Полiтичний PR
Курсова робота
на тему:
ВлПолiтичний PRВ»
Киiв тАУ 2010
Вступ
Актуальнiсть даноi роботи полягаi у необхiдностi вивчення полiтичного PR як невiдтАЩiмноi складовоi сучасного розвинутого суспiльства. З одного боку полiтика (iнститут держави) виникла iз розвитком суспiльного ринкових вiдносин, початок цього процесу сягаi у давнину. З iншого боку людство зiткнулось iз проблемою донесення iнформацii. Вперше серйозно замислились над цим у ХХ столiттi. В цей час виникло питання пропаганди та iдеологiчноi боротьби.
ОбтАЩiктом даноi роботи i полiтичний PR.
Предметом даноi роботи i розгляд питання полiтичного PR як сфери суспiльноi комунiкацii.
Мета даноi роботи тАУ вивчити явище полiтичного PR.
Задачi даноi роботи:
Ø Визначити PR як суспiльне явище та його застосування у полiтичних процесах.
Ø Дослiдити сферу полiтичних комунiкацiй.
Ø Визначити роль впливу полiтичного PR на електоральну поведiнку.
Ø Вивчити роль ЗМРЖ у полiтичному PR
Ø Охарактеризувати специфiку дiяльностi окремих галузей ЗМРЖ.
Розробленiсть даноi теми. Питання полiтичного PR розглядаiться багатьма захiдними (Грiнберг Т, Дейвiс Ф., Блондель Ж., Ноель-Нойман Е., Катлiп С., Картер Т. та iншими), а також схiдноiвропейськими дослiдниками (Дмитрiiв А.В., Ковлер А.РЖ., Ольшанський Д.В, Почепцов Г.Г., Кочубей Л., Лебедiва Т.А. та iншi). Дана тематика i досить розробленою враховуючи ii актуальнiсть. Однак полiтичний процес не стоiть на мiсцi, тому завжди i необхiднiсть у нових дослiдженнях.
1. Теоретико-методологiчнi засади вивчення PR
1.1 PR як складова суспiльних вiдносин
Будь-яка органiзацiя прагне зайняти на ринку певну нiшу, повинна подбаi про власну iндивiдуальнiсть. Саме цьому сприяi комплекс комунiкацiйних елементiв серед яких важливе значення маi PR.
Зараз iснуi досить багато визначень сутностi науки PR. Один з провiдних дослiдникiв американець Сем Блек визначаi PR як Влмистецтво i науку досягнення гармонii за допомогою взаiморозумiння, заснованого на правдi i повнiй iнформованостiВ». Дуже жорстке i по-американськи прагматичне визначення PR приводиться в книзi ВлКомунiкацiйний менеджментВ»: ВлPR тАУ це дiяльнiсть з перекладу прагматичних цiлей органiзацii в прийнятну для суспiльства полiтикуВ». У бiльш розгорнених визначеннях PR тАУ наука про комунiкацii, що маi на метi створення атмосфери довiри мiж iндивiдуумом i групою, групою i суспiльством в цiлому та надаi iнформацiйний вплив на громадську думку. PR тАУ це планованi, тривалi зусилля, спрямованi на створення i пiдтримку доброзичливих вiдносин i взаiморозумiння мiж органiзацiiю та громадськiстю.
Основнi завдання PR лежать в областi удосконалення зовнiшнiх i внутрiшнiх комунiкацiй. Зовнiшнi комунiкацii, що займають до 80% часу, лежать в областi комунiкацiй iз засобами масовоi iнформацii тАУ ЗМРЖ.
Внутрiшнi комунiкацii мають на своiй метi створення атмосфери взаiморозумiння i спiвпрацi усерединi органiзацii.
PR сьогоднi включаi в себе наступнi структурнi складовi зовнiшньоi i внутрiшньоi середовища органiзацii:
Ø Акцiонери;
Ø РЖнвестори;
Ø Кредитори;
Ø Фiнансовi установи та органiзацii;
Ø Клiiнти;
Ø Партнери;
Ø Конкуренти;
Ø Власний персонал фiрми;
Ø Урядовi i законодавчi органи;
Ø Мунiципальнi органи;
Ø ЗМРЖ;
Ø Професiйнi асоцiацii;
Ø Навчальнi заклади;
Ø Громадськi органiзацii i т.п.
PR складовий елемент стратегii компанii прагне забезпечити своi лiдируючi позицii на ринку.
PR тАУ це, перш за все, формування iмiджу органiзацii та потрiбного iй громадськоi думки шляхом точкових методiв, при яких певнiй групi пропонуiться саме та iнформацiя, яка iй цiкава.
Дуже важливий i злободенний круг питань PR зосереджений навколо забезпечення iмiджу органiзацii, персонально ii керiвникiв i спiвробiтникiв, а також пiдвищення iмiджу, його стабiлiзацii i вживання термiнових заходiв у разi зниження.
PR складаiться з наступних областей:
Корпоративнi та фiнансовi зв'язки з громадськiстю тАУ створюють iмiдж органiзацii i сприяють посиленню ii позицiй на ринку.
РЖнформованiсть (паблiситi) про компанiю та ii положеннi впливають на збут продукцii.
Мунiципальнi вiдносини тАУ питання охорони середовища, створення нових робочих мiсць, участь у життi мiста i т. п. Ними впливають на ставлення суспiльства до компанii та до ii товарiв.
Виробничi вiдносини тАУ iнформованiсть про виробничi вiдносинах впливаi на вiдношення до якостi виробiв.
Вiдносини з лiдерами, впливають на громадську думку тАУ на ставлення широкоi публiки до компанii та ii товарах впливаi думка лiдерiв тАУ полiтикiв, журналiстiв, керiвникiв громадських об'iднань i т. п.
Отже, предметом PR i комунiкацii, як обмiн iнформацiiю. Метою дiяльностi PR органiзацii i забезпечення сприятливого поведiнки громадськостi по вiдношенню до неi.
Громадськiсть тАУ це група людей, по-перше, що виявляються в аналогiчнiй ситуацii невирiшеною, по-друге, якi усвiдомлюють невизначенiсть i проблематичнiсть цiii ситуацii, в третiх, що реагують певним чином на ситуацiю, що склалася.
Використовуючи стратегiчний пiдхiд в PR середу активностi PR можна роздiлити на три частини:
Мезосреда, або операцiйне середовище органiзацii тАУ найближчий шар зовнiшнього середовища, в якiй органiзацiя веде своi повсякденнi операцii тАУ покупцi, постачальники, партнери, конкуренти.
Мiкросередовище тАУ внутрiшнi середовище органiзацii.
Макросередовище тАУ вiддалений шар зовнiшнього середовища тАУ державнi та громадськi органiзацii i т. п.
Основними складовими PR маi сенс розглядати наступнi структурнi елементи:
Ø Паблiсiтi;
Ø Спонсорство;
Ø Фiрмовий стиль.
1. Паблiсiтi займаi, мабуть, саме значне мiсце в системi PR. По сутi тАУ це неоплачуванi стимулювання попиту на товари або послуги органiзацii або саму органiзацiю з допомогою розповсюдження про них важливих вiдомостей у всiх засобах поширення iнформацii доступних для читання, перегляду, прослуховування актуальними i потенцiйними клiiнтами фiрми. При цьому слiд враховувати, що змiст i час появи такоi iнформацii не можуть контролюватися органiзацiiю.
2. Спонсорство тАУ дiяльнiсть з поданням фiрмою фiнансових коштiв певним особам чи органiзацiям, зайнятим у сферi спорту, культури, охорони здоров'я, освiти тощо для досягнення нею поставлених цiлей у галузi менеджменту та маркетингу.
3. Створення фiрмового стилю тАУ важливий компонент PR. Поняття фiрмового стилю, як правило, включаi:
Ø Товарний знак, тобто позначення, що вiдрiзняi товари фiрми вiд виробiв iнших фiрм;
Ø Логотип тАУ накреслення повного або скороченого найменування фiрми або групи товарiв фiрми;
Ø Фiрмовий блок;
Ø Фiрмовий гасло тАУ те, що визначаi кредо фiрми;
Ø Фiрмовий колiр;
Ø Фiрмовий комплект шрифтiв i т.д.
Слiд зазначити, що iнодi фiрмовий стиль маi складовi, що впливають на рiзнi органи чуття: радiопозивнi, гiмн, одяг, аромати i т. п.
Перерахованi вище структурнi компоненти додаються комплектом заходiв щодо формування громадськоi думки, якi будуть розглянутi нижче.
1.2 Полiтична комунiкацiя
Початком вивчення явищ полiтичноi комунiкацii у розвинутих краiнах можна вважати дослiдження пропаганди в перiод першоi свiтовоi вiйни. Однак фундаментальнi роботи в цiй областi, так само як i сам термiн Влполiтична комунiкацiяВ», з'явилися лише в кiнцi 40-х тАУ початку 50-х рокiв. Видiлення дослiджень полiтичноi комунiкацii в самостiйний напрям, пов'язаний з використанням формалiзованих методiв системного аналiзу, припадаi на 50-i тАУ 60-тi роки тАУ перiод становлення загальноi теорii систем як мiждисциплiнарноi логiко-методологiчноi концепцii дослiдження складно структурованих об'iктiв рiзноi природи, а також стрiмкого розвитку кiбернетики тАУ областi знання, що вивчаi найбiльш загальнi закономiрностi процесiв iнформацiйного обмiну та управлiння в технiчних, бiологiчних, людино-машинних, економiчних i соцiальних системах.
Застосування системно-кiбернетичноi методологii до дослiдження процесiв i явищ, що вiдбуваються в полiтичнiй сферi, дозволяi виявити у деяких з них певнi ознаки, властивi як життя або поведiнки окремого iндивiда, так i функцiонування створених людиною складних технiчних пристроiв. Однак даний факт зовсiм не означаi прагнення до спрощеноi iнтерпретацii соцiальноi дiйсностi, подiбного неодноразовим i справедливо критикувалися в минулому спробам ВлнаклеiтиВ» енергетичний ВлабоВ» бiолого-соцiологiчний Влярлик на явища на зразок криз, революцiй, боротьби класiв i т.п.В». Системний аналiз, на вiдмiну вiд механiстичних концепцiй, не ставить завдання вичерпно пояснити або однозначно звести один до одного рiзноплановi явища лише на пiдставi проявляiться схожостi окремих iх сторiн. Навпаки, як пiдкреслював основоположник кiбернетики Н. Вiнер, мова йде тiльки про те, що Вланалiз одного процесу може привести до висновкiв, що мають значення для дослiдження iншого процесуВ».
У роботах, присвячених проблемам полiтичноi комунiкацii, все частiше вживаються термiни з областi загальноi теорii систем i кiбернетики. Проте, оскiльки подiбне запозичення далеко не завжди можна назвати коректним, представляiться необхiдним до певноi мiри порядок i сам Влсистемно-кiбернетичнийВ» понятiйний апарат, який використовуiться в полiтичнiй науцi.
В якостi вихiдного пункту будемо використовувати поняття чинного елемента, що позначаi будь-який об'iкт навколишнього свiту, що певним чином залежить вiд iнших об'iктiв i, одночасно, певним чином впливаi на iншi об'iкти. Безлiч iнших об'iктiв навколишнього свiту назвемо середовищем даного елемента. Стосовно до миру полiтичноi реальностi дiючими елементами виступають суб'iкти полiтики: iндивiди, соцiально-полiтичнi спiльностi та iнститути, по вiдношенню до яких навколишнього соцiального середовищем i суспiльство в цiлому.
Далi будемо виходити з таких трьох припущень:
(1) Середа впливаi на дiючий елемент W, викликаючи в ньому деякi стану строго певного роду, наприклад певну температуру, електричний заряд, вiдчуття, чуттiве сприйняття, полiтичну установку. Окремi види таких станiв х1, х2., хm прийнято називати вхiдними координатами, або входами елемента W.
(2) Чинний елемент W впливаi на середу, приймаючи деякi стану строго певного роду, наприклад певну температуру, магнiтне поле, рух, полiтична дiя. Окремi види таких станiв y1, y2., yn в системно-кiбернетичноi термiнологii позначаються як вихiднi координати або виходи елемента W.
(3) Чинний елемент W маi один вхiд i принаймнi один вихiд.
Припущення (1) i (2) еквiвалентнi твердженням, що чинний елемент W i Влщодо вiдокремленимВ», тобто, що контакт елемента iз середовищем вiдбуваiться виключно за посередництвом його входiв i виходiв. Припущення (3) виключаi з розгляду елементи без входiв i виходiв, подiбнi монада Лейбнiца, а також елементи, що мають тiльки входи або тiльки виходи, або, як iх часто називають, Влвиключно пасивнiВ» i Влвиключно активнiВ» елементи: згiдно запропонованоi логiчнiй схемi, кожен розглянутий елемент через своi входи ВлприймаiВ» дii середовища, а через своi виходи посилаi дii в середу. Таким чином, надалi будемо вважати, що суб'iкт полiтики представляi собою дiючий елемент W, що маi m входiв i виходiв n, де в загальному випадку число входiв m не збiгаiться з числом виходiв n.

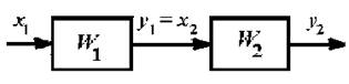
Рис. 1
Очевидно, що дiючi елементи можуть впливати один на одного, причому, вiдповiдно до припущеннями (1) i (2), тiльки через своi входи i виходи, тобто елемент W1 може впливати на елемент W2 тiльки таким чином, що W2 через своi входи сприймаi стану всiх або деяких виходiв W1. РЖншими словами, деякi вихiднi сигнали елемента W1 стають вхiдними координатами, що змiнюють стан елемента W2, тобто мiстять важливу iнформацiю для W2. Таке перетворення вихiдних сигналiв елементу W1 пiд вхiднi сигнали елемента W2 називаiться комунiкацiiю, або зв'язком елемента W1 c елементом W2. При цьому W1 може бути пов'язаний з W2 допомогою як усiх своiх вихiдних сигналiв (рис. 2а), так i лише деяких з них (рис. 2б). Зазвичай при розглядi комунiкацii маються на увазi тiльки векторнi сукупностi значущих для кожного елемента сигналiв (рис. 3).

Рис. 2

Рис. 3
Приймаючи точку зору, що взаiмодiя будь-яких дiючих елементiв, у тому числi i суб'iктiв полiтики, як один з одним, так i з зовнiшнiм середовищем носить iнформацiйний характер, вiдзначимо, що в системно-кiбернетичному контекстi iнформацiя, по сутi, виступаi як якась категорiя iдеального порядку, як категорiя розумова. За словами М. Вiнера, Влiнформацiя тАУ це позначення змiсту, отриманого з зовнiшнього свiту в процесi нашого пристосування до нього i пристосування до нього наших почуттiвВ». Таке визначення, звичайно, важко назвати вичерпним навiть з точки зору кiбернетики, так як воно маi виражений антропологiчний вiдтiнок i не охоплюi, наприклад, область процесiв iнформацiйного обмiну мiж частинами обчислювальноi машини. Проте дана дефiнiцiя за своiю суттю близька до спроб розкрити категорiю ВлiнформацiяВ» через взаiмодiю якогось довiльно взятого чинного елемента з навколишнiм середовищем, або через вiдображення. У цьому випадку пiд вiдображенням з позицiй як кiбернетики, так i загальноi теорii систем можна розумiти взятi в дiалектичнiй iдностi один з одним процес i результат взаiмодii елемента iз зовнiшнiм свiтом, що призводить до змiни стану елемента вiдповiдно з якими-небудь сторона вiдображаi зовнiшнього впливу, визначуваного мовою кiбернетики як ВлповiдомленняВ». Тодi процес отримання та вiдображення дiючим елементом повiдомлення iз зовнiшнього середовища i результат цього процесу, взятi в дiалектичнiй iдностi один з одним, визначають обсяг кiбернетичноi категорii ВлкомунiкацiяВ» (ВлcommunicationВ», нерiдко перекладаiться украiнською мовою як Влзв'язокВ»). Виходячи iз запропонованого спiввiдношення мiж поняттями, iнформацiю можна було б охарактеризувати як кiбернетичних категорiю, що позначаi змiст комунiкацii. При цьому надходить до дiючого елементу ВлвхiднаВ» iнформацiя представляi собою змiст повiдомлення, а значима iнформацiя, що змiнюi стан елемента, тАУ змiст вiдображення цього повiдомлення.

Рис. 4

Рис. 5
Зворотнiй зв'язок, або двостороннiй iнформацiйний обмiн граi виключно важливу роль у процесах управлiння, в тому числi i в галузi полiтики. ВлВстановлюючи зв'язок з iншою особою, тАУ зазначав з цього приводу Н. Вiнер, тАУ я повiдомляю йому сигнал, а коли ця особа у свою чергу встановлюi зв'язок зi мною, воно повертаi подiбний сигнал, що мiстить iнформацiю, спочатку доступну для нього, а не для мене. Керуючи дiями iншоi особи, я повiдомляю йому сигнал, i, хоча цей сигнал даний в iмперативнiй формi, технiка комунiкацii в даному випадку не вiдрiзняiться вiд технiки комунiкацii при повiдомленнi сигналу факту. Бiльш того, щоб управлiння було дiiвим, я повинен стежити за будь-якими поступають вiд нього сигналами, якi можуть вказувати, що наказ зрозумiлий i виконуiтьсяВ». Таким чином, з точки зору системно-кiбернетичного пiдходу, управлiння представляi окремий випадок комунiкацii, результатом якого i цiлеспрямована змiна стану елемента або сукупностi елементiв. Отже, i полiтичне управлiння можна визначити як окремий випадок полiтичноi комунiкацii.
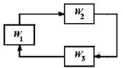
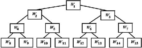
Нерiдко будь-якоi дii елемент, у тому числi i суб'iкт полiтики, виявляiться пов'язаний з бiльше нiж одним дiючим елементом. Точно так само бiльш нiж один елемент може бути пов'язаний з даним елементом. У таких випадках говорять, що маi мiсце розгалуження зв'язкiв, причому в першому випадку вiдбуваiться розгалуження виходiв (рис. 6а), а в iншому тАУ розгалуження входiв (рис. 6б). Одним з рiзновидiв даного типу комунiкацii виступаi iiрархiчна зв'язок, або просто iiрархiя, яка характеризуiться впорядкованiстю, органiзованiстю взаiмодiй мiж окремими рiвнями елементiв по вертикалi (рис. 7). Подiбнi багаторiвневi зв'язку, що поiднують у якостi елементiв Влмалi органiзацiiВ», досить часто потрапляють у поле зору полiтологii та iнших соцiальних наук: ВлВiльнi федерацii стародавньоi Грецii, Священна Римська iмперiя i сучаснi iй аналогiчнi феодальнi держави, Швейцарська Конфедерацiя, Сполученi Нiдерланди, Сполученi Штати Америки та iншi Сполученi Штати, розташованi пiвденнiше, Союз Радянських Соцiалiстичних Республiк тАУ все це приклади iiрархiй органiзацiй у полiтичнiй сферi. Левiафан Гоббса, Людина-Держава, складений з менших людей, i iлюстрацiя тiii ж iдеi щаблем масштабу нижчеВ».

Рис. 6

Рис. 7
Безлiч пов'язаних дiючих елементiв, взяте в iдностi з сукупнiстю вiдносин, або зв'язкiв мiж ними, складаi змiст поняття системи дiючих елементiв, або, бiльш коротко, просто системи. При цьому сукупнiсть зв'язкiв, вiдносин мiж дiючими елементами системи (i всi рiзнi iзоморфнi перетворення цих вiдносин) називаiться структурою системи. Слiд пiдкреслити, що дiючими елементами системи можуть виступати й системи бiльш низького порядку, Влмалi органiзацiiВ», зазвичай iменуються пiдсистемами, спосiб дii кожноi з яких як iдиного i щодо вiдокремленого цiлого визначаiться ii власною структурою. Безумовно, структура як самоi системи, так i входять до неi пiдсистем необов'язково залишаiться незмiнною тАУ з плином часу окремi зв'язку мiж елементами можуть слабшати i руйнуватися, однак можуть з'являтися i новi зв'язки, в тому числi i з елементами, ранiше не входили в систему. У узагальнюючому планi пiдсистеми, що дiють елементи i Дисертант зв'язку мiж ними нерiдко згадуються як компоненти системи.
Використовуючи наведенi визначення в полiтологiчному контекстi, встановимо, що полiтична система являi конкретно-iсторичну форму взаiмодii суб'iктiв полiтики та органiзацii вiдносин мiж ними, владно впорядковуiться, оформляють i полягаi у певному кордону полiтичну дiяльнiсть у суспiльствi. Вiдповiдно, пiд полiтичноi комунiкацiiю будемо розумiти процес передачi полiтичноi iнформацii, ii перемiщення як всерединi полiтичноi системи мiж ii елементами i пiдсистемами, так i мiж полiтичною системою i суспiльством.
У широкому сенсi, як пiдкреслював вiдомий американський полiтолог Л. Пай, Влполiтична комунiкацiя маi на увазi не односторонню спрямованiсть сигналiв вiд елiт до маси, а весь дiапазон неформальних комунiкацiйних процесiв у суспiльствi, якi надають саме рiзне вплив на полiтикуВ».
Зазвичай видiляються три основнi способи полiтичноi комунiкацii: через неформальнi контакти, через суспiльно-полiтичнi органiзацii (iнститути) i через засоби масовоi iнформацii. Проте до них слiд також вiднести i особливi комунiкативнi ситуацii або дii. ВлУ полiтичнiй комунiкацii, тАУ вiдзначають автори англо-американськогоВ» Словника полiтичного аналiзуВ», тАУ звичайно мають справу з написаним або вимовного словом, але вона може вiдбуватися i за допомогою [c. 28] всякого знаку, символу i сигналу, за допомогою якого передаiться змiст. Отже, до комунiкацii треба вiднести й символiчнi акти тАУ найрiзноманiтнiшi, такi як спалення повiстки про призов до армii, участь у виборах, полiтичне вбивство або вiдправлення каравану суден у плавання по всьому свiту. У значнiй своiй частинi полiтична комунiкацiя складаi сферу компетенцii спецiалiзованих установ та iнститутiв, таких, як засоби масовоi комунiкацii, урядовi iнформацiйнi агентства або полiтичнi партii. Тим не менше вона виявляiться у всякiй обстановцi соцiального спiлкування, вiд бесiд вiч-на-вiч до обговорення в палатах нацiонального законодавчого органуВ».
1.3 особливостi полiтичного PR в Украiнi
Використання PR-технологiй як важливоi складовоi полiтичного процесу в Украiнi набуваi дедалi бiльшого значення. При побудовi образу полiтичного лiдера технологiчно важливо враховувати фактори, якi можуть мати мiсце, зокрема:
1) псевдовiдповiдальнiсть: вiд полiтичних лiдерiв вимагаiться прийняття вiдповiдальних рiшень в умовах невизначеностi. Тому полiтик iнодi несвiдомо використовуi прийом оберненого делегування вiдповiдальностi тим, хто призначив або обрав його на вiдповiдну посаду. РЖ до сьогоднi однiiю з невирiшених проблем полiтичного життя Украiни лишаiться вiдповiдальнiсть депутатiв перед виборцями;
2) некомпетентнiсть: компетентнiсть полiтичного лiдера тАУ це акумульований i усвiдомлений досвiд. РЗi необхiдно доводити на рацiональному рiвнi, на рiвнi свiдомостi як кандидата, так i виборцiв. Полiтичний лiдер мусить вiдповiдати Влгромадськiй думцiВ» (державно-правовiй фiкцii тАУ за визначенням Ю. Хабермаса). Серед полiтикiв i, значною мiрою, в експертному середовищi популярною i думка, що головним чинником, який суттiво вплинув на вибiр громадян декiлькох останнiй виборах, була наявнiсть у партiй i блокiв яскравих лiдерiв. Та деякi соцiологiчнi дослiдження свiдчать, що це не завжди так.
3) псевдохаризматичнiсть: полiтичнi лiдери, що досягли певних успiхiв завдяки особистiсному впливу, легко йдуть на те, щоб оголосити своi досягнення результатом харизми. Тобто, харизматичний лiдер впливаi на своiх послiдовникiв iррацiональним шляхом. Умiло органiзованi мiтинги та зустрiчi з виборцями включають механiзм психiчноi iндукцii, коли громадськiсть у часових межах заданоi програми сприймаi i репродукуi тi полiтичнi iстини, якi виголошуi лiдер. На субтАЩiктивному рiвнi феномен цiii помилки виявляiться так, що з мiтингу полiтичний лiдер iде з повною переконанiстю, що вiн маi нових послiдовникiв, оскiльки бачив це на власнi очi. Натомiсть послiдовники, позбавляючись гiпнозу штучно створеноi ситуацii, залишаються з приiмними враженнями вiд зустрiчi. Але iз своiми переконаннями.
2. PR як складова полiтичного процесу
2.1 Полiтичний PR як засiб впливу на електоральну поведiнку
Полiтичний вибiр, волевиявлення виборця невiльнi навiть у суспiльствах з найбiльш розвиненими демократичними iнститутами. Рiшення людини голосувати тим або iншим чином залежить вiд прихованого впливу рiзних закономiрних i випадкових чинникiв. РЖстотну, якщо не визначальну роль у передвиборнiй ситуацii може зiграти полiтична реклама, здатна iнтегрувати вплив цих факторiв на електоральне поведiнка, органiзувати його i пiдпорядкувати виборчоi стратегii. Полiтична реклама виступаi свого роду вектором: вона зводить воiдино можливi поведiнковi реакцii електорату, задаi iм те iдино вiрний напрям, яке може визначити успiх на виборах.
Щоб досягти цього, необхiдно встановити мiцний зв'язок мiж суб'iктом i об'iктом реклами. Прийнято вважати, що реклама тАУ односпрямований процес, не маi на увазi зворотного зв'язку. Це, безсумнiвно, так, тим не менше для ефективного впливу на виборця реклама повинна враховувати весь спектр iнтересiв, запитiв людей. Змiстовне наповнення полiтичноi реклами формуiться пiд впливом потреб електорату. У Влпов'язуванняВ» запросив об'iкта i пропозицiй суб'iкта i полягаi ii основна комунiкативна завдання.
Рiшення цього завдання не одномоментний i не строго послiдовний процес. Система чинникiв, що формують полiтичний вибiр, тАУ складне, багаторiвневе, але досить гнучке освiту. Причини, що визначають те чи iнше прояв електоральноi поведiнки, тАУ це свого роду важелi, керуючи якими окремо, комплексно або в рiзних комбiнацiях, можна варiювати як нюанси виборних орiiнтацii, так i загальна iх напрямок.
Проте перш нiж розглядати механiзми впливу полiтичноi реклами на систему факторiв, що формують полiтичний вибiр, ми повиннi проаналiзувати специфiку електоральноi поведiнки людей. Фахiвцi з полiтичного маркетингу подiляють чинники, що формують установки полiтичного вибору, на суб'iктивнi та об'iктивнi. Цей подiл досить умовно: жоден з факторiв не впливаi на позицiю виборця однозначно i строго визначено, не направляi його до вибору одним iдино можливим шляхом, кожен чинник ВлспрацьовуiВ» в комплексi з масою iнших. Крiм того, жоден з так званих Влсуб'iктивнихВ» чинникiв, що визначають вибiр, не i похiдна тiльки внутрiшнiх установок виборця тАУ всi вони формуються пiд впливом як свiдомостi, так i буття.
Психологiчнi закономiрностi включення людей в полiтику можна розкрити через загальнi потреби людини. До них вiдносяться фiзiологiчнi потреби (в iжi, одязi, житло), потреби в самозбереженнi (в забезпеченнi безпеки, пiдтримцi здоров'я), у любовi (у звичайнiй прихильностi, включно iз сексуальною, в духовнiй близькостi, в ототожненнi себе з iншими, у бажаннi не просто любити, але при цьому вiдчувати приналежнiсть до якоi-небудь групи), потреби в повазi з боку iнших (у володiннi престижем, в схваленнi з боку оточуючих), в самоповазi (у почуттi власноi гiдностi, самореалiзацii, самовираженнi). Хоча всi цi потреби властивi переважнiй кiлькiстю виборцiв, серед рiзних груп населення вони розвиненi в рiзного ступеня i проявляються в рiзнiй формi. Наприклад, задоволення фiзiологiчних потреб в iжi, одязi, житло в однiii групи населення може служити лише пiдтримання простого фiзичного iснування, а в iншоi тАУ виражатися в прагненнi рацiонально i смачно харчуватися, красиво i модно одягатися, мати зручне, комфортне житло i т.д.
Мотиви формуються пiд впливом низки передумов тАУ свiдомих i несвiдомих, рацiональних i емоцiйних тАУ i знаходяться в постiйнiй взаiмодii один з одним. На iх формування впливаi набiр установок iндивiда, тобто його схильнiсть до того, щоб певним чином сприймати обставини, якими б вони не були, i певним же чином реагувати на них. Цi установки не i вродженими, вони виникають в результатi рiзного роду вiдносин i взаiмодiй, в якi людина вступаi, починаючи з дитинства, тАУ взаiмовiдносин у сiм'i, школi, з друзями, в рамках соцiального класу, до якого вiн належить; його ставлення до референтнiй групi, з якою вiн себе ототожнюi i яка граi роль моделi; нарештi, його вiдносини до осiб, що впливаi на формування громадськоi думки, i до лiдерiв громадськоi думки.
Отже, полiтична реклама, як Влдiяльнiсть, яка формуi суспiльнi умонастроi, з психологiчноi точки зору, зводиться до процесiв вироблення установокВ». Включення механiзмiв реклами на етапi усвiдомлення потреб, поiднання iх з пропозицiiю кандидата i подальша кодифiкацiя в рекламних матерiалах може стати одним з напрямкiв ii впливу.
У ряду факторiв, що впливають на полiтичний вибiр, важливе мiсце займають iдеологiчнi установки i полiтична культура. Будь-якого полiтичного лiдера виборець, перш за все, спiвставляi з тим набором iдеологiчних цiнностей, що властивий йому самому, вiн як би вибираi лiдера з-помiж Влсобi подiбнихВ».
Поява конкуруючих iдеологiй завжди пов'язане з тим, що в суспiльствi вiдбуваються стратифiкацiйнi змiни. Криза, в якiй опиняються традицiйнi громадськi структури та iдеологii, сприймаiться масовою свiдомiстю як розпад звичних систем цiнностей i моделей поведiнки. Особистiсть, що втрачаi орiiнтацiю i можливiсть суб'iктивного контролю над ситуацiiю, намагаiться знайти себе в самоiдентифiкацii з будь-якою групою, щоб в цiй спiльностi захиститися перед дiйснiстю, що стала раптом чужою i ворожою.
Один з можливих варiантiв опису полiтичного розшарування суспiльства пропонують прихильники так званого психологiчного механiзму наслiдування. На iхню думку, для членiв товариства, який переживаi перехiд вiд тоталiтарного ладу до iнших способiв органiзацii людського гуртожитку, характерна висока сугестивнiсть i схильнiсть до наслiдування захiдним зразкам життiустрою. Маючи на увазi схильнiсть до наслiдування, можна припустити, що суспiльство роздiлене на три групи: радикальних конформiстiв, що прагнуть повнiстю перенести захiднi традицii на украiнський ТСрунт; соцiальних конформiстiв, якi бажають, щоб в краiнi запанував захiдний спосiб життя, але при збереженнi вiтчизняних прiоритетiв у виробництвi та управлiннi; консерваторiв, що намагаються вiдшукати для Украiни свiй власний, особливий шлях у всiх сферах життя.
Другий, достатньо розроблений метод, полягаi в спробi описати розшарування суспiльства за приналежнiстю до того чи iншого полiтичного об'iднання, партii, органiзацii. Однак при такому пiдходi в поле зору не потрапляють люди, якi не бажають приймати участь в якiй би то не було полiтичноi дiяльностi, а також тi, хто лише час вiд часу включаються в неi.
Теорiя Влсоцiальноi стратифiкацiiВ». подiляi електорат, виходячи з таких критерiiв: розмiр доходiв, обсяг влади, рiвень емоцiйностi, характер власностi, переважнi соцiально-психологiчнi стереотипи. Але подiбне подiл страждаi еклектичнiстю.
2.2 ЗМРЖ як механiзм реалiзацii PR у полiтицi
ЗМРЖ мають сьогоднi бiльше, нiж будь-коли, впливу на формування свiдомостi i поведiнку людей, стають потужним iнструментом впливу на iнститути влади. Поняття ЗМРЖ як четверта влада набуваi нового сенсу.
РЖнформацiя завжди залежала вiд технiчного прогресу засобiв ii розповсюдження. Сучасна iнформацiя зробила перший якiсний ривок з розвитком преси, потiм тАУ винахiд телеграфу, радiо, телебачення. Сьогоднi iнформацiя зазнаi настiльки серйознi iнновацii в галузi електронiки, iнформатики, супутникового зв'язку, що ЗМРЖ з працею встигають слiдувати технiчному розвитку.
Цi кiлькiснi змiни ведуть до того, що виробництво i розповсюдження iнформацii змiнюi свою природу. Замiсть друкованого, рацiонального i постiйного тексту з'явився спочатку короткий i умовний радiо текст. З появою зображення, заснованого на зоровому сприйняттi, на мить, символi i домiнанту iррацiонального, можна говорити про справжню революцiю в ЗМРЖ, Гi Дебора, французький дослiдник в областi масових iнформацiйних процесiв, пропонуi охарактеризувати наше суспiльство, як Влсуспiльство спектаклюВ» тАУ результат урочистостi вiдеоряду в iнформацiйному потоцi.
На думку Режi Дебре, французького засновника новоi галузi знання тАУ медiалогii, ми живемо в епоху ВлвiдеосфериВ», де зображення не i нi рiччю, нi iстотою, а перцепцiiю; реальнiсть проводиться за допомогою технiки. Так, реальне телевiзiйного товариства не спiвпадаi з реальним графiчним суспiльством. З точки зору Дебре, реальнiсть тАУ це результат технiчноi дiяльностi людей, а не iснуюча сама по собi субстанцiя, а телебачення створюi нове глобальне простiр тАУ час: те, що локально, моментально стаi загальносвiтовою. Час стаi як би непрямим: важливо не те, коли подiя вiдбулася, а коли воно було показано i сприйнято. РЖнакше кажучи, сьогоднi змiнюiться сама парадигма структурування суспiльства, вiдбувся перехiд вiд пiрамiдального свiту органiзацii влади до свiту павутини, тобто вiд вертикального, централiзованого свiту до свiту децентралiзованого, розпорошеного. Однак i в цьому свiтi стоiть питання про владу i власностi, тому що iснуi, наприклад, власнiсть на засоби виробництва громадськоi думки. Саме тому феномен комунiкацii необхiдно трактувати з полiтичноi точки зору.
З полiтичноi точки зору важливо, насамперед, те що змiнивши спосiб сприйняття свiту електоральнi ЗМРЖ перетворили полiтику, тАУ в усякому разi публiчну полiтику в медiапроцесi, зробивши його серцевиною публiчноi полiтики, одночасно стимулювавши i вiдповiднi змiни в комунiкативному процесi. Це призвело до змiни мiсця комунiкацii в полiтичному процесi. Суть цiii змiни полягала в тому, що Влакт комунiкацii влади з масовим суб'iктом сам по собi почав визначати формат полiтичних вiдносин. Комунiкацiя стала системоутворюючим елементом полiтики i придбала в нiй новий онтологiчний статус, втративши колишньоi допомiжне тАУ технiчний характерВ».
Революцiя в електоральних ЗМРЖ, (поряд зi змiнами, що вiдбуваються в суспiльствi, у свiдомостi населення, який прагне ВлвiддалитисяВ» якомога далi вiд полiтики i зосередити всi своi зусилля на сферi приватного життя) не тiльки висунула ЗМРЖ в епiцентр публiчноi полiтики, але i змiнила i формат полiтичних вiдносин, гранично спростивши iх i перетворивши на свого роду розважальне шоу. Цей аспект змiни полiтичного процесу i, головне роль ЗМРЖ в цьому змiну представляi для даноi теми особливий iнтерес.
Бiльш опосередкований ефект впливу нових комунiкацiй на полiтичний процес пов'язаний з тим, що вiдбуваiться з перемiщенням i поглинанням основних сфер людськоi дiяльностi в свiт медiа. Стаi скрутним визначити, де дiйсний, а де надуманий процес перемiщення, пiдтримуваний прозелiтом новоi утопii медiатизацii суспiльства.
Основний ефект нових технологiй комунiкацii i ЗМРЖ полягаi в перенесеннi ролi та функцii iнструменту на кiнцеву мету: не комунiкацiя iснуi для людини, а людина для комунiкацii. Негативний ефект цiii iнверсii полягаi в тому, що засiб перетворюiться в цiль, а iнструмент перестаi виконувати своi завдання i втрачаi при цьому своi функцii. Саме це й вiдбуваiться iз засобами масовоi iнформацii, якi формують нову суспiльне середовище. Нове товариство i по сутi суспiльством аутизму, описане дослiдником комунiкацiйних процесiв Люсьiном Сфецом. На його думку, розвиток комунiкацii характеризуiться протирiччям мiж Влдiйсним фактомВ» i його медiйному ВлподаннямВ», що помiщають людини в лабiринт помилкових знань.
З точки зору iншого дослiдника Жана Бодрiйяра, сучасне суспiльство тАУ це суспiльство Влкомунiкацii заради комунiкацiiВ», бо мета не в iнформацii, а в самому фактi ii передачi. Постiйне спотворення ЗМРЖ самоi iнформацii, хоча завдання як раз полягаi в збереженнi ii цiлiсностi, тягне перманентну боротьбу з метою реiнтерпретацiю iнформацiйного контексту.
Вiдбуваiться змiщення таких понять, як ВлiнформацiяВ» (у значеннi iнформацii про будь-яке подii) i ВлзнанняВ». Аудиторiя може отримати величезне число повiдомлень (iнформацii) про ту чи iншу подiю i його сутi не володiти при цьому знанням про нього.
У своiй книзi, що вийшла в 1981 роцi, французький дослiдник Денi де Ружмон всупереч пануючому тодi думку розмежував поняття ВлiнформацiяВ» i ВлзнанняВ». У той час вважали, що доступ до iнформацii i синонiмом доступу до знання. Ще наприкiнцi 60-х рокiв один з перших французьких фахiвцiв у галузi iнформатики Жак Арсак звернув увагу на наявнiсть рiзницi мiж поняттями ВлiнформацiяВ» i ВлсенсВ». Однак довгий час цi поняття були змiшанi у науцi. Сучасна людина вважаi, що вiн отримав доступ до подiй тому, що вiн iнформований про них. Але як би не був талановитий репортаж з мiсця подii, iнформацiя завжди досягаi певного порогу, за яким вона не в силах передати змiст подii. Так, наприклад, репортаж про життя в закордонному мiстi не може знайти змiст без особистого досвiду в данiй конкретнiй ситуацii, i iнформацiя не може замiнити цей досвiд.
Новiтнi телекомунiкацiйнi технологii, РЖнтернет дозволяють отримувати iнформацiю в реальному часi. Наприклад, за часiв Наполеона III, новини Кримськоi вiйни доходили до Парижа за 8 днiв, а вiйну в РЖраку одночасно бачили мiльйони глядачiв CNN. Швидкiсть комунiкацii дозволяi нам бути свiдками подiй у реальному часi, але за рахунок вiдмови вiд аналiзу, чому ранiше сприяв часовий промiжок; основний акцент робиться на емоцii, але не на пояснення. Однак миттiвiсть передачi iнформацii ще не гарантуi ii правдивостi.
Сьогоднi склалася парадоксальна ситуацiя: можна сильнiше переживати подii, побаченi в телевiзiйнiй мелодрамi чи фантастичному фiльмi, нiж показаний по телевiзору документальний фiльм про катастрофу. ЗМРЖ за своiю природою мають зближувати людей або хоча б полегшувати iм розумiння подiй в iншiй краiнi. Комунiкацiя повинна усувати дистанцiю, мiж людьми, що, однак, в реальностi часто не вiдбуваiться. РЖ хоча частина полiтикiв, особливо опозицiйних, така практика шокуi, вони не вiдмовляються вiд подальших контактiв iз ЗМРЖ, бо плутанина понять iнформацii та комунiкацii виникаi також з сучасноi тенденцii нав'язувати медiйний стиль у виразi знань. Вiдтепер знання i процес, перш за все полiтичний, маi подаватись аудиторii в ВлдоступномуВ» виглядi, тобто будь-який полiтик, спецiалiст зобов'язанi прибирати з
Вместе с этим смотрят:
Presidential еlections in the USA
РЖсторiя i теорiя полiтичних партiй
Анализ "пурпурной революции" в Ираке
Анализ агитационных печатных материалов на муниципальных выборах