информацию о синтетических высокомолекулярных веществах и процессах полимеризации и поликонденсации. Далее, вы подробно узнаете о некоторых направлениях развития химии полимеров, об их применении в современном мире и о том, какое значение они могут иметь в будущем. И, наконец, общей для всей работы будет очень важная тема: ВлИзучение синтетических высокомолекулярных веществ в учебно-воспитательном процессе средней школыВ».
Целью моей работы является освещение основных наиболее остро стоящих во всем мире экологических проблем, связанных с высокомолекулярными соединениями, и возможные пути их решения.
Задачи:
1. Обзор состояния данного вопроса в современной российской школе.
2. Анализ школьных программ и учебников, а также другой литературы, показывающих как высокомолекулярные соединения изучаются в средней школе.
3. Составить план урока, на котором была бы успешно проведена экологизация знаний.
Глава 1. МЕСТО СИНТЕТИЧЕСКИХ ВЫСОКОМОЛЕКУЛЯРНЫХ ВЕЩЕСТВ И ПОЛИМЕРНЫХ МАТЕРИАЛОВ НА ИХ ОСНОВЕ В ШКОЛЬНОМ КУРСЕ ХИМИИ
1.1 Историческая справка
Термин тАЬполимеризациятАЭ был введен в науку И.Берцелиусом в 1833 г. для обозначения особого вида изомерии, при которой вещества (полимеры), имеющие одинаковый состав, обладают различной молекулярной массой, например этилен и бутилен, кислород и озон. Такое содержание термина не соответствует современным представлениям о полимерах. тАЬИстинныетАЭ полимеры к тому времени еще не были известны.
Химия полимеров возникла в связи с созданием А.М.Бутлеровым теории химического строения. А.М.Бутлеров изучал связь между строением и относительной устойчивостью молекул, проявляющейся в реакциях полимеризации. Дальнейшее свое развитие наука о полимерах получила главным образом благодаря интенсивным поискам способов синтеза каучука.
С начала 20-х годов 20 века развиваются также теоретические представления о строении полимеров.
Вначале предполагалось, что такие биополимеры, как целлюлоза, крахмал, каучук, белки, а также некоторые синтетические полимеры, сходные с ними по свойствам (например, полиизопрен), состоят из малых молекул, обладающих необычной способностью ассоциировать в растворе в комплексы коллоидной природы благодаря нековалентным связям (теория тАЬмалых блоковтАЭ).
Автором принципиально нового представления о полимерах как о веществах, состоящих из макромолекул, частиц необычайно большой молекулярной массы, был Г. Штаудингер.
1.2 Синтетические высокомолекулярные вещества и полимерные материалы на их основе в школьных программах по химии
В программе школьного курса химии на изучении ВлCинтетические высокомолекулярные вещества и полимерные материалы на их основеВ» отводиться 5 часов; эта тема разбита на следующие подразделы: Общие понятия химии высокомолекулярных соединений: мономер, полимер, структурное звено, степень полимеризации, средняя молекулярная масса. Основные методы синтеза высокомолекулярных соединений - полимеризация и поликонденсация.
Линейная, разветвленная и пространственная структура полимеров. Аморфное и кристаллическое строение.
Зависимость свойств полимеров от строения. Термопластичные и термореактивные полимеры. Полиэтилен, полипропилен, полистирол, полиметилметакрилат.
Фенолформальдегидные смолы, их строение, свойства, применение. Композиты, особенности их свойств, перспективы использования. Проблема синтеза каучука и ее решение.
Многообразие видов синтетических каучуков, их специфические свойства, применение. Стереорегулярные каучуки. Синтетические волокна.
Полиэфирное (лавсан) и полиамидное (капрон) волокна, их строение, свойства, практическое использование. Экологические аспекты данной темы в школьной литературе изложены очень поверхностно или не изложены вовсе.
В школьных учебниках ВлХимия. 10 классВ»/Г. Е. Рудзитис, Ф. Г. Фельдман, ВлХимия. 11 классВ»/Г. Е. Рудзитис, Ф. Г. Фельдман и Пособие по химии для поступающих в вузы/ Г. П. Хомченко, на эту тему выделено три основных параграфа: Вз 1.Понятие о высокомолекулярных соединениях, Вз 2. Синтетические каучуки, Вз 3. Синтетические волокна, и мы будем рассматривать каждый параграф более подробно.
1.2.1 Понятие о высокомолекулярных соединениях
Полимеры, получаемые в реакциях полимеризации.
Строение молекул. Полимеризация тАУ это последовательное соединение одинаковых молекул в более крупные [1, 3].
При повышенной температуре и давлении или в присутствии катализаторов молекулы этилена соединяются друг с другом вследствие разрыва двойной связи. В упрощенном виде такую реакцию можно выразить так [2]:

Полимеризация характерна для многих органических веществ, в молекулах которых имеются двойные или тройные связи, например:

В результате таких реакций образуются высокомолекулярные соединения, которые называются полимерами (греч. ВлполиВ»- много, ВлмеросВ»- часть). Вещества, из которых получают полимеры, называются мономерами, а молекулы полимеров тАУ макромолекулами (греч. ВлмакросВ»- большой, длинный).
Буква n показывает, сколько молекул мономера взаимно соединилось в процессе полимеризации; её называют степенью полимеризации, а многократно повторяющиеся в макромолекуле группы атомов тАУ структурными звеньями. Например, структурные звенья полиэтилена и полипропилена такие:
и 
Характерно, чтостепень полимеризации не является величиной постоянной. Так, при полимеризации этилена могут образоваться макромолекулы, у которых число n колеблется от 300 до 100 000. Поэтому обычно указываемая для данного полимера относительная молекулярная масса является его средней молекулярной массой.
Рассмотрим два представителя полимеров тАУ полиэтилен и полипропилен. Они относятся к так называемым линейным полимером, хотя фактически имеют зигзагообразное строение. Их молекулы сильно изогнуты в различных направлениях , иногда даже свернуты в клубки.
В процессе полимеризации, например, пропилена, может образоваться полимер со стереонерегулярной структурой:

Стереонерегулярной эта структура называется потому, что радикалы тАУCH3 в ней размещены хаотически тАУ по одну и другую стороны цепи. Обычно в процессе полимеризации образуются полимеры со стереонерегулярной структурой [1].
Получение. Еще недавно полиэтилен ( тАФ CH2 тАФ CH2 тАФ )n получали под высоким давлением при повышенной температуре. Реализация такого производственного процесса была весьма сложной. В последнее время полимеризацию проводят при атмосферном давлении и комнатной температуре в присутствии триэтилалюминия и хлорида титана.
Синтезированный таким путем полиэтилен плавится при более высокой температуре и обладает большей механической прочностью, так как имеет большую молекулярную массу и меньше ответвлений. Подобным образом получают полипропилен, поливинилхлорид, полистирол, полиметилметакрилат и некоторые другие полимеры.
Физические свойства. Полиэтилен значительно легче воды, его плотность примерно 0,92 г/см3. Он эластичен, в тонком слое бесцветный, прозрачный, на ощупь несколько жирный, напоминающий парафин. Если кусочек полиэтилена нагреть, то уже при температуре 110 В°С он становится мягким и легко изменяет форму, но при очень сильном нагревании полиэтилен разлагается. При охлаждении полиэтилен затвердевает и сохраняет приданную ему форму.
Свойство тел изменить форму в нагретом состоянии и сохранять её после охлаждения называют термопастичностью.
Полипропилен отличается от полиэтилена более высокой температурой плавления (плавится при температуре 160 тАУ 180В°С) и большей механической прочностью.
Химические свойства. Полиэтилен и полипропилен обладают свойствами предельных углеводородов. При обычных условиях эти полимеры не реагируют ни с серной кислотой, ни со щелочами. (Концентрированная азотная кислота разрушает полиэтилен, особенно при нагревании.) Они не обесцвечивают бромную воду и раствор перманганата калия даже при нагревании.
Применения. Полиэтилен и полипропилен химически устойчивы, механически прочны, поэтому их широко применяют при изготовлении оборудования в различных отраслях промышленности (аппараты, трубы, сосуды и т. д.). Они обладают высокими электроизоляционными свойствами. Полиэтилен и полипропилен в тонком слое хорошо пропускают ультрафиолетовые лучи. Пленки из этих материалов используются вместо стекла в парниках и теплицах. Их применяют также для упаковки разных продуктов [1] .
Но у Хомченко [3] то, что изложено про многие синтетические высокомолекулярные вещества, отличается от [1], и мы рассмотрим некоторые эти вещества:
Поливинилхлорид- продукт полимеризации хлористого винила CH2=CHCl. Этот полимер обладает ценными свойствами: он не горюч, легко окрашивается. Широко применяется для изоляции проводов и кабелей.
Тефлон - продукт полимеризации тетрафторэтилена CF2=CF2. Это самое инертное органическое вещество, обладает высокой морозо- и теплоустойчивостью. [3]
Полимеры, получаемые в реакциях поликонденсации.
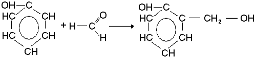
Строение молекул. Реакция поликонденсации тАУ процесс образования высокомолекулярных соединений из низкомолекулярных, которые сопровождается выделением простых низкомолекулярных продуктов (H2O, NH3, HCl и др.) [3, 5]. Рассмотрим, как при реакции поликонденсации образуются фенолформальдегидные смолы. Известно, что в молекуле фенола в положениях 2, 4 и 6 атомы водорода весьма подвижны, а для альдегидов характерны реакции присоединения, обусловленные наличием в них p-связи. В связи с этим реакцию фенола с формальдегидом можно отразить так:

Это промежуточное соединение затем реагируют с другими молекулами фенола:

Далее образовавшийся продукт реагируют с другими молекулами метаналя, а затем тАУ с молекулами фенола и т. д. В результате этих реакций получаются высокомолекулярное вещество тАУ фенолформальдегидная смола и побочный продукт тАУ вода.
При повышенной температуре и давлении между разветвленными молекулами полимера происходит химическое взаимодействие и образуется полимер с пространственной структурой. Такой материал теряет термопластичность и становится более прочными.
Полимеры, которые при повышенной температуре не размягчаются и не плавятся в отличие от термопластичных полимеров, называются термореактивными.
Применение. Изфенолформальдегидного полимера (смолы), добавляя различные наполнители (древесная мука, хлопчатобумажная ткань, стеклянное волокно, различные красители и т. д.), получают фенолформальдегидные пластмассы, которые сокращенно называют фенолпластами [1, 3] .
Еще в [3] изложено, что фенопласты- важнейшие заменители цветных и черных металлов во многих отраслях промышленности. Из них изготовляются большое количество изделий широкого потребления, электроизоляционные материалы и строительные детали [3] .
1.2.2 Синтетические каучуки
В России нет природных источников получения натурального каучука, поэтому необходимо было получить его синтетическим путем [2].
Под руководством академика С. В. Лебедева впервые в мире был разработан метод промышленного производства синтетического каучука из 1,3-бутадиена (1932 г.). Его получали из этилового спирта. В настоящее время для получения синтетических каучуков в основном используются углеводороды, содержащиеся в нефтяных газах и продуктах переработки нефти.
Производство бутадиенового каучука основывается на полимеризации 1,3-бутадиена в присутствии катализатора:
![]()
где может достигать нескольких тысяч.
Однако оказалось, что группы − CH2 − в звеньях макромолекул в отличие от природного каучука расположены по разные стороны двойной связи, т. е. находятся в транс- положении:
Впоследствии на основе изучения пространственного строения природного каучука ученым удалось решать проблему синтеза не только дивинилового каучука, но и изопренового каучука стереорегулярного строения [1, 2, 3] .
Некоторые синтетические каучуки получают из различных мономеров в результате их совместимой полимеризации, называемой сополимеризацией. Так, например, при сополимеризации 1,3-бутадиена со стиролом синтезируют бутадиенстирольный каучук [1]:

Для улучшения качества натуральных и синтетических каучуков их превращают в резину. Резина - это вулканизированный каучук. Сущность вулканизации состоит в том, что атомы серы присоединяются к линейным молекулам каучука по месту двойных связей и как бы сшивают эти молекулы друг с другом. Резина прочнее каучука и более устойчива к изменению температуры [2, 3].
Этот раздел в [1 ,2] изложен очень хорошо, но в [3] - очень мало по объему.
Волокнами называют материалы, получаемые из натуральных и синтетических, органических и неорганических веществ, имеющие очень малые поперечные размеры, их длина должна не меньше чем в 100 раз превышать диаметр. Например: хлопковое волокно, шелк, шерсть, капрон и др. [5]. Капрон относится к полиамидным волокнам. Для его производства используются некоторые производные аминокислот, например, капролактам. Его можно рассматривать как продукт внутримолекулярного взаимодействия карбоксильной группы и аминогруппы молекулы 6-аминогексановой
кислоты: 
Упрощенно превращение капролактами в полимер, из которого производят капроновое волокно, можно представить следующим образом. Капролактам в присутствии воды превращается в 6-аминогексановую кислоту, молекулы которой реагируют друг с другом:

В результате этой реакции образуется высокомолекулярное вещество, макромолекулы которого имеют линейную структуру. Отделенные звенья полимера являются остатками 6-аминогексановой кислоты [1, 2]:

Полимер представляет собой твердое вещество, размягчающееся при температуре 210 В°С и плавящееся при 225 В°С. Для получения волокон капрон плавят, пропускают через фильеры. Струи полимера охлаждаются потоком холодного воздуха и превращаются в волоконца, при скручивании которых образуются нити [2].
Капроновая смола используются для получения пластмасс. Из них изготовляют различные детали машин, шестерни, вкладыши для подшипников и т. д. Предметы из капроновых пластмасс обладают исключительно большой прочностью и износоустойчивостью [1].
Лавсан- полиэфирное волокно. По своему составу лавсан тАУ сложный эфир терефталевой кислоты и этиленгликоля. Этиленгликоль - это двухатомный спирт. Терефталевая кислота- процесс окисления -кислол. При
взаимодействии последней с этиленгликолем получается сложный эфир:
![]()
При поликонденсации этого эфира образуется высокомолекулярное вещество тАУ лавсан:

Промышленный процесс получения лавсана более сложный. Волокно лавсан добавляют к шерсти для изготовления немнущихся высококачественных тканей и трикотажа. Его применяют также для производства транспортерных лент, ремней, занавесей, парусов и т. д. [1].
В этой главе мы узнали о полимерах и их структуре и о ступенчатой полимеризации и поликонденсации. И в следующей главе мы будем рассматривать связанные с ними экологические вопросы.
ГЛАВА
II. ЭКОЛОГИЧЕСКАЯ ПРОБЛЕМАТИКА, СВЯЗАННАЯ С СИНТЕТИЧЕСКИМИ ВЫСОКОМОЛЕКУЛЯРНЫМИ ВЕЩЕСТВАМИ И ПОЛИМЕРНЫМИ МАТЕРИАЛАМИ НА ИХ ОСНОВЕ
2.1 Полимеры в решении сырьевой проблемы
Человеческое общество по мере своего развития входит во все большую зависимость от сырьевых ресурсов окружающей среды. Масштабы потребления некоторых веществ минерального происхождения уже приближаются, а в будущем могут превысить естественные возможности природы.
Совершенно новые перспективы в планете создания материалов с заданными свойствами открывает химия полимеры. В настоящее время трудно найти отрасль народного хозяйства, где бы ни применялись полимеры; из которых получены материалы с малой плотностью, высокой прочностью, устойчивостью к агрессивным средам, простатой переработки в изделия и т. д. Синтетические высокомолекулярные соединение получают из низкомолекулярных соединений путем полимеризации, полиприсоединении и поликонденсации.
По прогнозам полиолефины и в будущем будут играть решающую роль.
Гигантские молекулы обеспечили новыми материалами не только промышленности, но они помогли обуть и одеть человечество.
Предполагают, что в XXI в. на каждого человека будет выпускаться 9-12 кг волокна, причем максимальная доля синтетики составляет 70%.
Развитие химии полимеров обеспечило снижение расхода древесины на нужды мебельной промышленности и строительства. Создание композиционных материалов на основе полимеров и древесины позволило использовать не только малоценные породы, но и отходы древесины.
Таким образом, в настоящее время в нашем распоряжении имеется широкая гамма полимеров, которые продолжают завоевывать мир.
Однако при использовании полимерных материалов следует учитывать несколько весьма важных обстоятельств. По своему качественному составу большинство полимеров относятся к органическим соединениям, содержащие значительное количество углерода и водорода; поэтому они горючи (это 1-й отрицательный фактор). Термическое разложение при горении полимеров часто сопровождается выделением большого количества токсичных газообразных соединениях. (CO, HCN, HCl и др.; это 2-й отрицательный фактор).
Важной экологической проблемой связанной с внедрением полимерных материалов является скопление твердых отходов, среди которых значительную часть составляют полимерные пластмассы, обладающие чрезвычайно высокой устойчивостью.
В России, например, количество полимерных отходов сопоставимо с ежегодным объемом выпуска пластмасс. С отходами полимерных материалов за частую невозможно справиться, поэтому, например, создаются полимерные материалы со специальными добавками. Отслужив свой век, эти материалы легко деструктируют под действием света, тепла и специальных микробов [6,8].
2.2 Поливинилхлорид и материалы на его основе
Поливинилхлорид (ПВХ) один из наиболее широко применяемых полимерных материалов и объемы производства его неуклонно возрастают, так как растет спрос на изделия из него. Это связано с тем, что механические свойства ПВХ материалов меняются в очень широких пределах, например от полной гибкости (искусственная кожа) до значительной жесткости (строительные профили), и зависят от состава исходной полимерной композиции. ПВХ материалы химически инертны и имеют хорошую свето- и погодостойкость. Они имеют одни из самых высоких электроизоляционных свойств среди полимеров и относятся к группе трудногорючих материалов. Снижение горючести у пластифицированных композиций достигается путем применения антипиренов.
Многие экстремистски настроенные члены различных организаций по защите окружающей среды и производители аналогичных материалов заявляют, что:
В· ПВХ высокогорючий материал;
В· Изделия из ПВХ во время эксплуатации выделяют большое количество ядовитых веществ, в том числе высокотоксичный винилхлорид (ВХ);
В· Производство и утилизация ПВХ приводит к образованию супертоксичных полихлорированных дибензопарадиоксинов (ПХДД) и бензофуранов (ПХДФ);
В· Изделия из ПВХ невозможно повторно использовать;
В· Производство и потребление ПВХ сопряжено с большими энергетическими затратами.
Для оценки правомочности таких заявлений приведем некоторые данные научных исследований и эксплуатации изделий из ПВХ.
Однако уже отмечалось ранее, что ПВХ тАУ трудногорючий материал. Он горит только непосредственно в зоне огня. Вне пламени ПВХ гаснет. Благодаря этому его применяют в качестве полимерного замедлителя горения. В современных ПВХ пластиках применяются антипирены повышенной эффективности и с минимальным негативным воздействием на окружающую среду.
Винилхлорид из ПВХ и изделий из него не выделяется ни при каких условиях. Современные предприятия производят ПВХ с содержанием остаточного ВХ менее 10 млн-1. более того на некоторых производствах этот показатель снижен в 10 раз и составляет 1 млн-1. При разложении ПВХ (терморазложение, старение) деполимеризации не происходит.
Ученые-эксперты из университетов Германии и Швеции в течение трех лет изучали разные ПВХ продукты при захоронении их в земле. При этом определяли возможность выделения ВХ и аддитивов в процессе деградации ПВХ в земле. Результаты показали, что ПВХ устойчив в условиях захоронения в земле. Выделение пластификаторов и стабилизаторов может иметь место, но в таких количествах, которые не представляют опасности для окружающей среды, а ВХ не выделяется вообще.
Существуют данные о выделении свинца в воду из ПВХ труб, содержащих свинцовый термостабилизатор. Установлено, что содержание свинца в воде даже после использования ряда провоцирующих условий было в 8-10 раз меньше ПДК, установленной ВОЗ.
В процессе производства и сжигания ПВХ в окружающую среду могут выделяться ПХДД и ПХДФ. Однако эмиссия этих веществ находится на существенно более низком уровне, чем считалось ранее. Исследования, выполненные в Голландии, показали, что эмиссия диоксинов при неконтролируемом сжигании ПВХ и древесины составляет 6,67 мкг на тонну. Для сравнения, при неконтролируемом сжигании чистой древесины этих веществ образуется 3-28 мкг на тонну. На количество образующихся ПХДД и ПХДФ при сжигании прежде всего влияет конструкция печей и рабочие характеристики процесса, а вовсе не присутствие или отсутствие ПВХ в горящем материале.
Имеются данные, свидетельствующие о присутствии ПХДД и ПХДФ в природе до 1990 г., т.е. задолго до начала производства хлорорганических веществ и хлора. Присутствие ПХДД и ПХДФ в образцах почвы объясняется сжиганием природного топлива (древесина, уголь). По мере накопления экспериментальных данных становится очевидным, что и с особой супертоксичностью ПХДД и ПХДФ не совсем все ясно.
Разработано много способов рециклинга (повторного использования) ПВХ материалов. Часть из них реализована в промышленности. Например, в Германии работают 7 предприятий по переработке отходов ПВХ. Фирма VEKA перерабатывает оконные рамы после 30-40 лет эксплуатации по собственной технологии. Новые строительные профили с внутренними элементами выпускаются из рециклированного ПВХ. На рынок поступают трубы, напольные покрытия и другие изделия из вторичного ПВХ.
Для утилизации ПВХ отходов применяются и химические методы. Окислительное щелочное разрушение жестких ПВХ гранул превращает их в щавелевую кислоту и углекислый газ. Постоянно совершенствуются методы сжигания. Разработан экологически прогрессивный способ сжигания городских отходов с предварительной их газификацией и гомогенным горением. Данный способ разработан в Объединенном институте химической физики РАН и апробирован на зарубежных заводах, при этом доказано, что гомогенный синтез диоксинов из газообразных продуктов сгорания невозможен.
Использование ПВХ изделий приводит к существенной экономии энергии.
Известно, что окна занимают около 20% площади ограждающих конструкций зданий и через них теряется до 50% тепловой энергии. Применение оконных профилей из ПВХ со стеклопакетами позволяет практически исключить эти потери. Соответственно снижается нагрузка на производство тепловой энергии. Нужно меньше сжигать топлива (угль, мазут), а это, как известно, способствует улучшению экологической обстановки.
Использование ПВХ изделий имеет больше преимуществ в области экологии, чем недостатков. Строительные профили из ПВХ (окна, двери и др. изделия) предотвращают вырубку леса. Человеку предоставлена возможность не рубить живое дерево, а использовать материалы-заменители, в том числе и ПВХ, изделия из которых могут эксплуатироваться десятки лет. Это будет способствовать снижению экологической нагрузки от производства других материалов (дерево, металлы и др.), а также обеспечит время необходимое для восстановления экологических систем.
2.3 Пенополистирол в строительстве - это опасно или нет?
В России продолжается строительный "бум". В городах строятся многоэтажные жилые дома, в зеленых зонах - частные коттеджи. На садовых участках менее обеспеченные граждане возводят домики из пеноблоков или других современных и недорогих материалов. И мало кто задумывается о последствиях такого строительства для его собственного здоровья. Достаточно заглянуть на сайт любой строительной фирмы, и вы увидите, что самый недорогой и популярный материал - пенополистирол. Свойства пенополистирола требуют дополнительного изучения.
У пенополистирола существуют три неотъемлемых отрицательных свойства, исходящих из его природы, к которым надо относиться просто осторожно, с пониманием этих процессов. Во-первых, это пожарная опасность. Во-вторых, это недолговечность. И, в-третьих, это экологическая небезопасность. Эти свойства требуют дополнительных исследований. Они не требуют запрещения материала, но они требуют дополнительного - внимательного - к нему отношения и дополнительных исследований. Пенополистирол во время горения выделяет много токсичных веществ, это - раз. Полистирол - это стирол, который заполимеризован, у него молекулы длинные и объемные. На самом деле, 100-процентной полимеризации никогда не бывает. А раз не бывает 100-процентной полимеризации, значит, стирол в этом объеме остается.
А стирол - это вещество, которое, вообще говоря, токсично. Он - такой же, как бензол, как этилбензол, он - из той категории веществ, с которыми лучше не иметь дела. Причем не будем говорить об острой мгновенной токсичности. Мы будем говорить о токсичности хронической, той, которая действует на людей - не на крыс, а именно на людей, - в течение десятилетий, малыми дозами, ниже критических, ниже ПДК. Опыты такие поставлены.
Люди живут в обстановке, когда в жилой атмосфере есть стирол, (пусть концентрации и ниже ПДК); проходит год, два, три - и дальше находится работа врачам. Стирол оказывает сильное воздействие на печень, от этих микродоз стирола достается сердцу, у женщин - особые проблемы.. В общем, токсический гепатит - так или иначе, мы кружимся вокруг этого диагноза. Кроме стирола, выделяются и другие вещества, включая фенол, формальдегид, этилбензол и так далее. Это - работа для санитарных врачей. Санитарные врачи, естественно, живут одним днем. Когда им приносят на проверку, скажем, пенополистирол той или иной новой марки, что они делают? - Они на мышах и на крысах изучают смывы водой, смывы спиртом.. Но это же все - кратковременные вещи, опыт на 5-10 лет никто же не ставит. А в данном случае люди говорят именно об этом - об опыте на 5-10 лет. И такие опыты в мире известны - когда люди много лет работали в такой атмосфере. Пенополистирол - не самый хороший материал. Просто люди должны это знать - они имеют право на это знание. Вторая сторона дела - сам полистирол, то есть уже не в пенном виде, а просто как полимер, например - в виде чашек или тарелок. Есть профессии, когда люди этим часто пользуются. На работе их кормят из такой посуды -выделяется стирол.
Полистирольные плитки - ими облицовывают помещения. И там при определенных температурах (30, 40, 50 градусов в ванной или, скажем, в кухне, у плиты это нормально) выделяется стирол. Причем есть факты, есть случаи, описанные в журнальных статьях, когда выделение бывает достаточно высокое - много выше ПДК, причем - не только стирола. "Свойства пенополистирола меняются от воздействия неконтролируемых, случайных факторов, и выбор данного материала в качестве утеплителя экономически не выгоден (при эксплуатации здания более 10 лет) и потенциально опасен" [7, 9] .
2.4 Разрушающиеся пластмассы
Большинство пластмасс не разлагаются в окружающей среде, так как живые организмы тАУ деструкторы (грибы и бактерии) не имеют ферментов, необходимых для их разрушения. Известны два важные вида разрушающихся пластмасс:
1.Биополимеры. Это высокомолекулярные соединения, которые производятся живыми организмами и которые деструкторы способы разлагать.
2.Синтетические пластики, специально разработанные так, что они разрушаться в природных условиях. Таких пластики бывают, трех видов:
В· Фоторазрушающиеся пластики - полимерные материалы, разрушающиеся на свету
В· Синтетические биоразрушаемые пластики, подверженные действию бактерий
В· Растворимые пластики, которые растворяются в воде.
Биополимеры
Полигидроксибутаноаты тАУ это природные полиэфиры, вырабатываемые некоторыми бактериями и используемые ими как источник энергии. Микроорганизмы, имеющиеся в почве, во внутренних водоемах, в океане способны разрушить эти полимеры. Полное разрушение полигидроксибутаноатов в окружающей среде обычно происходит в течение 9 месяцев. За все, однако, нужно платить: произвести эти полимеры почти в 15 раз дороже, чем полиэтилен.
Фоторазрушение
Карбонильные группы C=O поглощают излучение в диапазоне длин волн 170-360 нм. Это соответствует ближней ультрафиолетовой области солнечного спектра. Эти группы можно внедрить в полимер в качестве энергетических ловушек. Поглощение энергии приведет к разрыву соседних с карбонильной группой связей, и полимер может распасться на фрагменты, которые будут подвержены биоразрушению.
Синтетические биоразрушаемые пластики
Некоторые пластиковые мешки изготовлены из полиэтилена, в который внедрены гранулы крахмала. Когда мешок выбрасывают, имеющиеся в почве микроорганизмы поедают крахмал. В результате мешок разваливается на очень малые куски остатков полиэтилена, биодеградация которых происходит более быстро.
Растворимые пластики
Если с загрязненным больничным бельем обращаться ненадлежащим образом, есть риск распространения инфекции. Опасности можно избежать, если использованное белье поместить в пакет из растворимого пластика. Грязное белье надежно хранится, пока пакет не отправят в стиральную машину: там пакет растворяется в воде и не мешает стирке.
Растворимые пластиковые пакеты изготавливают из поливинилового спирта. Это новый полимер, получаемый гидролизом или алколизом из другого полимера, поливинилацетата [13, 14].
2.5 Разложение или повторное использование отходов?
Для изготовления всякой вещи, включая предметы из пластмассы, требуется энергия. Часть энергии идет на производство собственно материала, в данном случае полимера, остальное требуется для переработки, то есть изготовления конечного изделия.
Основная часть энергия тратится на производство пластмассы, так что исходя, из целей энергосбережения можно заключить, что повторное использование тАУ это дело полезное.
Ситуации здесь, однако, сложнее, чем в случае стекла. Находящееся в употреблении стекло в основном одного типа и всего-то трех цветов.
Сколько же стоит сбор и сортировка пластмассовых отходов? И для чего можно использовать полученный из вторичного сырья пластик? Есть много областей применения, для которых бывший в употреблении пластик непригоден. Например, большинству людей не нравится, если пищевые продукты упаковывают в такой пластик.
Тем не менее, в Великобритании 60 компаний заняты рециклом полимерного вторичного сырья, они возвращают около 150 000 тонн полимерных материалов в год. Две трети повторно используемых пластиков получают из промышленных отходов, и большая часть тАУ это ВлчистыеВ» материалы: отходы непластифицированного при изготовлении оконных рам, отслужившие свое ящики и корпуса автомобильных аккумуляторов из полипропилена.
Пока экономически невыгодно заниматься рециклом смесей различных пластиков из бытовых отходов. Когда это станет возможным, было бы неплохо вернуться к нынешним пластиковым отходам, произвести их сортировку и повторно использовать. Этого иногда нельзя будет сделать, если мы будем выбрасывать отслужившие изделия из пластиков на свалки вместе с другими отходами. Так что, может быть. Нам следует сейчас собирать пластиковые отходы отдельно от других, с тем, чтобы будущие поколения имели ресурсы, которые можно было бы использовать. [13, 14].
В этой главе мы рассмотрели некоторые (на самом деле их гораздо больше) экологические вопросы, связанные с удалением и повторным использованием отходов из пластмасс. И в следующей главе мы будем рассматривать, способы проведения уроков в школе по этой теме.
ГЛАВА 3. ИЗУЧЕНИЕ СИНТЕТИЧЕСКИХ ВЫСОКОМОЛЕКУЛЯРНЫХ ВЕЩЕСТВ НА УРОКЕ ПО ХИМИИ В СРЕДНЕЙ ШКОЛЕ
3.1 План урока
Урок 1. Тема урок. Понятие о высокомолекулярных соединениях
Цель урока: Систематизировать и углубить знания учащихся о высокомолекулярных веществах.
Задачи: 1. ввести понятия тАУ мономер, полимер, степень полимеризации, структурное звено, средняя молекулярная масса. 2. Ознакомить с разными структурами полимеров (линейной, разветвлённой и др.). 3. научить доказывать влияние строения полимеров на их свойства. Ученики должны узнать сущность реакций полимеризации и поликонденсации, уметь записывать уравнения химических реакций.
Материалы и оборудование: моделимолекул этилена, пропилена, хлорвинила, стирола; выставка изделий из пластмасс и полимеров.
Тип урока: комбинированный, с элементами беседы и лекции.
1.Организационый момент, т.е. приветствие, проверка присутствующих (1-2 мин.).
I. Опрос домашнего задания и по
Вместе с этим смотрят:
РЖгрова дiяльнiсть в групi продовженого дня
РЖнновацiйнi методи навчання на уроках зарубiжноi лiтератури
РЖнтенсифiкацiя навчального процесу у вищiй школi