Обмен веществ и энергии
Государственное образовательное учреждение
Высшего профессионального образования
ВлХакасский государственный университет им. Н.Ф. КатановаВ»
Колледж педагогического образования, информатики и права
Контрольная работа
по дисциплине ВлАнатомия и физиология человекаВ»
на тему ВлОбмен веществ и энергииВ»
студентки заочного отделения
специальности Социально-педагогическое обеспечение младших школьников
Исаевой Татьяны Валериевны
Преподаватель: Наговская Ф.Ш.
Домашний адрес:
РХ г. Черногорск
ул. Калинина 23-46
тел. 8-923-394-83-40
Абакан 2009
Содержание:
Вступление
I. Значение для организма белков, жиров и углеводов, воды и минеральных солей:
1.Белки
1.1. Строение белков
1.2. Классификация белков
1.3. Функции белков
2. Жиры
2.2. Жиры не только источник энергии
3. Углеводы
3.1. Классификация углеводов
3.2. Функции углеводов
4. Вода
4.1. Вода тАУ среда жизненных процессов
4.2. Жажда
5. Соли
5.1. Соли в организме
5.2. Минеральные соли
II. Белковый, углеводный, жировой обмен организма человека (поступление веществ, их превращения в пищеварительном тракте и клетках)
III. Нормы питания
1. Что такое аппетит
2. В еде знай меру
3. Какая пища полезна
4. Мясо тАУ ценная белковая пища
5. Пища, приготовленная природой
6. Чем вредны посты для здоровья
7. Питание спортсменов
IV. Витамины, их роль в обмене веществ. Основные авитаминозы.
1. Витамины
2. Классификация витаминов
3. Источники витамина PP
4. Обмен веществ (метаболизм)
5. Роль витаминов в обмене веществ
6. Витамины против инфекций
7. Нормы потребления витаминов
8. Витамины в продуктах
9. Как сохранить витамины
10. Стране нужны тонны витаминов
11. Роль минеральных веществ в питании человека (магний, кальций, калий, натрий, хлор, фосфор, сера, железо, йод, кобальт, медь, никель, цинк, марганец, хром, фтор)
12. Авитаминозы и гиповитаминозы
13. Необходимые дозы витаминов
Заключение
Список литературы
ОБМЕН ВЕЩЕСТВ - это процесс поступления веществ в организм, их переработка, доставка в каждую клетку тела, превращения в клетках с выделением энергии и удаление продуктов распада.
В наш организм поступают такие вещества, как кислород и пища.
Что же происходит с питательными веществами в организме после их всасывания в кровь? Современная наука раскрывает химическую основу жизненных процессов.
Выяснить превращения питательных веществ в организме ученым помогли меченые атомы, ставшие разведчиками тайн природы. Они убедили нас в постоянном обновлении веществ в организме.
Химические превращения протекают так, что внутренняя среда каждой живой клетки остается постоянной, несмотря на то, что входящие в ее состав вещества сменяются.
В течение жизни почти все клетки нашего тела заменяются несколько раз. За год кровь человека обновляется полностью три раза.
Ежесекундно, каждую минуту расходуются материалы, из которых состоят наши клетки. Множество роговых чешуек, отмерших клеток, сбрасывается с поверхности кожи.
Старые клетки заменяются новыми. Чем активнее жизнь организма, чем выше рабочая нагрузка органов, тем энергичнее протекают процессы самообновления клеток. Беспрерывно идет физиологическая регенерация (возрождение) клеток тела. Постоянное самообновление тАФ универсальное свойство жизни.
Подсчитано, что человек за всю свою жизнь потребляет 2,5 т белка, 1,3 т жира, 17,5 т углеводов и 75 т воды.
Ученые в итоге длительных исследований сумели определить тепловую трату организма и по ней сделали расчет, каким по калорийности должен быть пищевой рацион. Обмен веществ подтверждает закон сохранения вещества и энергии.
РЖ. Значение для организма белков, жиров и углеводов, воды и минеральных солей
БЕЛКИ - высокомолекулярные органические соединения, биополимеры, построенные из 20 видов L-аминокислотных остатков, соединенных в определенной последовательности в длинные цепи. Молекулярная масса белков варьируется от 5 тыс. до 1 млн. Название ВлбелкиВ» впервые было дано веществу птичьих яиц, свертывающемуся при нагревании в белую нерастворимую массу. Позднее этот термин был распространен на другие вещества с подобными свойствами, выделенные из животных и растений. Белки преобладают над всеми другими присутствующими в живых организмах соединениями, составляя, как правило, более половины их сухого веса. Предполагается, что в природе существует несколько миллиардов индивидуальных белков (например, только в бактерии кишечная палочка присутствует более 3 тыс. различных белков). Белки играют ключевую роль в процессах жизнедеятельности любого организма. К числу белков относятся ферменты, при участии которых протекают все химические превращения в клетке (обмен веществ); они управляют действием генов; при их участии реализуется действие гормонов, осуществляется трансмембранный транспорт, в том числе генерация нервных импульсов они являются неотъемлемой частью иммунной системы (иммуноглобулины) и системы свертывания крови, составляют основу костной и соединительной ткани, участвуют в преобразовании и утилизации энергии и т. д.
Строение белков
Практически все белки построены из 20 L-аминокислот, принадлежащих к L-ряду, и одинаковых практически у всех организмов. Аминокислоты в белках соединены между собой пептидной связьютАФСОтАФNHтАФ, которая образуется карбоксильной и L-аминогруппой соседних аминокислотных остатков (см. рис.): две аминокислоты образуют дипептид, в котором остаются свободными концевые карбоксильная (тАФСООН) и аминогруппа (H2NтАФ), к которым могут присоединяться новые аминокислоты, образуя полипептидную цепь.
Участок цепи, на котором находится концевая Н2N-группа, называют N-концевым, а противоположный ему тАФ С-концевым. Огромное разнообразие белков определяется последовательностью расположения и количеством входящих в них аминокислотных остатков. Хотя четкого разграничения не существует, короткие цепи принято называть пептидами или олигопептидами (от олиго..), а под полипептидами (белками) понимают обычно цепи, состоящие из 50 и более аминокислот. Наиболее часто встречаются белки, включающие 100-400 аминокислотных остатков, но известны и такие, молекула которых образована 1000 и более остатками. Белки могут состоять из нескольких полипептидных цепей. В таких белках каждая полипептидная цепь носит название субъединицы.
Классификация белков
Сложность строения белковых молекул, чрезвычайное разнообразие выполняемых ими функций затрудняют создание единой и четкой их классификации, хотя попытки сделать это предпринимались неоднократно, начиная с конца 19 века. Исходя из химического состава белки делят на простые и сложные (иногда их называют протеидами ). Молекулы первых состоят только из аминокислот. В составе же сложных белков помимо собственно полипептидной цепи имеются небелковые компоненты, представленные углеводами (гликопротеиды), липидами (липопротеиды), нуклеиновыми кислоты (нуклеопротеиды), ионами металла (металлопротеиды), фосфатной группой (фосфопротеиды), пигментами (хромопротеиды) и т. д.
В зависимости от выполняемых функций различают несколько классов белков. Самый многообразный и наиболее специализированный класс составляют белки с каталитической функцией тАФ ферменты, обладающие способностью ускорять химические реакции, протекающие в живых организмах. В этом качестве белки участвуют во всех процессах синтеза и распада различных соединении в ходе обмена веществ, в биосинтезе белков и нуклеиновых кислот, регуляции развития и дифференцировки клеток. Транспортные белки обладают способностью избирательно связывать жирные кислоты, гормоны и другие органические и неорганические соединения и ионы, а затем переносить их с током крови и лимфы в нужное место (например, гемоглобин участвует в переносе кислорода от легких ко всем клеткам организма). Транспортные белки осуществляют также активный транспорт через биологические мембраны ионов, липидов, сахаров и аминокислот. Структурные белки выполняют опорную или защитную функцию; они участвуют в формировании клеточного скелета. Наиболее распространены среди них коллаген соединительной ткани, кератин волос, ногтей и перьев, эластин клеток сосудов и многие другие. В комплексе с липидами они являются структурной основой клеточных и внутриклеточных мембран. Ряд белков выполняет защитную функцию. Например, иммуноглобулины (антитела) позвоночных, обладая способностью связывать чужеродные патогенные микроорганизмы и вещества, нейтрализуют их болезнетворное воздействие на организм, препятствует размножению раковых клеток. Фибриноген и тромбин участвуют в процессе свертывания крови. Многие вещества белковой природы, выделяемые бактериями, а также компоненты ядов змей и некоторых беспозвоночных относятся к числу токсинов. Некоторые белки (регуляторные) участвуют в регуляции физиологической активности организма в целом, отдельных органов, клеток или процессов. Они контролируют транскрипцию генов и синтез белка; к их числу относятся пептидно-белковые гормоны, секретируемые эндокринными железами. Запасные белки семян обеспечивают питательными веществами начальные этапы развития зародыша. К ним относят также казеин молока, альбумин яичного белка (овальбумин) и многие другие. Благодаря белкам мышечные клетки приобретают способность сокращаться и в конечном итоге обеспечивать движения организма. Примером таких сократительных белков могут служить актин и миозин скелетных мышц, а также тубулин, являющиеся компонентом ресничек и жгутиков одноклеточных организмов; они же обеспечивают расхождение хромосом при делении клеток. Белки-рецепторы являются мишенью действия гормонов и других биологически активных соединений. С их помощью клеткой воспринимается информация о состоянии внешней среды. Они играют важную роль в передаче нервного возбуждения и в ориентированном движении клетки (хемотаксисе). Преобразование и утилизация энергии, поступающей в организм с пищей, а также энергии солнечного излучения тоже происходит при участии белков биоэнергетической системы (например, зрительного пигмента родопсина, цитохромов дыхательной цепи; см. Биоэнергетика). Существует также множество белков с другими, порой довольно необычными функциями (например, в плазме крови некоторых антарктических рыб содержатся белки, обладающие свойствами антифриза).

Наиболее сложными биополимерами являются белки. Их макромолекулы состоят из мономеров, которыми являются аминокислоты. Каждая аминокислота имеет две функциональные группы: карбоксильную и аминогруппу. Все разнообразие белков создается в результате различных сочетаний 20 аминокислот.
В результате соединения нескольких белковых макромолекул, обладающих третичной структурой, в сложный комплекс формируется четвертичная структура белка. Примером таких сложных белков является гемоглобин, состоящий из четырех макромолекул.
Функции белков
Функции белков в клетке многообразны. Одна из важнейших тАФ строительная функция: белки входят в состав всех клеточных мембран и органоидов клетки, а также внеклеточных структур.
Для обеспечения жизнедеятельности клетки исключительно важное значение имеет каталитическая, или. ферментативная, роль белков. Биологические катализаторы, или ферменты,тАФ это вещества белковой природы, ускоряющие химические реакции в десятки и сотни тысяч раз.
Ферментам свойственны некоторые черты, отличающие их от катализаторов неорганической природы. Во-первых, один фермент катализирует только одну реакцию или один тип реакций, т. е. биологический катализ специфичен. Во-вторых, активность ферментов ограничена довольно узкими температурными рамками (35тАФ 45 В°С), за пределами которых их активность снижается или исчезает. В-третьих, ферменты активны при физиологических значениях рН, т. е. в слабощелочной среде. Еще одно важное отличие ферментов от неорганических катализаторов: биологический катализ протекает при нормальном атмосферном давлении.
Все это определяет ту важную роль, которую ферменты играют в живом организме. Практически все химические реакции в клетке протекают с участием ферментов.
Двигательная функция живых организмов обеспечивается специальными сократительными белками. Эти белки участвуют во всех видах движения, к которым способны клетки и организмы: мерцание ресничек и биение жгутиков у простейших, сокращение мышц у многоклеточных животных и пр.
Транспортная функция белков заключается в присоединении химических элементов (например, кислорода) или биологически активных веществ (гормонов) и переносе их к различным тканям и органам тела.
При поступлении в организм чужеродных белков или микроорганизмов белые кровяные тельца лейкоцитытАФ образуют особые белки тАФ антитела. Они связывают и обезвреживают не свойственные организму вещества тАФ это защитная функция белков.
Белки служат также источником энергии в клетке, т. е. выполняют энергетическую функцию. При полном расщеплении 1 г белка выделяется 17,6 кДж энергии.
ЖИРЫ - органические соединения, в основном сложные эфиры глицерина и одноосновных жирных кислот (триглицериды); относятся к липидам. Один из основных компонентов клеток и тканей живых организмов. Источник энергии в организме; калорийность чистого жира 3770 кДж/100 г. Природные жиры подразделяются на жиры животные и масла растительные.

Жиры (липиды) представляют собой соединения высокомолекулярных жирных кислот и трехатомного спирта глицерина. Жиры не растворяются в воде тАФ они гидрофобны. В клетках есть и другие сложные гидрофобные жироподобные вещества, называемые липоидами, например холестерин. Содержание жиров в клетке колеблется от 5 до 15% от массы сухого вещества. В клетках жировой ткани количество жира достигает 90%.
К числу важнейших относится строительная функция липидов и липоидов. Липиды образуют бимолекулярный слой, служащий основой наружной клеточной мембраны (см. рис. 18). Из них 75тАФ95% составляют фосфолипиды. В состав клеточной мембраны входит и холестерин.
Важную роль играют липиды как источники энергии. В ходе расщепления 1 г жиров до СО2 и Н2О освобождается большое количество энергии тАФ 38,9 кДж. Накапливаясь в клетках жировой ткани животных, в семенах и плодах растений, жиры служат запасным источником энергии.
Благодаря плохой теплопроводности жир способен выполнять функцию теплоизоляции. У некоторых животных (тюлени, киты) он откладывается в подкожной жировой ткани, которая у китов образует слой толщиной до 1 м.
Липоиды служат предшественниками некоторых гормонов. Следовательно, этим веществам свойственна и функция регуляции обменных процессов.
Жиры не только источник энергии.
Долгое время жиры считали источником энергии, который можно без ущерба для организма заменить углеводами, но оказалось, что это не так. Недостаток жиров сокращает жизнь, нарушает деятельность мозга, снижает выносливость организма. Жиры входят в состав клеток (цитоплазмы, ядра, мембран), где их количество устойчиво и постоянно. С жирами поступают в организм растворенные в них витамины.
В среднем запас жира в организме составляет 9 кг с общей калорийностью 336 000 Дж.
До недавнего времени жиры делили на полноценные (животные) и неполноценные (растительные). Такое деление оказалось ошибочным. Животные и растительные жиры взаимно незаменимы. Растительные жиры активизируют обмен веществ, предупреждают ряд заболеваний. Чаще употребляют в пищу подсолнечное, оливковое, льняное, кукурузное масло. Вещества животных жиров благотворно влияют на деятельность мозга. Ежедневный рацион тАФ 50 г животных и 50 г растительных жиров.
Организм особенно чувствителен к недостатку веществ, содержащихся в растительных жирах. Детям необходимо давать ежедневно от 12 до 20 г растительного масла.
Собственный жир организма образуется из разнообразных растительных и животных жиров, потребляемых с пищей. Жир откладывается в ВлдепоВ» тАФ под кожей, в сальнике, в области таза. Жировая клетчатка тАФ не только запас энергетического материала, но и амортизатор. Жировые подушки сводов стопы принимают на себя тяжесть тела. В этом легко убедиться: если встать на колени, где почти нет жировой подкожной прокладки, то тяжесть тела даст о себе знать.
УГЛЕВОДЫ или сахариды,тАФ органические веществах общей формулой СП(Н2О)П1. У большинства углеводов число атомов водорода в два раза превышает количество атомов кислорода. Поэтому эти вещества и были названы углеводами. В животных клетках углеводов немного тАФ 1тАФ2, иногда до 5% (в клетках печени) Богаты углеводами растительные клетки, где их содержание достигает 90% сухой массы (клубни картофеля).
Углеводы, обширная группа природных органических соединений, химическая структура которых часто отвечает общей формуле Cm(H2O)n(т. е. углерод вода, отсюда название). Различают моно-, олиго- и полисахариды, а также сложные углеводы тАФ гликопротеиды, гликолипиды, гликозиды и др. Углеводы тАФ первичные продукты фотосинтеза и основные исходные продукты биосинтеза других веществ в растениях. Составляют существенную часть пищевого рациона человека и многих животных. Подвергаясь окислительным превращениям, обеспечивают все живые клетки энергией (глюкоза и ее запасные формы тАФ крахмал, гликоген). Входят в состав клеточных оболочек и других структур, участвуют в защитных реакциях организма (иммунитет). Применяются в пищевой (глюкоза, крахмал, пектиновые вещества), текстильной и бумажной (целлюлоза), микробиологической (получение спиртов, кислот и других веществ сбраживанием углеводов) и других отраслях промышленности. Используются в медицине (гепарин, сердечные гликозиды, некоторые антибиотики).
Классификация углеводов
Углеводы подразделяют на простые и сложные Простые углеводы называются моносахаридами. В зависимости от числа атомов углерода в молекуле моносахариды называются триозами (3 атома), тетрозами (4 атома), пентозами (5 атомов) или гексозами (6 атомов углерода).
Из шестиуглеродных моносахаридов тАФ гексоэ тАФ наиболее важны глюкоза, фруктоза и галактоза. Глюкоза содержится в крови (0,1тАФ0,12 %) и служит основным источником энергии для клеток и тканей организма. Пентозы тАФ рибоза и дезоксирибоза тАФ входят в состав нуклеиновых кислот и АТФ. Если в одной молекуле объединяются два моносахарида, то такое соединение называют дисахаридом. К дисахаридам относится пищевой сахар, получаемый из тростника или сахарной свеклы. Он состоит из одной молекулы глюкозы и одной молекулы фруктозы. Молочный сахар также является димером и включает глюкозу и галактозу.
Сложные углеводы, образованные многими моносахаридами, называются полисахаридами. Мономером таких полисахаридов, как крахмал, гликоген, целлюлоза, является глюкоза.
Углеводы входят в состав клеток всех живых организмов. Наиболее просто устроены молекулы простых углеводов, или моносахаридов, например, глюкозы. В различных условиях она может существовать в линейной или циклической форме.

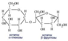
Из молекул моносахаридов образуются сложные углеводы. В состав некоторых из них входит только две молекулы простых углеводов. Такие углеводы получили название дисахаридов. Их примером может служить сахароза, или тростниковый сахар, образующийся в клетках некоторых растений. Она состоит из остатков а-глюкозы и b-фруктозы.

Макромолекулы полисахаридов, состоящие из множества молекул простых углеводов, называются полисахаридами. Одним из них является целлюлоза, входящая в состав клеточных стенок зеленых растений.
Функции углеводов
Углеводы выполняют две основные функции: строительную и энергетическую. Например, целлюлоза образует стенки растительных клеток; сложный полисахарид хитин тАФ главный структурный компонент наружного скелета членистоногих. Строительную функцию хитин
выполняет и у грибов. Углеводы играют роль основного источника энергии в клетке. В процессе окисления 1 г углеводов освобождается 17,6 кДж энергии. Крахмал у растений и гликоген у животных, откладываясь в клетках, служит энергетическим резервом.
ВОДА, Н2О, жидкость без запаха, вкуса, цвета (в толстых слоях голубоватая); плотность 1,000 г/см3 (3,98 В°С), tпл 0 В°С, tкип 100 В°С. Одно из самых распространенных веществ в природе (гидросфера занимает 71% поверхности Земли). Воде принадлежит важнейшая роль в геологической истории планеты. Без воды невозможно существование живых организмов (около 65% человеческого тела составляет вода).
Вода тАФ обязательный компонент практически всех технологических процессов как промышленного, так и сельскохозяйственного производства. Вода особой чистоты необходима в производстве продуктов питания и медицине, новейших отраслях промышленности (производство полупроводников, люминофоров, ядерная техника), в химическом анализе. Стремительный рост потребления воды и возросшие требования к воде определяют важность задач водоочистки, водоподготовки, борьбы с загрязнением и истощением водоемов (см. Охрана природы).
Вода тАФ среда жизненных процессов.
В организме взрослого человека массой 70 кг воды 50 кг, а тело новорожденного состоит на 3/4 из воды. В крови взрослого 83% воды, в мозгу, сердце, легких, почках, печени, мышцах тАФ 70 тАФ 80 %; в костях тАФ 20 тАФ 30%.
Интересно сравнить такие цифры: сердце содержит 80%, а кровь 83% воды, хотя сердечная мышца твердая, плотная, а кровь тАФ жидкость. Объясняется это способностью некоторых тканей связывать большое количество воды.
Вода жизненно необходима. При голодании человек может потерять весь свой жир, 50% белка, но потеря тканями 10% воды смертельна.
Каждые сутки взрослому человеку требуются 2 л воды. Но для нормальной работы ему требуется впятеро больше. Где берут ткани нашего тела столько воды? Они ее создают сами. Эта внутренняя вода постоянно образуется за счет окисления питательных веществ.
Жажда
Ощущение сухости во рту воспринимается часто как чувство жажды, хотя в организме может и не быть обезвоживания. Это доказано опытами на животных, у которых под влиянием атропина полностью прекращалось выделение слюны. Животные испытывали чувство жажды, однако в их' организме воды было достаточно. Первое ощущение жажды появляется при уменьшении слюноотделения на 15%, сильное чувство жажды тАФ при снижении количества слюны на 20% и мучительное чувство жажды тАФ на 50%. Наблюдались случаи, когда человек, не приученный к нормальному утолению жажды, выпивал 5тАФ6 л воды за 8 часов, в то время как другой только 0,5 л, находясь в тех же условиях.
Обильное потение с последующим обильным введением воды нарушает способность клеток тела удерживать воду. Возникает как бы замкнутый круг тАФ чем больше человек пьет, тем больше потеет, чувство жажды ощущается острее. Нужно приучить себя к правильному потреблению воды. Если чувствуешь жажду, пить надо за полчаса до еды или спустя два часа после приема пищи.
Рекомендуется - утолять жажду, выпивая через 15тАФ20 минут по нескольку глотков воды. Выпитая вода не сразу утоляет жажду, так как всасывается она только спустя 10тАФ15 минут. Лучше утолять жажду минеральной или слегка подсоленной водой. Следует чаще полоскать рот слегка подкисленной ягодными и фруктовыми соками водой и сдерживать себя от частого и обильного потребления воды. Приятно освежает газированная вода.
Интересным был опыт в пустыне Каракумы. Две группы людей совершали поход. Одной группе участников похода дали леденцы, в которые входила лимонная кислота, другой их не давали. Воды получили все поровну. Первой группе хватило воды, а второй пришлось выдать дополнительный паек. Сильную жажду в первой группе люди утоляли с помощью леденцов. Их кислый вкус вызывал отделение слюны, и чувство жажды исчезало.
Ложную жажду легче утолить, просто смочив рот водой, чем выпить целый стакан воды. Особенно не следует принимать много жидкости за обедом, поскольку избыток воды осложняет работу сердца, разжижает желудочный сок.
Опыты над животными показали, что введение большого количества воды за короткое время вызывает свое-
образное Влводное отравлениеВ». Если собаке в течение часа вводить 100 г воды на 1 кг массы, то она может погибнуть. Признаки водного отравления имели место у рабочих горячих цехов тАФ потеря чувствительности, рвота, судороги, понос.
Соблюдение водного режима тАФ одно из важных условий здоровья.
СОЛИ, продукты замещения атомов водорода кислоты на металл или групп ОН основания на кислотный остаток. При полном замещении образуются средние, или нормальные, соли (NaCl, K2SO4 и др.), при неполном замещении атомов Н тАФ кислые (напр., NaHCO3), неполном замещении групп ОН тАФ основные [напр., (C17H35COO)Al(OH)2].
Различают также двойные соли (напр., KCl.MgCl2) и комплексные. В обычных условиях соли тАФ кристаллы с ионной структурой. Многие соли растворимы в полярных растворителях, особенно в воде; в растворах диссоциируют на катионы и анионы.
Многие минералы тАФ соли, образующие залежи (напр., NaCl, KCl).
Соли в организме
В теле человека до 3 кг минеральных солей, из которых 5/6 находится в костях. В общем солевом обмене значительный удельный вес занимает поваренная соль. В организме взрослого человека ее около 300 г.
Соль известна человеку с незапамятных времен. Древний философ Диоген писал, что лучшая пища человеку не нравится без соли.
Поваренная соль тАФ необходимая составная часть пищи. Ее среднесуточная норма для взрослого тАФ 15 г. При питании растительной пищей в условиях жаркого климата или в жаркие летние дни тАФ до 20тАФ25 г. За год человек потребляет 5,5 кг соли.
Хронический недостаток соли в организме может привести к головокружениям, обморокам, нарушениям сердечной деятельности, резкому сокращению выделения пищеварительных соков, снижению аппетита, уменьшению количества воды в крови и органах. Ежедневная добавка 3тАФ4 г соли в пищу снимает эти болезненные явления.
Грудной ребенок нормально развивается без добавки соли в пищу. Он получает ее с молоком матери, в литре которого содержится до 0*1 г поваренной соли.
В некоторых странах Африки отдельные народности не знают поваренной соли. Они довольствуются той солью, которая входит в состав пищи. Солить пищу тАФ непозволительная роскошь для многих африканцев. Выражение Влон солит пищуВ» означает в народе Влон богатВ».
Чрезмерное потребление соли вредно для здоровья тАФ нарушается деятельность сердца, почек, возникают отеки ног, развивается общая слабость, повышается кровяное давление. Особенно вреден избыток соли при гипертонии. Это подтверждается экспериментами и медицинской статистикой. Оказывается, японцы больше всего потребляют соли и они же имеют самый высокий уровень кровяного давления.
При болезни почек, повышенном кровяном давлении общее суточное потребление соли с пищей не должно превышать 7 тАФ 8 г.
Огромна роль и других солей. Соли калия, так же как и соли натрия, влияют на содержание воды в тканях. Они поддерживают слабощелочную среду крови. Калий необходим для нормальной возбудимости нервной и мышечной тканей.
Соли кальция тАФ главная составная часть скелета. Они влияют на рост клеток, на процессы свертывания крови, активизируют фагоцитоз. При недостатке солей кальция у детей развивается рахит. Главный источник щелочных солей тАФ фрукты и овощи. Особенно полезны фруктовые соки.
Железо входит в состав гемоглобина, многих ферментов, содержится в ядре клеток. Окислительные и обменные процессы происходят при участии железа. При расходовании железосодержащих веществ освобождается такое количество железа, какое вводится в организм с пищей.
В состав скелета входит значительное количество фосфорнокислого кальция, который придает костям прочность. В среднем в костях 600 г фосфора.
Соединения меди влияют на процессы кровообразования.
Нормальный солевой обмен обеспечивается не только достаточным количеством солей, но и нормальным их соотношением. Организм очень чувствителен к изменению соотношения концентрации солей в крови и тканях. Возрастание концентрации солей создает неблагоприятные условия для жизни клеток. Нервные окончания воспринимают эти изменения в крови и тканевой жидкости через головной мозг. Появляется чувство жажды. Потребление воды снижает избыток солей до нормы. Излишки воды и солей выводятся с потом и мочой.
Минеральные соли
Подавляющая часть неорганических веществ клетки находится в виде солей тАФ либо диссоциированных на ионы, либо в твердом состоянии. Среди первых большое значение имеют катионы К+, Na+, Ca +, которые обеспечивают такое важнейшее свойство живых организмов, как раздражимость. В тканях многоклеточных животных кальций входит в состав межклеточного Влцемента>, обусловливающего сцепление клеток между собой и упорядоченное их расположение в тканях. Следует обратить внимание на то, что содержание катионов в клетке и в окружающей клетку среде тАФ регулируемый процесс. Например, в цитоплазме клеток довольно много калия и очень мало натрия. Во внеклеточной среде (в плазме крови, в" межклеточной жидкости, в морской воде) много натрия и мало калия.
От концентрации солей зависят буферные свойства клетки. Буферностью называется способность клетки поддерживать слабощелочную реакцию своего содержимого на постоянном уровне. Внутри клетки буферность обеспечивается главным образом анионами НгРОГи НРО?-. Во внеклеточной жидкости и в крови роль буфера играют НгСОз и НСОзТ Анионы слабых кислот и слабые щелочи связывают ионы водорода и гидроксилионы (ОН"), благодаря чему реакция внутри клетки практически не меняется.
Нерастворимые минеральные соли, например фосфорнокислый кальций, обеспечивают прочность костной ткани позвоночных и раковины моллюсков.
РЖРЖ Белковый, углеводный, жировой обмен организма человека (поступление веществ, их превращения в пищеварительном тракте и клетках).
ПИТАНИЕ - поступление в организм растений, животных и человека и усвоение ими веществ, необходимых для восполнения энергетических затрат, построения и возобновления тканей. Посредством питания, как составной части обмена веществ, осуществляется связь организма со средой. В зависимости от типа питания все организмы делят на автотрофов и гетеротрофов. Большинству растений свойственно воздушное (фотосинтез) и почвенное (минеральное) питание. Способ питания животных определяется главным образом средой обитания и характером доступной пищи. Недостаточное и избыточное питание приводит к нарушениям обмена веществ.
Питание человека
Энергия химических связей веществ пищи тАФ жиров, углеводов и белков и некоторых других тАФ обеспечивает энергетические потребности организма человека.
Современные представления о питании человека нашли отражение в теории. Пища тАФ фактор, обеспечивающий человека энергией и компонентами, необходимыми для роста и развития организма. Рациональное питание способствует сохранению здоровья, работоспособности, используется в профилактике и лечении различных заболеваний. Вкус пищи, ее аромат, внешний вид могут влиять на настроение человека.
Согласно современной теории сбалансированного питания для обеспечения нормальной жизнедеятельности организма необходимо его снабжение адекватным количеством энергии и пищевых веществ при соблюдении достаточно строгих взаимоотношений (баланса) между незаменимыми факторами питания, каждому из которых в обмене веществ принадлежит специфическая роль. В экстремальных условиях, например при полном голодании, организм человека может существовать определенное время за счет внутренних запасов и структур. Этот процесс получил название эндогенного питания.
Суточные энергозатраты человека и соответствующая им потребность в энергии составляют от 7100 до 21000 кДж (примерно 1700тАФ5000 ккал) и более; они зависят от пола, возраста, характера труда и образа жизни.
В пищевых продуктах выделяют такие пищевые вещества (нутриенты) как белки (протеины), углеводы, жиры (липиды), витамины, минеральные вещества.
Белковый обмен организма
Белки являются важнейшими компонентами пищи животных и человека. Пищевая ценность белков определяется содержанием в них незаменимых аминокислот, которые в самом организме не образуются. В этом отношении растительные белки менее ценны, чем животные: они беднее лизином, метионином и триптофаном, труднее перевариваются в желудочно-кишечном тракте. Отсутствие незаменимых аминокислот в пище приводит к тяжелым нарушениям азотистого обмена. В процессе пищеварения белки расщепляются до свободных аминокислот, которые после всасывания в кишечнике поступают в кровь и разносятся ко всем клеткам. Часть из них распадается до простых соединений с выделением энергии, используемой на разные нужды клеткой, а часть идет на синтез новых белков, свойственных данному организму.
Белки составляют примерно 20% массы человеческого тела и более 50% сухой массы клетки. В тканях человека белки не откладываются Влпро запасВ», поэтому необходимо ежедневное их поступление с пищей.
Десять аминокислот из 20 известных не могут синтезироваться в организме человека. Их называют незаменимыми. К их числу относят триптофан, лизин, метионин, лейцин, изолейцин, валин, фенилаланин, треонин, гистидин, аргинин. Последние две аминокислоты являются незаменимыми только у детей, особенно новорожденных.
Белки пищи отличаются друг от друга по своей биологической ценности. Последняя зависит от наличия в них незаменимых аминокислот, их соотношения с заменимыми, перевариваемости в пищеварительном тракте. В среднем биологическая ценность выше у белков животного происхождения. Белки, содержащиеся в молоке, яйцах, мясе, печени, обладают оптимальным соотношением незаменимых аминокислот. Их усвояемость в пищеварительном тракте составляет 97%.
Растительные белки усваиваются гораздо хуже тАФ лишь на 83-85% тАФ из-за значительного содержания балластных (неперевариваемых) веществ в продуктах растительного происхождения. Растительная пища в большинстве своем содержит небольшое количество белка и часто дефицитна по триптофану, лизину, метионину. Лишь в бобовых (горохе, фасоли, сое) содержится высокий процент белка (24-45%). Семена подсолнечника, орехи имеют в своем составе около 20% белка. По аминокислотному составу к животным белкам приближаются белки сои, риса и ржи.
Потребность в белке зависит от возраста, пола, характера трудовой деятельности, климатических и национальных особенностей питания. В нашей стране для взрослых, не выполняющих существенной физической нагрузки, рекомендуемая суточная норма белка составляет чуть меньше 1 г на кг массы тела. За счет белка пищи должно обеспечиваться 1/6 доля в весовом выражении, 10-13% общей энергетической потребности организма; при этом 55% белка рекомендуемой нормы должны быть животного происхождения. Для детей и занятых физическим трудом взрослых норма белка существенно выше. Потребность детей в белке составляет 1,5-4 г/кг массы тела в связи с преобладанием в организме пластических процессов.
Углеводный обмен организма
Углеводы в состав пищевых продуктов входят в виде моносахаридов (фруктоза, глюкоза), олигосахаридов (сахароза, лактоза) и полисахаридов (крахмал, гликоген, клетчатка, пектиновые вещества). Для человека углеводы являются основным источником энергии. При их окислении из 1 г в организме образуется 4 ккал (16,7 кДж).
Средняя потребность в углеводах для людей, не занятых физическим трудом, равна 400-500 г/сут, в весовом выражении тАФ 2/3 от суточного рациона, в калорическом тАФ около 60%. При интенсивной физической нагрузке количество углеводов, необходимых организму, увеличивается.
При питании предпочтение должно отдаваться полисахаридам (крахмал, гликоген, пектин и др.), а не олиго-моносахаридам (сахароза, глюкоза, фруктоза, лактоза и др.). Первые медленнее перевариваются и динамика концентрации конечного продукта переваривания тАФ глюкоз
Вместе с этим смотрят:
Австралопитеки - обезьянолюди или человекообезьяны?
Адаптация микроорганизмов в экстремальных условиях космоса
Адвентивна флора Чернiгiвськоi областi: iсторiя формування та сучасний стан
Адсорбция ионных и неионных поверхностно-активных веществ (ПАВ)