Современные концепции относительности
Целью данной контрольной работы является раскрытие сути современных концепций относительно времени, для этого мы рассмотрим такие темы, как:
В· Понятие пространства и времени, измерение времени;
В· Время в специальной и общей теориях относительности;
В· Гиперхронологическое историческое пространство;
В· Ускорение исторического времени;
В· Логарифмическая шкала времени, ВлдырыВ» в пространстве и времени;
В· Бифуркации, фракталы, аттракторы.
Эти темы актуальны как никогда именно в современное время, в век новейших технологий, открытий, когда каждый человек стремится познать неизведанное.
1.КОНЦЕПЦИЯ ОТНОСИТЕЛЬНОСТИ ПРОСТРАНСТВА И
ВРЕМЕНИ
Два часа, проведенные в обществе любимой девушки, покажутся вам минутой. Напротив, если вам придется минуту посидеть на раскаленной докрасна печке, то эта минута покажется двумя часами. Вот это и есть относительность времени.
А. Эйнштейн
1.1 Понятие пространства и времени
Когда говорят, что все явления природы и процессы происходят в пространстве и времени, подразумевают при этом, что для их описаний требуется указание места, где они происходят, и времени, когда происходят. То, что происходит в данной точке и в данный момент времени, называют в физике элементарным событием. Совокупность же всех возможных событий принято называть миром, где каждому отдельному событию соответствует мировая точка, а процессу, т. е. последовательности элементарных событий, тАФ мировая линия.
Реальное физическое пространство принимается трехмерным, а время тАФ одномерным. Поэтому положение произвольной точки задается тремя числами или параметрами, а время тАФ одним числом. Способ, посредством которого каждому событию ставится в соответствие набор четырех чисел, называют системой отсчета.
При практическом построении координатной системы отсчета выбирают тело отсчета или совокупность тел отсчета и
некоторую точку тАФ начало отсчета, а также три фиксированных направления тАФ оси координат. К ним добавляют эталонный масштаб длины, позволяющий определять расстояния, единицы угловых измерений, а также соответствующие приборы и инструменты, с помощью которых находят три параметра, которые принимаются в качестве координат выбранной точки. Для измерения промежутков времени и определения моментов наступления событий задаются начало отчета времени и эталонные часы, причем предполагается, что часами снабжены все точки пространства и часы синхронизированы между собой. Под часами понимают любой строго периодический процесс, продолжительность которого принимается за единицу.
Пространство и время традиционно рассматривались в философии и науке как основные формы существования материи, ответственные за расположение, структурность и протяженность отдельных элементов материи относительно друг друга и за закономерную координацию сменяющихся друг друга явлений. Характеристиками пространства считались однородность-одинаковость свойств во всем пространстве и изотропность-независимость свойств от направления. Время также считалось однородным, т. е. любой процесс в принципе повторим через некоторый промежуток времени. С этим свойством связана симметрия мира, которая имеет большое значение для его познания. Пространство рассматривалось как трехмерное, а время как одномерное и идущее в одном направлении тАФ от прошлого к будущему. Время необратимо, но во всех физических законах от перемены знака времени на противоположный ничего не меняется и, стало быть, физически будущее неотличимо от прошедшего.
Таким образом, пространство есть всеобщая объективная форма существования материи, являющаяся необходимым условием возникновения и движения конкретных материальных систем. Понятие "пространство" выражает:
- взаимное расположение материальных систем (объектов) впереди, позади, вне, внутри, около, далеко, близко и т. д.;
- способность их занимать определенный объем, иметь протяженность тАФ длину, ширину и высоту;
- свойство материальных объектов иметь определенную форму, структуру.
Время есть всеобщая объективная форма существования движущейся материи, являющаяся необходимым условием возникновения и изменения конкретных материальных систем и выражающая структурность, темп и длительность материальных процессов и объективную последовательность событий. Следовательно, понятие "время" выражает также всеобщее свойство таких материальных систем и процессов, как:
- длительность существования предметов, систем и развития их отдельных фаз, сторон, ступеней и т. д.;
- порядок следования и смена состояний, известная последовательность процессов (до, после, одновременно и т. п.).
Пространство и время тАФ это не самостоятельные сущности, а коренные формы бытия, существования движущихся материальных систем. Пространство и время представляют собой формы, в которых проявляется активность материи. Им присущи такие всеобщие свойства, как объективность, безграничность и бесконечность, единство абсолютности и относительности, прерывности и непрерывности. Так, например, они абсолютны в том смысле, что составляют всеобщие условия всякого бытия, они относительны, потому что в своих конкретных свойствах зависят от состояния движущейся материи.
Несмотря на наличие общих свойств, пространство и время имеют свою специфику, а в ряде существенных свойств они различны. Пространство трехмерно и обладает свойством симметрии, а время тАФ одномерно и однонаправленно, течет от прошлого к настоящему и от него к будущему. В одномерном времени, его необратимости выражен непосредственный характер связи между меняющимися состояниями материальных объектов, а также охарактеризована общая тенденция следования одних материальных явлений за другими, переход от низших форм к высшим, от простых к более сложным системным образованиям.
Пространство и время есть единство бесконечного и конечного. Бесконечность пространства проявляется абсолютным характером движущейся материи, отсутствием каких-либо ко-
нечных, застывших состояний, неисчерпаемостью в структурном отношении и качественными превращениями материи. Бесконечность времени состоит в том, что материя вечна в прошлом и будущем, что время тАФ это всеобщая форма существования бесконечной материи.
Конечность пространства выражается в прерывности движения, дискретности и дифференцированности материальных систем. Точно так же время складывается из бесконечного множества длительностей существования отдельных материальных систем, где протекают необратимые процессы.
В физике теория пространства и времени с метафизических позиций была обоснована Ньютоном. Он различал абсолютные и относительные пространство и время. Относительные пространство и время тАФ это чувственно воспринимаемые зависимости между материальными телами, абсолютные тАФ это математические пространство и время, которые независимы от материи, друг от друга и составляют пустые вместилища для материи. Тела, находясь в пространстве и двигаясь в нем, не взаимодействуют с ним. Пространство, по Ньютону, является абсолютной системой отсчета и остается всегда неподвижным, однородным, обладает всюду, во всех точках и направлениях одинаковыми геометрическими свойствами. Время Ньютон определял как чистую длительность и считал, что оно, так же как пространство, служит абсолютной системой отсчета, благодаря чему якобы становится возможным измерение во времени тех или иных реальных процессов, происходящих в пустом пространстве. Но эти реальные процессы, происходящие во времени, не взаимодействуют с абсолютным временем. Это был метафизический взгляд на пространство и время применительно к механическим процессам. При этом основой пространственных понятий в механике Ньютона служила геометрия Евклида с ее представлением об однородности и действительности свойств всего бесконечного пространства.
Создание в первой половине XIX в. Н. Лобачевским, а затем Б. Риманом неевклидовой геометрии устранило один из основных доводов в пользу ньютоновской концепции пространства и времени тАФ наличие только одной евклидовой геометрии. Так, геометрия, созданная Н. Лобачевским, отражает новые, неизвестные ранее, свойства пространства. Она исходит из материалистического принципа зависимости геометрических свойств пространства от материи, от происходящих материальных процессов. Идеи Лобачевского значительно подорвали метафизическое представление об однородности и абсолютности пространства. Вместе с тем эти новые идеи явились сильнейшим ударом по априоризму Канта, который рассматривал пространство и время как априорные формы человеческого созерцания, предшествующие всякому опыту. Тем самым Лобачевский показал, что пространственные формы присущи самому объективному миру и что геометрические положения отражают свойства реального пространства, имеют опытное происхождение.
Идеи Лобачевского получили свое дальнейшее развитие в теории относительности А. Эйнштейна. Согласно теории относительности Эйнштейна, время и пространство существуют сами по себе и находятся в прямой неразрывной связи с движущейся материей. Теория относительности, которая включает в себя частную и общую теорию относительности, вскрыла конкретные формы органичной взаимосвязи пространства и времени, установила их зависимость от распределения и движения материи, показав тем самым, что пространство и время не существуют отдельно друг от друга и от материи и что они не являются абсолютными в смысле классической физики.
1.2 Измерение времени
Река времени в своем стремлении Уносит все дела людей И топит в пропасти забвения Народы, царства и царей.
Г. Державин
Исторически измерение времени принято проводить на основе вращения Земли вокруг оси и обращения Земли вокруг
Солнца. Единицу первого периода называют сутками, а единицу второго тАФ годом. Солнечными сутками называют промежуток времени, в течение которого Земля совершает один полный оборот вокруг своей оси относительно Солнца. Из-за годичного обращения Земли вокруг Солнца, которое происходит неравномерно и под углом 23В°27' к экватору, солнечные сутки в году неодинаковые. Поэтому используют средние солнечные сутки продолжительностью 24 часа. Деление суток на 24 доли началось с древних египтян, когда они определяли движение неба за сутки по 24 созвездиям (деканам). За начало суток принята полночь. Значит, среднее солнечное время тАФ это промежуток времени от нижней кульминации Солнца (прохождение Солнца через небесный меридиан в полночь) до любого его другого положения, выраженный в долях средних солнечных суток. 24-я доля тАФ час, 60-я доля часа тАФ минута, 60-я доля минуты тАФ секунда.
Среднее солнечное время данного географического меридиана называют местным временем. Оно увеличивается к востоку. За начало местных времен принят Гринвичский меридиан, местное время которого называют всемирным временем. Пользоваться местным временем в близкорасположенных местах неудобно. Поэтому по предложению канадского инженера Флеминга в 1884 г. введено поясное время. Поверхность Земли разбита на 24 часовых пояса вокруг 24 основных меридианов, проходящих через 15В° по долготе. Местное время основного меридиана принято за время всего пояса и называется поясным временем. Принято начало суток считать с демаркационной линии или линии перемены даты, проведенной на 180В° от Гринвичского меридиана. При переходе с запада на восток с одного часового пояса на другой время увеличивается на 1 час, а при переходе с запада на восток через демаркационную линию уменьшается на 1 сутки, при обратном переходе тАФ наоборот. В целях рационального использования энергии за сутки вводят декретное, или сезонное, время, когда к поясному времени добавляют 1 час на весь год или на сезон. Из-за неравномерности вращения Земли вокруг оси, обусловленной влиянием лунных, солнечных приливов, сезонных перераспределений водных, воздушных масс и других причин, за эталон времени принято атомное время. Эталонная секунда равна 9 192 631 770 периодам колебаний, соответствующим переходу между двумя сверхтонкими уровнями основного состояния атома цезия-133 при отсутствии возмущений внешних полей.
Для измерения длительных промежутков времени используют календарь. Точный календарь должен быть близким к продолжительности тропического года и содержать целое число суток. Продолжительность тропического года, одного оборота Земли вокруг Солнца, составляет 365 сут. 5 час 48 мин. 46 сек., или 365,24220 средних солнечных суток. В истории народов было множество календарей. Наиболее распространенными из них являются лунный и солнечный. Лунный календарь основан на продолжительности синодического лунного месяца (промежуток времени между двумя последовательными одинаковыми фазами Луны и равен 29,53 средних солнечных суток). Поэтому лунный календарь содержит 12 месяцев, из которых 6 имеют 30 суток, 6 тАФ 29 суток. Продолжительность календарного года 354 суток (меньше тропического года на 11,2422 суток). Поэтому начало каждого следующего года в лунном календаре встречают на эту величину раньше. По продолжительности основных фаз Луны (новолуние, 1-я четверть, полнолуние, последняя четверть) возникла семидневная неделя в Вавилоне. Они назвали воскресенье днем Солнца, понедельник тАФ Луны, вторник тАФ Марса, среду тАФ Меркурия, четверг тАФ Юпитера, пятницу тАФ Венеры, субботу тАФ Сатурна. Так называют дни недели многие европейские народы. Славянские народы дни недели называли как: понедельник тАФ 1-й день недели, вторник тАФ 2-й день, среда тАФ середина недели, четверг тАФ 4-й день, пятница тАФ 5-й день, суббота тАФ иудейский праздник шаабат, воскресенье тАФ христианский праздник.
Солнечный календарь возник в Египте. В начале он содержал 360 суток. Видимо, отсюда пошло деление математиками окружности на 360В°. Затем уточнили его до 365 суток. А в 46 г. до н. э. по предложению александрийского ученого Созигена Ю. Цезарь ввел календарь с високосными годами, называемый
юлианским календарем. Три года считались здесь простыми и содержали по 365 суток, а четвертый, делящийся без остатка на 4, тАФ високосным (повторный шестой). Продолжительность юлианского года 365,25 суток. Дальнейшее уточнение солнечного календаря сделал в 1582 году папа римский Григорий XIII. Здесь в отличие от юлианского календаря из годов столетий високосными считаются только те, у которых сотни делятся на 4 без остатка. Продолжительность григорианского календарного года 265,2425 суток. Мы сейчас пользуемся григорианским календарем. Разделение года на 12 месяцев и их продолжительность перешло к нам от римского календаря. Начало года тогда было с марта, названного в честь их бога-покровителя Марса, апрель от латинского названия тАФ солнечный, май тАФ в честь богини Земли Майи, июнь тАФ в честь богини неба Юноны, июль тАФ Юлия Цезаря, август тАФ Октавиана Августа, сентябрь означает седьмой (септем-бер), октябрь тАФ восьмой (октобер), ноябрь тАФ девятый (новембер), декабрь тАФ десятый (децембер), январь тАФ в честь двуликого бога времени Януса, февраль тАФ месяц очищений перед новым годом. Позднее начало года перенесли на 1 января.
Начала летосчислений в истории общества были различные: от Сотворения мира, от основания Рима, от Олимпийских игр, от появления каких-то правителей. Нынешнее летосчисление относят к Рождеству Христову.
1.3 Пространство и время в специальной теории относительности
Отныне пространство само по себе и время само по себе обращаются в бесплотные тени; сохранит физический смысл лишь некоторая форма их объединения.
Г. Минковский
Систем отсчета бесконечно много, но среди них можно выделить класс так называемых инерциальных. В инерциальных системах отсчета всякие свободно движущиеся объекты движутся равномерно и прямолинейно. Инерциальных систем отсчета можно выбрать сколь угодно, и все они будут относительно друг друга двигаться по инерции.
Нет критерия, благодаря которому мы могли бы предпочесть одну инерциальную систему отсчета другой, также инерциаль-ной. Все инерциальные системы отсчета являются физически эквивалентными, и опыт это подтверждает.
В классической механике был известен принцип относительности Галилея: если законы механики справедливы в одной системе координат, то они справедливы и в любой другой системе координат, движущейся прямолинейно и равномерно относительно первой, т. е. в инерциальных системах координат. В другой формулировке он звучит так: никакими опытами, проведенными в инерциальной системе отсчета, нельзя доказать, покоится система отсчета или движется равномерно, прямолинейно. Все законы механики во всех инерциальных системах отсчета проявляются одинаково. В инерциальных системах отсчета пространство и время носят абсолютный характер, т. е. интервал времени и размеры тел не зависят от состояния движения системы отсчета.
В начале XX в. выяснилось, что принцип относительности справедлив также в оптике и электродинамике, т. е. в других разделах физики. Принцип относительности расширил свое значение и теперь звучал так: законы физики имеют одинаковую форму во всех инерциальных системах отсчета. Переход от одной инерциальной системы к другой осуществлялся в соответствии с преобразованиями Галилея. Скорость тела относительно неподвижной системы отсчета слагается из скорости тела и скорости системы отсчета.
При обобщении принципа относительности и распространении его на электромагнитные процессы постулируется постоянство скорости света, т. е. скорость света не слагается со скоростью системы отсчета. Чем вызвано такое особое отношение к свету и его скорости как к эталону для измерения времени и пространства? Это связано с тем, что свет есть электромагнитная волна, являющаяся формой материи. Световой волне для распространения не требуется специальной материальной среды тАФ эфира (как морским волнам нужна вода, звуку тАФ воздух, вода или твердое тело). Причем скорость света не зависит от движения источника света или наблюдателя. Это утверждение обычно называют принципом относительности. По словам А. Эйнштейна, теория относительности начинается с двух положений:
В· Скорость света в вакууме одинакова во всех системах отсчета, движущихся прямолинейно и равномерно друг относительно друга.
В· Все законы природы одинаковы во всех системах отсчета, движущихся прямолинейно и равномерно относительно друг друга.
Таковы два основополагающих принципа тАФ принцип постоянства скорости света и принцип относительности. Фактически принцип постоянства скорости света является следствием принципа относительности. Утверждение о постоянстве скорости света в вакууме, т. е. независимости скорости света от скорости источника и скорости наблюдателя, является естественным выводом из многих экспериментальных фактов. Это утверждение выдержало многочисленные экспериментальные проверки. Главным же его подтверждением является согласие с экспериментом всех тех выводов, которые из него следуют. Эти подтверждения многочисленны, потому что вся современная физика больших скоростей и высоких энергий основывается на постулате постоянства скорости света.
Тем не менее в своем абсолютном виде утверждение о постоянстве скорости света является постулатом, т. е. допущением, выходящим за пределы экспериментальной проверки. Это связано с конечной точностью экспериментальных проверок, как это было объяснено выше в связи с постулативным характером принципа относительности.
А. Эйнштейн в 1905 г. показал, что закон постоянства распространения света в пустоте (300 000 км/с) и принцип относительности совместимы. Это положение составляет основу специальной теории относительности. Он отметил, что классическая механика опиралась на две ничем не оправданные гипотезы:
В· промежуток времени между двумя событиями не зависит от состояния движения системы отсчета;
В· пространственное расстояние между двумя точками твердого тела не зависит от состояния движения системы отсчета.
Отсюда вытекало, что промежуток времени и расстояние имеют абсолютные значения, т. е. не зависят от состояния движения системы отсчета. И хотя эти предположения с точки зрения здравого смысла кажутся очевидными, тем не менее они не согласуются с результатами тщательно проведенных экспериментов, подтверждающих выводы новой, специальной теории относительности.
Рассматривая возникшие противоречия, в связи с тем, что скорость света выступает как универсальная постоянная природы, Эйнштейн предложил отказаться от представления об абсолютности и неизменности свойств пространства и времени. Данный вывод противоречит здравому смыслу и тому, что Кант называл условиями созерцания, поскольку мы не можем представить никакого пространства, кроме трехмерного, и никакого времени, кроме одномерного. Но наука совсем не обязательно должна следовать здравому смыслу и неизменным формам чувственности. Главный критерий для нее тАФ соответствие теории и эксперимента. Теория Эйнштейна удовлетворяла этому критерию и была принята. В свое время и представления о том, что Земля круглая и движется вокруг Солнца, тоже казались противоречащими здравому смыслу и наблюдению, но именно они оказались справедливыми.
Из специальной теории относительности следует, что длина тела и длительность происходящих в нем процессов являются не абсолютными, а относительными величийами. При приближении к скорости света все процессы в системе замедляются, продольные (вдоль движения) размеры тела сокращаются и события, одновременные для одного наблюдателя, оказываются разноименными для другого, движущегося относительно него.
Если принять предположение классической механики об абсолютном характере расстояний и времен, то уравнения преобразования пространственных координат и времени при
переходе от покоящейся системы отсчета к движущейся вдоль оси х относительно него равномерно прямолинейно со скоростью v системе отсчета будут иметь следующий вид:
![]()
Скромное равенство t1 = t означало, что во всех системах отсчета время течет одинаково, слова "сейчас", "настоящий момент" имеют абсолютный смысл (факт, представлявшийся очевидным до начала XX столетия). Эти уравнения часто называют преобразованиями Галилея. Если же преобразования должны удовлетворять также требованию постоянства скорости света, то они описываются уравнениями Лоренца, названными по имени нидерландского физика Хендрика Антона Лоренца, и имеют вид:

Теперь следует говорить не о системе координат, а о системе отсчета, т. е. о совокупности системы координат и часов. Абсолютности времени больше нет, каждая система отсчета характеризуется своим собственным временем. Указывая момент времени, надо указывать также соответствующую систему отсчета. Все это явно проявляется лишь при достаточно больших относительных скоростях систем; если же v
с, то, как легко видеть, преобразования Лоренца переходят в преобразования Галилея тАФ специальная теория относительности переходит в классическую механику как свой предельный случай.
Эйнштейн отмечает, что неподвижный наблюдатель воспринимает проносящееся мимо него шарообразное тело в виде сплюснутого эллипсоида вращения. С точки зрения наблюдателя, движущегося вместе с телом, оно, как и прежде, сохраняет форму шара, однако все предметы, не движущиеся вместе с этим наблюдателем, точно таким же образом представляются ему укороченными в направлении движения. Этот результат оказывается не таким уж странным, если учесть, что это высказывание о размерах движущегося тела имеет весьма сложный смысл, поскольку теперь размеры тела можно определить только с помощью измерения времени. Пространство и время рассматриваются теперь во взаимосвязи.
Опираясь на преобразования Лоренца, легко проверить, что движущаяся твердая линейка будет короче покоящейся, и тем короче, чем быстрее она движется:
![]()
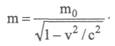
Если принять скорость света бесконечно большой, то при постановке ее в уравнения Лоренца последние переходят в уравнения Галилея. Но специальная теория, как известно, постулирует постоянство скорости света. Этот постулат следует из уравнений электромагнитных процессов Максвелла. Чтобы согласоваться с постулатами специальной теории относительности, классическая механика нуждалась в некоторых изменениях. Например, если во втором законе Ньютона (F= та) масса считалась постоянной, в теории относительности она зависит от скорости движения и выражается формулой
![]()
Когда скорость тела приближается к скорости света, масса его неограниченно растет и в пределе приближается к бесконечности. Поэтому, согласно теории относительности, движения со скоростью, превышающей скорость света, невозможны. Движения со скоростями, сравнимыми со скоростью света, впервые удалось наблюдать на примере электронов, а затем и других элементарных частиц. Тщательно поставленные эксперименты с такими частицами действительно подтвердили предсказания теории об увеличении их массы с возрастанием скорости.
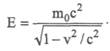
В 1905 г. А. Эйнштейн пришел к заключению, что масса тела есть мера содержащейся в нем энергии. Позднее он формулирует следующий важный вывод специальной теории относительности: масса и энергия эквивалентны друг другу тАФ появляется знаменитая формула Эйнштейна, связывающая энергию и массу:
![]()
При достаточно больших скоростях (в этом случае говорят о релятивистской физике) специальная теория относительности приводит к общему выражению для энергии:

Через m0 обозначена масса покоя (масса тела в системе отсчета, связанной с этим телом), а Е тАФ энергия тела, рассматриваемая в системе, относительно которой тело движется со скоростью v.
До создания специальной теории относительности законы сохранения энергии и массы рассматривались как два самостоятельных закона сохранения. Теперь же оба этих закона слились в один. По выражению Эйнштейна, масса должна рассматриваться как "сосредоточие колоссального количества энергии".
Таким образом, влияние специальной теории относительности выходит далеко за пределы тех проблем, из которых она возникла. Она снимает трудности и противоречия теории поля; она формирует более общие механические законы; она заменяет два закона сохранения одним; она изменяет наше классическое понятие абсолютного времени. Ее ценность не ограничивается лишь сферой физики; она образует общий остов, охватывающий все явления природы.
Однако экспериментальные данные о постоянстве скорости света и вытекающие из этого относительность времени и пространства приводят к парадоксам, для разрешения которых понадобилось введение принципиально новых представлений. Например, одним из таких парадоксов является парадокс близнецов.
Парадокс близнецов. Поскольку в равномерно движущемся с огромной скоростью космическом корабле темп времени замедляется и все процессы происходят медленнее, чем на Земле, то космонавт, вернувшись на нее, окажется моложе своего брата-близнеца.
Рассмотрим двух близнецов А и В в возрасте 20 лет. Один из них (В) отправляется в космическое путешествие к звезде Арктур на корабле, летящем со скоростью 0,99 с. Для жителей Земли расстояние до звезды Арктур составляет 40 световых лет. Сколько лет будет близнецам А и В, когда В, закончив свое путешествие, вернется обратно на Землю?
С точки зрения близнеца А, путешествие, чтобы долететь до звезды и обратно, займет 80 лет, т. е. когда В вернется, возраст А будет 20 + 80= 100 лет.
С точки зрения близнеца В, часы на космическом корабле будут идти медленнее в
раза. Это значит, что за время путешествия на корабле пройдет 80 лет, умноженные на 0,141, или 11,4 года. Итак, к концу путешествия близнец В будет в возрасте 20 + 11,4 = 31,4 года. Следовательно, он окажется моложе своего брата, оставшегося на Земле, на 68,6 года. Космический путешественник не чувствует, что его время идет медленнее. В приведенном примере расстояние до звезды Арктур кажется близнецу В укороченным благодаря лоренцевому сокращению. По его измерениям расстояние от Земли до звезды Арктур составляет
световых лет, или5,64 световых лет, а чтобы долететь до Арктура и вернуться обратно тАФ 11,4 года. Этот результат согласуется с вычислениями близнеца А, оставшегося на Земле.
Однако возникает кажущийся парадокс: если космонавт взглянет на Землю, он увидит, что земные часы идут медленнее, чем его часы. Казалось бы, близнец А в конце путешествия окажется моложе В, что противоречит предыдущим аргументам. В самом деле, если скорость действительно относительна, то как вообще можно прийти к асимметрическому результату? Разве из симметрии не следует, что оба брата должны остаться в одинаковом возрасте? На первый взгляд кажется, что теория Эйнштейна ведет к противоречию. Но парадокс устраняется, если учесть, что задача несимметрична по своей природе. Неправильность приведшего к парадоксу рассуждения состоит в том, что системы отсчета, связанные с близнецами, неэквивалентны тАФ одна из них инер-циальна, а вторая, связанная с ракетой, неинерциальна. Близнец на Земле все время остается в одной и той же инерциальной системе отсчета, тогда как его брат-космонавт переходит из одной системы отсчета в другую. Правильное применение уравнений Эйнштейна также приводит к выводу, что с точки зрения космонавта его брат, оставшийся на Земле, к концу путешествия окажется старше.
В настоящее время известно много экспериментальных подтверждений замедления времени. Замедление времени играет большую роль при работе на современных ускорителях, где часто приходится направлять частицы от источника их получения к далеко отстоящей мишени, с которой частица взаимодействует. Если бы не было эффекта замедления времени, то это было бы невозможно, потому что время прохождения этих расстояний зачастую в десятки и сотни раз больше собственного времени жизни частиц в состоянии покоя. В пользу этого говорят также наблюдения над элементарными частицами, названными мю-мезонами, или мюонами. Средняя продолжительность существования таких частиц около 2 мкс, но тем не менее некоторые из них, образующиеся на высоте 10 км, долетают до поверхности Земли. Как объяснить этот факт? Ведь при средней "жизни" в 2 мкс эти частицы могут проделать путь только 600 м. Все дело в том, что продолжительность существования мюонов определяется по-разному для разных систем отсчета. С "их" точки отсчета, они живут 2 мкс, с нашей же, земной, тАФ значительно больше, так что некоторые из них, движущиеся со скоростью, близкой к скорости света, достигают поверхности Земли. Эксперименты, проведенные французским физиком Арманом Физо еще до открытия теории относительности, по определению скорости распространения света в неподвижной жидкости и жидкости, протекающей с некоторой скоростью, также подтвердили выводы специальной теории относительности. С помощью тщательных измерений, многократно повторенных разными исследователями, было установлено, что результат сложения скоростей соответствует преобразованию Лоренца.
Наиболее выдающимся подтверждением этой теории был отрицательный результат опыта американского физика Альберта Майкельсона, предпринятый для проверки гипотезы о световом эфире. Согласно господствовавшим в то время воззрениям, все мировое пространство заполнено эфиром тАФ особым веществом, являющимся носителем световых волн. Для того чтобы обнаружить движение Земли относительно неподвижного эфира, Майкельсон решил измерить время прохождения светового луча по горизонтальному направлению движения Земли и направлению, перпендикулярному к этому движению. Если эфир существует, то время прохождения светового луча по горизонтальному и перпендикулярному направлениям должно быть неодинаковым, но никакой разницы Майкельсон не обнаружил.
Пространство тАФ это трехмерный континуум. Трехмерный тАФ потому что положение точки определяется в пространстве тремя числами (тремя пространственными координатами). Континуум означает непрерывность тАФ около любой данной точки можно указать сколько угодно других точек, координаты которых могут быть сколь угодно близки к координатам заданной точки. Известно, что все события происходят в пространстве и во времени. Однако в классической физике пространство и время рассматривались как самостоятельные категории; время было абсолютным тАФ оно не зависело от пространственных координат события. Согласно же специальной теории относительности, время нельзя рассматривать независимо от пространства, не имеет смысла говорить "сейчас", если не оговорено "где"; время и пространство оказались внутренне взаимосвязанными. Развивая идеи, высказанные еще в 1905г. в г. Пуанкаре, математик Г. Минковский дал в 1908 г. Геометрически наглядное представление специальной теории относительности, введя четырехмерный пространственно-временной континуум (четырехмерный мир Минковского). Всякое физическое событие есть некоторая точка в четырехмерном мире, она определяется четырьмя числами тАФ тремя координатами и временем. События описываются как х2 +
В таком случае преобразования Лоренца могут рассматриваться формально как чисто геометрическое преобразование (поворот осей), выполняемое, однако, не в обычном трехмерном пространстве, а в четырехмерном континууме. Как отмечал Эйнштейн, даже нематематику должно быть ясно, что благодаря этому чисто формальному положению теория относительности чрезвычайно выиграла в наглядности и стройности. Итак, пространство и время тАФ общие формы координации материальных явлений, а не самостоятельно существующие независимо от материи начала. Они называются в специальной теории относительности четырехмерным пространственно-временным миром.
Найденное Эйнштейном объединение принципа относительности Галилея с относительностью одновременности получило название принципа относительности Эйнштейна. Понятие относительности стало одним из основных понятий в современном естествознании.
1.4 Общая теория относительности о пространстве и времени
Был этот мир глубокой тьмой
окутан.
Да будет свет! И вот явился
Ньютон.
Но сатана недолго ждал реванша.
Пришел Эйнштейн тАФ и стало все,
как раньше.
А. Эддингтон
В истории науки известны две концепции пространства: пространство неизменное как вместилище материи (взгляд Нью-
тона) и пространство, свойства которого связаны со свойствами тел, находящихся в нем (взгляд Лейбница). В соответствии с теорией относительности любое тело определяет геометрию пространства.
Возникает вопрос, что произойдет, если вместо инерциальных систем взять другие системы отчета, например, движущиеся с ускорением? Ответ на него дает общая теория относительности, которая называется так потому, что обобщает частный, или специальный, принцип относительности. Эта удивительная теория была создана Эйнштейном в течение десяти лет, последовавших за созданием специальной теории относительности (период с 1905 по 1917 г.). Почему такой фундаментальный принцип, каким является принцип относительности, должен быть применим лишь к инерциальным системам? Не следует ли вслед за отказом от абсолютного времени отказаться от особой роли инерциальных систем отсчета? Из подобных сомнений и выросла в конечном счете общая теория относительности, представляющая собой (по сравнению со специальной теорией относительности) следующий и притом очень существенный шаг вперед в понимании фундаментальных проблем, связанных с пространством и временем. Согласно второму закону Ньютона, сила = инертная масса![]()
Вместе с этим смотрят:
Австралопитеки - обезьянолюди или человекообезьяны?
Адаптация микроорганизмов в экстремальных условиях космоса
Адвентивна флора Чернiгiвськоi областi: iсторiя формування та сучасний стан
Адсорбция ионных и неионных поверхностно-активных веществ (ПАВ)