Теория относительности. Эволюция и структурная организация Вселенной

Вопрос №1 Теория относительности

Предпосылкой к созданию теории относительности явилось развитие в XIX веке электродинамики. Результатом обобщения и теоретического осмысления экспериментальных фактов и закономерностей в областях электричества и магнетизма стали уравнения Максвелла, описывающие все проявления электромагнитного поля и его взаимодействие с зарядами и токами.

Другим следствием развития электродинамики стал переход от ньютоновской концепции дальнодействия, согласно которой взаимодействующие на расстоянии тела воздействуют друг на друга через разделяющую их пустоту, причём взаимодействие осуществляется с бесконечной скоростью, т.е. "мгновенно", к концепции близкодействия, предложенной Майклом Фарадеем, в которой взаимодействие передаётся с помощью промежуточных агентов тАУ полей, заполняющих пространство тАУ и при этом встал вопрос о скоростях распространения как взаимодействий, переносимых полями, так и самих полей. Скорость распространения электромагнитного поля в пустоте вытекала из уравнений Максвелла и оказалась постоянной и равной скорости света.

Однако в связи с этим встал вопрос тАУ относительно чего постоянна скорость света? В максвелловой электродинамике скорость распространения электромагнитных волн оказалась не зависящей от скоростей движения как источника этих волн, так и наблюдателя. Аналогичной оказалась и ситуация с магнитостатическими решениями, вытекающими из уравнений Максвелла: статические магнитные поля и силы Лоренца, действующие на движущиеся в магнитных полях заряды, зависят от скоростей зарядов по отношению к наблюдателю, т.е. уравнения Максвелла оказались неинвариантными относительно принципа относительности и преобразований Галилея тАУ что противоречило ньютоновской концепции абсолютного пространства классической механики.

Специальная теория относительности (СТО) была разработана в конце IXX тАУ начале XX века усилиями Г. А. Лоренца, А. Пуанкаре, Лармора и А. Эйнштейна, и затем представлена Минковским в четырёхмерном формализме, объединяющем пространство и время. Вопрос приоритета в создании СТО имеет дискуссионный характер: основные положения и полный математический аппарат теории, включая групповые свойства преобразований Лоренца, в абстрактной форме были впервые сформулированы А. Пуанкаре в работе 1905 г. "О динамике электрона" на основе предшествующих результатов Г. А. Лоренца, а явный абстрактный вывод базиса теории тАФ преобразований Лоренца, из минимума исходных постулатов был дан А. Эйнштейном в практически одновременной работе 1905 г. "К электродинамике движущихся сред".

Два постулата Эйнштейна

В этой статье он сформулировал два знаменитых постулата, которые легли в основание частной, или специальной теории относительности (СТО), изменившей классические представления о пространстве и времени.

В первом постулате Эйнштейн развил классический принцип относительности Галилея. Он показал, что этот принцип является всеобщим, в том числе и для электродинамики (а не только для механических систем). Это положение не было однозначным, так как потребовалось отказаться от ньютоновского дальнодействия.

Обобщенный принцип относительности Эйнштейна утверждает, что никакими физическими опытами (механическими и электромагнитными) внутри данной системы отсчета нельзя установить, движется эта система равномерно или покоится. При этом пространство и время являются связанными друг с другом, зависящими друг от друга (у Галилея и Ньютона пространство и время независимы друг от друга).

Второй постулат специальной теории относительности Эйнштейн предложил после анализа электродинамики Максвелла тАУ это принцип постоянства скорости света в вакууме, которая примерно равна 300 000км/с.

Скорость света тАУ это самая большая скорость в нашей Вселенной. Больше скорости 300 000км/с в окружающем нас мире быть не может.

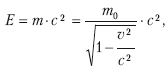
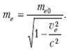
В современных ускорителях микрочастицы разгоняются до огромных скоростей. Например, электрон разгоняется до скорости vе = 0,9999999 С, где vе, С тАУ скорости электрона и света соответственно. При этом, с точки зрения наблюдателя, масса электрона возрастает в 2500 раз:

Здесь me0 тАУ масса покоя электрона, me тАУ масса электрона на скорости ve.

Достичь скорости света электрон не может. Однако существуют микрочастицы, которые имеют скорость света, их называют "люксоны".

К ним относятся фотоны и нейтрино. У них практически нет массы покоя, их нельзя затормозить, они всегда движутся со скоростью света с. Все остальные микрочастицы (тардионы) движутся со скоростями меньше скорости света. Микрочастицы, у которых скорость движения могла бы быть больше скорости света, называют тахионами. Таких частиц в нашем реальном мире нет.

Исключительно важным результатом теории относительности является выявление связи между энергией и массой тела. При малых скоростях

где E = m0c2тАУэнергия покоя частицы с массой покоя m0,а EK тАУ кинетическая энергия движущейся частицы.

Огромным достижением теории относительности является установленный ею факт эквивалентности массы и энергии (E = m0c2). Однако речь идет не о превращении массы в энергию и наоборот, а о том, что превращение энергии из одного вида в другой соответствует переходу массы из одной формы в другую. Энергию нельзя заменить массой, так как энергия характеризует способность тела выполнять работу, а масса тАУ меру инерции.

При скоростях релятивистских, близких к скорости света:

где E тАУэнергия, m тАУ масса частицы, m тАУ масса покоя частицы, с тАУ скорость света в вакууме.

Из приведенной формулы видно, что для достижения скорости света частице нужно сообщить бесконечно большую энергию. Для фотонов и нейтрино эта формула несправедлива, так как у них v = c.

Релятивистские эффекты

Под релятивистскими эффектами в теории относительности понимают изменения пространственно-временных характеристик тел при скоростях, соизмеримых со скоростью света.

В качестве примера обычно рассматривается космический корабль типа фотонной ракеты, который летит в космосе со скоростью, соизмеримой со скоростью света. При этом неподвижный наблюдатель может заметить три релятивистских эффекта:

1.Увеличение массы по сравнению с массой покоя. С ростом скорости растет и масса. Если бы тело могло двигаться со скоростью света, то его масса возросла бы до бесконечности, что невозможно. Эйнштейн доказал, что масса тела есть мера содержащейся в ней энергии (E= mc2). Сообщить телу бесконечную энергию невозможно.

2.Сокращение линейных размеров тела в направлении его движения. Чем больше будет скорость космического корабля, пролетающего мимо неподвижного наблюдателя, и чем ближе она будет к скорости света, тем меньше будут размеры этого корабля для неподвижного наблюдателя. При достижении кораблем скорости света его наблюдаемая длина будет равна нулю, чего быть не может. На самом же корабле космонавты этих изменений не будут наблюдать. 3. Замедление времени. В космическом корабле, движущемся со скоростью, близкой к скорости света, время течет медленнее, чем у неподвижного наблюдателя.

Эффект замедления времени сказался бы не только на часах внутри корабля, но и на всех процессах, протекающих на нем, а также на биологических ритмах космонавтов. Однако фотонную ракету нельзя рассматривать как инерциальную систему, ибо она во время разгона и торможения движется с ускорением (а не равномерно и прямолинейно).

Так же, как и в случае квантовой механики, многие предсказания теории относительности противоречат интуиции, кажутся невероятными и невозможными. Это, однако, не означает, что теория относительности неверна. В действительности то, как мы видим (либо хотим видеть) окружающий нас мир и то, каким он является на самом деле, может сильно различаться. Уже больше века учёные всего мира пробуют опровергнуть СТО. Ни одна из этих попыток не смогла найти ни малейшего изъяна в теории. О том, что теория верна математически, свидетельствует строгая математическая форма и чёткость всех формулировок.

О том, что СТО действительно описывает наш мир, свидетельствует огромный экспериментальный опыт. Многие следствия этой теории используются на практике. Очевидно, что все попытки "опровергнуть СТО" обречены на провал потому, что сама теория опирается на три постулата Галилея (которые несколько расширены), на основе которых построена ньютонова механика, а также на дополнительные постулаты.

Результаты СТО не вызывают какого-либо сомнения в пределах максимальной точности современных измерений. Более того, точность их проверки является настолько высокой, что постоянство скорости света положено в основание определения метра тАФ единицы длины, в результате чего скорость света становится константой автоматически, если измерения вести в соответствии с метрологическими требованиями.

В 1971г. вСША был поставлен эксперимент по определению замедления времени. Изготовили двое совершенно одинаковых точных часов. Одни часы оставались на земле, а другие помещались в самолет, который летал вокруг Земли. Самолет, летящий по круговой траектории вокруг Земли, движется с некоторых ускорением, и значит, часы на борту самолета находятся в другой ситуации по сравнению с часами, покоящимися на земле. В соответствии с законами теории относительности часы-путешественники должны были отстать от покоящихся на 184 нс, а на самом деле отставание составило 203 нс. Были и другие эксперименты, в которых проверялся эффект замедления времени, и все они подтвердили факт замедления. Таким образом, разное течение времени в системах координат, движущихся относительно друг друга равномерно и прямолинейно, является непреложным экспериментально установленным фактом.

Общая теория относительности

В 1915 году Эйнштейн завершил создание новой теории, объединяющей теории относительности и тяготения. Он назвал ее общей теорией относительности (ОТО). После этого ту теорию, которую Эйнштейн создал в 1905 году и которая не рассматривала тяготение, стали называть специальной теорией относительности.

В рамках этой теории, являющейся дальнейшим развитием специальной теории относительности, постулируется, что гравитационные эффекты обусловлены не силовым взаимодействием тел и полей, находящихся в пространстве-времени, а деформацией самого пространства-времени, которая связана, в частности, с присутствием массы-энергии. Таким образом, в ОТО, как и в других метрических теориях, гравитация не является силовым взаимодействием. Общая теория относительности отличается от других метрических теорий тяготения использованием уравнений Эйнштейна для связи кривизны пространства-времени с присутствующей в пространстве материей.

Общая теория относительности основывается на двух постулатах специальной теории относительности и формулирует третий постулат тАУ принцип эквивалентности инертной и гравитационной масс. Важнейшим выводом ОТО является положение об изменении геометрических (пространственных) и временных характеристик в гравитационных полях (а не только при движении с большими скоростями). Этот вывод связывает ОТО с геометрией, то есть в ОТО наблюдается геометризация тяготения. Классическая геометрия Евклида для этого не годилась. Новая геометрия появилась еще в XIXв. В трудах русского математика Н. И. Лобачевского, немецкого тАУ Б. Римана, венгерского тАУ Я. Больяйя.

Геометрия нашего пространства оказалась неевклидовой.

ОТО
тАУ физическая теория, в основе которой лежит ряд экспериментальных фактов. Рассмотрим некоторые из них. Гравитационное поле влияет на движение не только массивных тел, но и света. Луч света отклоняется в поле Солнца. Измерения, проведенные в 1922г. английским астрономом А. Эддингтоном во время солнечного затмения, подтвердили это предсказание Эйнштейна.

В ОТО орбиты планет незамкнуты. Небольшой эффект такого рода можно описывать как вращение перигелия эллиптической орбиты. Перигелий тАУ это ближайшая к Солнцу точка орбиты небесного тела, которое движется вокруг Солнца по эллипсу, параболе или гиперболе. Астрономам известно, что перигелий орбиты Меркурия поворачивается за столетие примерно на 6000". Это объясняется гравитационными возмущениями со стороны других планет. При этом оставался неустранимый остаток около 40" за столетие. В 1915г. Эйнштейн объяснил это расхождение в рамках ОТО.

Существуют объекты, в которых эффекты ОТО играют определяющую роль. К ним относятся "черные дыры". "Черная дыра" возникает тогда, когда звезда сжимается настолько сильно, что существующее гравитационное поле не выпускает во внешнее пространство даже свет. Поэтому из такой звезды не исходит никакой информации. Многочисленные астрономические наблюдения указывают на реальное существование таких объектов. ОТО дает четкое объяснение этому факту.

В 1918г. Эйнштейн предсказал на основе ОТО существование гравитационных волн: массивные тела, двигаясь с ускорением, излучают гравитационные волны. Гравитационные волны должны распространяться с той же скоростью, что электромагнитные, то есть со скоростью света. По аналогии с квантами электромагнитного поля принято говорить о гравитонах как о квантах гравитационного поля. В настоящее время формируется новая область науки тАУ гравитационно-волновая астрономия. Есть надежда, что гравитационные эксперименты дадут новые результаты.

Свойства пространства-времени в ОТО зависят от распределения тяготеющих масс, и движение тел определяется кривизной пространства-времени.

Но влияние масс сказывается только на метрических свойствах часов, так как меняется лишь частота при переходе между точками с разными гравитационными потенциалами. Иллюстрацией относительного хода времени, по мнению Эйнштейна, могло бы стать обнаружение процессов вблизи предсказанных им черных дыр.

На основании уравнений теории относительности отечественный математик-физик А. Фридман в 1922г. нашел новое космологическое решение уравнений ОТО. Это решение указывает на то, что наша Вселенная не стационарна, она непрерывно расширяется. Фридман нашел два варианта решения уравнений Эйнштейна, то есть два варианта возможного развития Вселенной. В зависимости от плотности материи Вселенная или будет и далее расширяться, или через какое-то время начнет сжиматься.

В 1929г. американский астроном Э. Хаббл экспериментально установил закон, который определяет скорость разлета галактик в зависимости от расстояния до нашей галактики. Чем дальше разбегающаяся галактика, тем больше скорость ее разбегания. Хаббл использовал эффект Доплера, в соответствии с которым у источника света, удаляющегося от наблюдателя, длина волны увеличивается, то есть смещается к красному концу спектра (краснеет).

ОТО в настоящее время тАФ самая успешная гравитационная теория, хорошо подтверждённая наблюдениями. Первый успех общей теории относительности состоял в объяснении аномальной прецессии перигелия Меркурия. По ОТО, перигелии орбит при каждом обороте планеты вокруг Солнца должны перемещаться на долю оборота, равную 3 (v/c)2. Для перигелия Меркурия получается 43", угол поворота перигелия за сто лет составляет 42,91". Эта величина соответствует обработке наблюдений за Меркурием с 1765 по 1937 г. Так была объяснена прецессия перигелия орбиты Меркурия.

Экспериментальные подтверждения теории относительности, приведшие к изменению свойств времени и пространства:

а тАУ схема установки для доказательства задержки времени у движущихся мезонов, предсказанная СТО, в гравитационном поле Земли; б тАУ искривление линии распространения света вблизи Солнца, предсказанные ОТО и подтверждённые наблюдениями; в тАУ схема прецессии орбиты Меркурия, объясняемая ОТО (иначе орбита представляла бы собой неподвижный эллипс)

Затем, в 1919, Артур Эддингтон сообщил о наблюдении отклонения света вблизи Солнца в момент полного затмения, что подтвердило предсказания общей теории относительности. С тех пор многие другие наблюдения и эксперименты подтвердили значительное количество предсказаний теории, включая гравитационное замедление времени, гравитационное красное смещение, задержку сигнала в гравитационом поле и, пока лишь косвенно, гравитационное излучение. Кроме того, многочисленные наблюдения интерпретируются как подтверждения одного из самых таинственных и экзотических предсказаний общей теории относительности тАФ существования чёрных дыр.

Существует ряд других эффектов, поддающихся экспериментальной проверке. Среди них можно упомянуть отклонение и запаздывание (эффект Шапиро) электромагнитных волн в гравитационном поле Солнца и Юпитера, эффект Лензе-Тирринга (прецессия гироскопа вблизи вращающегося тела), астрофизические доказательства существования чёрных дыр, доказательства излучения гравитационных волн тесными системами двойных звёзд и расширение Вселенной.

До сих пор надёжных экспериментальных свидетельств, опровергающих ОТО, не обнаружено. Отклонения измеренных величин эффектов от предсказываемых ОТО не превышают 0,1% (для указанных выше трёх классических явлений). Существуют однако явления, не объясняемые с помощью ОТО: эффект "Пионера"; flyby эффект; увеличение астрономической единицы; квадрупольно-октупольная аномалия фонового микроволнового излучения; тёмная энергия; тёмная материя.

В связи с этими и другими проблемами ОТО (отсутствие тензора энергии-импульса гравитационного поля, невозможность квантования ОТО) теоретиками было разработано не менее 30 альтернативных теорий гравитации, причём некоторые из них позволяют получить сколь угодно близкие к ОТО результаты при соответствующих значениях входящих в теорию параметров.

Таким образом, все известные научные факты подтверждают справедливость общей теории относительности, которая является современной теорией тяготения.

Вопрос №2 Эволюция и структурная организация Вселенной

Вселенная тАУ окружающий нас мир, бесконечный в пространстве, во времени и по многообразию форм заполняющего его вещества и его превращений.

Мир един, гармоничен и одновременно имеет многоуровневую организацию. Вселенная тАУ это мегамир. Нет жесткой границы, однозначно разделяющей микро-, макротАУ и мегамиры. При несомненном качественном отличии они взаимосвязаны. Так, наша Земля представляет макромир, но в качестве одной из планет Солнечной системы она одновременно выступает и как элемент мегамира. Вселенная представляет собой упорядоченную систему отдельных взаимосвязанных элементов различного порядка. Это небесные тела (звезды, планеты, спутники, астероиды, кометы), планетные системы звезд, звездные скопления, галактики.

Звезды вместе с их планетными системами и межзвездной средой образуют галактики. Галактика тАУгигантская звездная система, насчитывающая более 100млрд звезд, обращающихся вокруг ее центра. Внутри галактики отмечают звездные скопления. Звездные скопления тАУ группы звезд, разделенные между собой меньшим расстоянием, чем обычные межзвездные расстояния. Звезды в такой группе связаны общим движением в пространстве и имеют общее происхождение. Галактики образуют метагалактику. Метагалактика тАУ грандиозная совокупность отдельных галактик и скоплений галактик.

В современной трактовке понятия "метагалактика" и "Вселенная" чаще отождествляют. Но иногда метагалактика толкуется лишь как видимая часть Вселенной, при этом Вселенная сводится к бесконечности. Однако если принять, что за пределами метагалактики существует космический вакуум, то такую форму материи трудно отнести к Вселенной, потому что там нет устойчивых элементарных частиц и атомов, нет звезд, нет галактик. Поэтому для бесконечного мира более подходит философское понятие материального мира, частью которого является Вселенная или метагалактика.

Задачей современной астрономии является не только объяснение данных астрономических наблюдений, но и изучение эволюции Вселенной (от лат. evolution тАУразвертывание, развитие). Эти вопросы рассматривает космология тАУ наиболее интенсивно развивающаяся область астрономии.

Изучение эволюции Вселенной основано на следующем:

♦универсальные физические законы считаются действующими во всей Вселенной;

♦выводы из результатов астрономических наблюдений признаются распространимыми на всю Вселенную;

♦истинными признаются только те выводы, которые не противоречат возможности существования самого наблюдателя, то есть человека (антропный принцип).

Концепция универсального эволюционизма, которая вышла на глобальный уровень, связала в единое целое происхождение Вселенной (космогенез), возникновение Солнечной системы и планеты Земля (геогенез), возникновение жизни (биогенез), человека и человеческого общества (антропосоциогенез). Такую модель развития природы называют также глобальным эволюционизмом, поскольку именно она охватывает все существующие и мысленно представляемые проявления материи в едином процессе самоорганизации природы.

Под глобальным эволюционизмом следует понимать концепцию развития Вселенной как развивающегося во времени природного целого. При этом вся история Вселенной, начиная от Большого взрыва и заканчивая возникновением человечества, рассматривается как единый процесс, где космический, химический, биологический и социальный типы эволюции преемственно и генетически тесно взаимосвязаны. Космическая, геологическая и биологическая химия в едином процессе эволюции молекулярных систем отражает их фундаментальные переходы и неизбежность превращения в живую материю.

В основе современной космологии лежит эволюционный подход к вопросам возникновения и развития Вселенной, в соответствии с которым разработана модель расширяющейся Вселенной.

Ключевой предпосылкой создания модели эволюционирующей расширяющейся Вселенной послужила общая теория относительности А. Эйнштейна.

Объектом теории относительности выступают физические события. Физические события характеризуют понятия пространства, времени, материи, движения, которые в теории относительности рассматриваются в единстве. Исходя из единства материи, пространства и времени следует, что с исчезновением материи исчезли бы и пространство, и время. Таким образом, до образования Вселенной не было ни пространства, ни времени. Эйнштейн вывел фундаментальные уравнения, связывающие распределение материи с геометрическими свойствами пространства, с ходом времени и на их основе в 1917г. разработал статистическую модель Вселенной.

Согласно этой модели, Вселенная обладает следующими свойствами:

♦однородностью, то есть имеет одинаковые свойства во всех точках;

♦изотропностью, то есть имеет одинаковые свойства по всем направлениям.

С глубокой древности и до начала нынешнего столетия космос считали неизменным. Звездный мир олицетворял собой абсолютный покой, вечность и беспредельную протяженность. Открытие в 1929 году взрывообразного разбегания галактик, то есть быстрого расширения видимой части Вселенной, показало, что Вселенная нестационарна. Экстраполируя процесс расширения в прошлое, сделали вывод, что 15тАУ20 миллиардов лет назад Вселенная была заключена в бесконечно малый объем пространства при бесконечно большой плотности и температуре вещества‑излучения (это исходное состояние называют "сингулярностью"), а вся нынешняя Вселенная конечна тАУ обладает ограниченным объемом и временем существования.

Отсчет времени жизни такой эволюционирующей Вселенной ведут от момента, при котором, как полагают, внезапно нарушилось состояние сингулярности и произошел "Большой Взрыв". По мнению большинства исследователей, современная теория "Большого Взрыва" (ТБВ) в целом довольно успешно описывает эволюцию Вселенной, начиная примерно с 10тАУ44 секунды после начала расширения. Единственной брешью в прекрасном сооружении ТБВ они считают проблему Начала тАУ физического описания сингулярности. Однако и тут преобладает оптимизм: ожидают, что с созданием "Теории Всего Сущего", объединяющей все фундаментальные физические силы в единое универсальное взаимодействие, эта проблема будет автоматически решена. Тем самым построение модели мироздания в наиболее общих и существенных чертах благополучно завершится.

15‑20 миллиарда лет тАУ так определяет сейчас наука возраст Вселенной. Когда человек не знал этой цифры, он не мог задаваться вопросом, которым он задается сегодня: что было до этой даты? До этой даты, утверждает современная космогония, вся масса Вселенной была сжата, была втиснута в некую точку, исходную каплю космоса.

Когда Вселенная пребывала в исходном точечном состоянии, рядом, вне ее не существовало материи, не было пространства, не могло быть времени. Поэтому невозможно сказать, сколько продолжалось это тАУ мгновение или бессчетные миллиарды лет. Невозможно сказать не только потому, что нам это неизвестно, а потому что не было ни лет, ни мгновений тАУ времени не было. Его не существовало вне точки, в которую была сжата вся масса Вселенной, потому что вне ее не было ни материи, ни пространства. Времени не было, однако, и в самой точке, где оно должно было практически остановиться.

Нам неизвестно, почему, в силу каких причин это исходное, точечное состояние было нарушено и произошло то, что обозначается сегодня словами "Большой Взрыв". Согласно сценарию исследователей, вся наблюдаемая сейчас Вселенная размером в 10 миллиардов световых лет возникла в результате расширения, которое продолжалось всего 10тАУ30 с. Разлетаясь, расширяясь во все стороны, материя отодвигала безбытие, творя пространство и начав отсчет времени. Так видит становление Вселенной современная космогония.

Если концепция о "Большом Взрыве" верна, то он должен был бы оставить в космосе своего рода "след", "эхо". Такой "след" был обнаружен. Пространство Вселенной оказалось пронизано радиоволнами миллиметрового диапазона, разбегающимися равномерно по всем направлениям. Это "реликтовое излучение Вселенной" и есть приходящий из прошлого след сверхплотного, сверхраскаленного ее состояния, когда не было еще ни звезд, ни туманностей, а материя представляла собой дозвездную, догалактическую плазму.

Теоретически концепция "расширяющейся Вселенной" была выдвинута известным ученым А.А.Фридманом в 1922тАУ1924 годах.

Десятилетия спустя она получила практическое подтверждение в работах американского астронома Э.Хаббла, изучавшего движение галактик. Хаббл обнаружил, что галактики стремительно разбегаются, следуя некоему импульсу, заданному в момент "Большого Взрыва". Если разбегание это не прекратится, будет продолжаться неограниченно, то расстояние между космическими объектами будет возрастать, стремясь к бесконечности.

На основе результатов проведенных исследований Э. Хаббл сформулировал важный для космологии закон (закон Хаббла): Чем дальше галактики отстоят друг от друга, тем с большей скоростью они удаляются друг от друга.

Это означает, что Вселенная нестационарна: она находится в состоянии постоянного расширения.

По расчетам Фридмана, именно так должна была бы проходить дальнейшая эволюция Вселенной. Однако при одном условии тАУ если средняя плотность массы Вселенной окажется меньше некоторой критической величины (эта величина составляет примерно три атома на кубический метр). Какое‑то время назад данные, полученные американскими астрономами со спутника, исследовавшего рентгеновское излучение далеких галактик, позволили рассчитать среднюю плотность массы Вселенной. Она оказалась очень близка к той критической массе, при которой расширение Вселенной не может быть бесконечно.

Предположение, что масса Вселенной значительно больше, чем принято считать, нашло новое весьма веское подтверждение в работах физиков. Ими были получены первые данные о том, что один из трех видов нейтрино обладает массой покоя. Если остальные нейтрино имеют те же характеристики, то масса нейтрино во Вселенной в 100 раз больше, чем масса обычного вещества, находящегося в звездах и галактиках.

Это открытие позволяет с большей уверенностью говорить, что расширение Вселенной будет продолжаться лишь до некоторого момента, после которого процесс обратится вспять тАУ галактики начнут сближаться, стягиваясь снова в некую точку. Вслед за материей будет сжиматься в точку пространство. Произойдет то, что астрономы обозначают сегодня словами "Схлопывание Вселенной".

Заметим ли мы или, скажем, обитатели других миров, существующих в космосе, сжатие Вселенной, начало страшного ее возврата в первоначальный, первозданный хаос? Нет и никогда. Слишком несоизмеримы периоды жизни разумных существ и даже их цивилизаций с эпохами жизни Вселенной. Мы не можем заметить поворота времени, который должен будет произойти, когда Вселенная, достигнув максимума своего разбега, начнет сжиматься.

Что произойдет после того, как Вселенная вернется в некую исходную точку? После этого начнется новый цикл, произойдет очередной "Большой Взрыв", праматерия ринется во все стороны, раздвигая и творя пространство, снова возникнут галактики, звездные скопления, жизнь. Такова, в частности, космологическая модель американского астронома Дж. Уиллера, модель попеременно расширяющейся и "схлопывающейся" Вселенной.

Известный математик и логик Курт Гедель математически обосновал то положение, что при определенных условиях наша Вселенная действительно должна возвращаться к своей исходной точке с тем, чтобы потом опять совершить тот же цикл, завершая его новым возвращением к исходному своему состоянию. Этим расчетам соответствует и модель английского астронома П.Дэвиса, модель "пульсирующей Вселенной". Но что важно тАУ Вселенная Дэвиса включает в себя замкнутые линии времени, иначе говоря, время в ней движется по кругу. Число возникновений и гибели, которые переживает Вселенная, бесконечно.

Известный американский физик С.Вайнберг описывает это так. После начала сжатия в течение тысяч и миллионов лет не произойдет ничего, что могло бы вызвать тревогу наших отдаленных потомков. Однако, когда Вселенная сожмется до 1/100 теперешнего размера, ночное небо будет источать на Землю столько же тепла, сколько сегодня дневное. Затем через 70 миллионов лет Вселенная сократится еще в десять раз и тогда "наши наследники и преемники (если они будут) увидят небо невыносимо ярким". Еще через 700 лет космическая температура достигнет десяти миллионов градусов, звезды и планеты начнут превращаться в "космический суп" из излучения, электронов и ядер.

После сжатия в точку, после того, что мы именуем гибелью Вселенной (но что, может, вовсе и не есть ее гибель), начинается новый цикл. Вспомним об упомянутом уже реликтовом излучении, эхе "Большого Взрыва", породившего нашу Вселенную. Излучение это, оказывается, приходит не только из прошлого, но и "из будущего"!

Это отблеск "мирового пожара", исходящего от следующего цикла, в котором рождается новая Вселенная. Температура реликтового излучения, наблюдаемого сегодня, на 3? выше абсолютного нуля. Это и есть температура "электромагнитной зари", знаменующей рождение новой Вселенной.

Вселенная, что придет на смену нашей, будет ли она ее повторением?

Вполне возможно, отвечают некоторые космологи.

Вовсе не обязательно, возражают другие. Нет никаких физических обоснований, считает, например, доктор Р.Дик из Принстонского университета, чтобы всякий раз в момент образования Вселенной физические закономерности были те же, что и в момент начала нашего цикла. Если же эти закономерности будут отличаться даже самым незначительным образом, то звезды не смогут впоследствии создать тяжелые элементы, включая углерод, из которого построена жизнь. Цикл за циклом Вселенная может возникать и уничтожаться, не зародив ни искорки жизни. Такова одна из точек зрения. Ее можно было бы назвать точкой зрения "прерывистости бытия". Оно прерывисто, даже если в новой Вселенной и возникает жизнь: никакие нити не связывают ее с прошлым циклом.

По другой точке зрения, наоборот, "Вселенная помнит всю свою предысторию, сколь бы далеко (даже бесконечно далеко) в прошлое она ни уходила".

Вселенная образована огромным количеством галактик. Галактика (от греч. galaktikos тАУмолочный, млечный)тАУ звездная система, в свою очередь образованная звездами различных типов, звездными скоплениями. Помимо звезд в состав галактик могут входить газовые, пылевые туманности и др. Разным галактикам соответствуют различные, но вполне определенные элементы. Состав галактик зависит от ее возраста и условий развития. Полагают, что среднее расстояние между галактиками 2млн световых лет, а типичная скорость движения галактик тАУ около 1000км/с. Согласно расчетам, для прохождения расстояния до ближайшей галактики-соседки требуется около 1млрд лет, и возможность столкновения любой галактики с себе подобной галактикой не исключена.

Галактик тАУ миллиарды, и в каждой из них насчитываются миллиарды звезд. Предположения о множественности галактик высказывались еще в середине VIIIв., но доказательства их существования появились только в первой четверти XXв.

Галактики образуют метагалактику (Вселенную), размеры которой оцениваются в 15тАУ20млрд световых лет, а возраст тАУ в 13тАУ15млрд лет. Некоторые галактики излучают радиоволны с потрясающей мощностью. Предполагают, что в них существует магнитное поле, тормозящее движение находящихся там элементарных частиц, а это вызывает радиоизлучение.

В 60-х гг. XXв. были открыты квазары тАУ квазизвездные радиоисточники тАУсамые мощные источники радиоизлучения во Вселенной со светимостью в сотни раз большей светимости галактик и размерами в десятки раз меньшими их. Природа квазаров пока неясна. Возможно, квазары представляют собой ядра новых галактик, а значит, процесс образования галактик продолжается и поныне.

Галактики имеют свой центр (ядро), они различаются по форме, в соответствии с которой их классифицируют как спиральные, эллиптические, шаровые, неправильные Вследствие удаленности галактик свет от входящих в них миллиардов звезд сливается, создавая впечатление светящегося туманного вещества, поэтому галактики получили название туманностей.

Ближайшая к нам большая галактика тАУ наблюдаемая в созвездии Андромеды туманность тАУ Туманность Андромеды. Это спиральная галактика, находящаяся от на нас расстоянии около 2млн световых лет. Она была открыта в 1917г. как первый внегалактический объект.

В 1923г. путем спектрального анализа в этом объекте были обнаружены звезды и таким образом доказана его принадлежность к другой галактике. Туманность Андромеды имеет спутники эллиптической или шаровидной формы тАУ более мелкие галактики. Еще одна спиральная галактика находится в созвездии Треугольника. По размерам она меньше Туманности Андромеды и не имеет спутников.

Галактики образуют группы галактик. Таких групп во Вселенной множество, они могут быть малыми и большими. Так, огромное облако, наблюдаемое в созвездии Девы, состоит из сотен галактик. В состав одной из групп тАУ Местного скопления тАУвходят спиральные галактики вместе со своими спутниками: Туманность Андромеды, галактика в созвездии Треугольника и наша Галактика.

Пылевые туманности тАУоблака в межзвездном пространстве, образованные очень мелкой космической пылью.

Космическая пыль препятствует прохождению света от звезд, поглощая его. В большей степени поглощается коротковолновая, сине-зеленая часть спектра, поэтому свет звезд становится более желтоватым и даже красноватым. Космическая пыль является существенной помехой для исследований, поскольку она искажает свет звезд, ослабляет их блеск, а более далекие из них делает совсем невидимыми. Полагают, что в малой доле космическая пыль образуется от столкновения и разрушения мелких твердых тел, но в своей основной массе она возникает, вероятно, вследствие сгущения межзвездного г

Вместе с этим смотрят:


G-белки и их функция


Австралопитеки - обезьянолюди или человекообезьяны?


Адаптация микроорганизмов в экстремальных условиях космоса


Адвентивна флора Чернiгiвськоi областi: iсторiя формування та сучасний стан


Адсорбция ионных и неионных поверхностно-активных веществ (ПАВ)