Расчет элементов железобетонных конструкций
СОДЕРЖАНИЕ
1. Расчет предварительно напряженной плиты покрытия
1.1 Исходные данные, назначение геометрических размеров плиты, классов арматуры и бетона
1.2 Определение нагрузок
1.3 Расчет полки плиты на местный изгиб
1.4 Расчет поперечного ребра плиты
1.5 Расчет плиты на общий изгиб по нормальным сечениям
1.6 Расчет продольных ребер по наклонным сечениям на поперечную силу
1.7 Определение геометрических характеристик приведенного сечения
1.8 Определение потерь предварительного напряжения арматуры
1.9 Расчет на образование трещин, нормальных к продольной оси
1.10 Расчет на раскрытие трещин, нормальных к продольной оси при гf =1,0
1.11 Расчет прогиба плиты
2. Расчет прочности сплошной колонны среднего ряда
3. Расчет фундамента под среднюю колонну сплошного сечения
3.1 Данные для расчета
3.2 Определение геометрических размеров фундамента
3.3 Расчет арматуры фундамента
Список литературы
1.Расчет предварительно напряженной плиты покрытия.
1.1 Исходные данные, назначение геометрических размеров плиты, классов арматуры и бетона
Требуется выполнить расчет и конструирование сборной ж/бетонной плиты покрытия размером 3х6 м, арматура предварительно напряженная, натяжение арматуры механическое на упоры металлических форм, здание неотапливаемое, второй район по нормированию снегового покрова.
Нормативные нагрузки и соответствующие коэффициенты надежности элементов покрытия.
| № п/п | Наименование | Нормат. Нагр-ка, Н/м2 | Коэф. надежн-ти по нагр-ке |
| 1 | Ж/б плита размером 3х6 м | 1333 | 1,1 |
| 2 | Пароизоляция | 50 | 1,3 |
| 3 | Утеплитель | 400 | 1,2 |
| 4 | Асфальтовая стяжка | 350 | 1,3 |
| 5 | Рулонный ковер | 150 | 1,3 |
Класс арматуры для продольных ребер Ат-IV, Rsp=510 МПа, Rsp,ser=590 МПа, Es=190000 МПа, для поперечных ребер назначаем арматуру класса A-III, Ш6, 8 мм, Rs=355 МПа, для полки плиты на местный изгиб Ш 3 Вр-I, Rs=375 МПа.
Принимаем величину контролируемого напряжения для напрягаемой арматуры уsp= 0,6·Rsp,ser= 0,6·590 = 470 МПа, Дгsp=0,1.
Назначаем класс бетона В30, гв2= 0,9, Rb·гb2= 17·0.9 = 15,3 МПа, Rbt·гb2= 1,2·0,9 = 1,08 МПа, Rbt,ser=1,8 МПа, Eb= 29000 МПа, б = Es/Eb = 190000/29000 = 6,55.
Назначаем геометрические размеры, соответствующие типовой плите покрытия, вес плиты 2,4 т, вес 1 м2 тАУ 1333 Н/м2.

1.2 Определение нагрузок
| Вид нагрузки | Нормативная нагрузка, кН/м2 | Коэффициент надежности по нагрузке | Расчетная нагрузка, кН/м2 |
Постоянная: -собственный вес плиты -пароизоляция -утеплитель -асфальтовая стяжка, д=2 см -рулонный ковер | 1333 50 400 350 150 | 1,1 1,3 1,2 1,3 1,3 | 1466 65 480 455 195 |
Итого: Временная: - снеговая | 2283 700 | 1,4 | g = 2661 980 |
| Итого: | 2983 | 3641 |
1.3 Расчет полки плиты на местный изгиб
Расчетная схема. При отношении ширины плиты к расстоянию между поперечными ребрами (0,99 м) больше 2 полк плиты на местный изгиб следует рассчитывать, как балочную. Выделяется, условно, полоса шириной 1 м и рассматривается, как многопролетная неразрезная балка, опорами у которой являются поперечные ребра. Размеры сечения этой балки: ширина тАУ 100 см, высота тАУ 2,5 см.

Расчетные пролеты принимаются равными расстояниям в чистоте между поперечными ребрами lp= 99 тАУ 10 = 89 см.

Расчетная нагрузка на 1 м длины выделенной полосы состоит из собственного веса полки плиты и нагрузки от кровли. Собственный вес плиты толщиной д = 2,5 см при объемном весе с = 2500 кг/м3 с учетом коэффициента надежности по нагрузке гf = 1,1 будет равен
1 · 1 · д · с · г = 1 · 1 · 0,025 · 2500 · 1,1 = 68,8 кг/м2 = 688 Н/м2
Расчетная нагрузка (см. табл.)
q = 688 + (3641 тАУ 1466) = 2863 Н/м2
Изгибающие моменты определяются с учетом перераспределения усилий вследствие пластических деформаций, в расчет принимается изгибающий момент
М = ql2/11 = 2863 · 0,892/11 = 206,12 Н·м
Оптимальность толщины полки плиты проверяется из условия прочности при ж = 0,1 и соответственно бт=0,095

принимаем ![]()
Требуемая площадь арматуры при
![]()
по таблице ж=0,092
![]()
Принимаем 8 Ш3 Вр-I (Аs=0,57см2), шаг рабочих стержней в сетке 100/8 = 12,5 см. Назначаем распределительную арматуру (не менее 10% от площади рабочей арматуры) 4 Ш3 Вр-I (Аs=0,28см2) шаг стержней распределительной арматуры 100/4 = 25 см.
1.4 Расчет поперечного ребра плиты
Расчетная схема. С продольными ребрами поперечные ребра связаны монолитно, поэтому в качестве расчетной схемы для поперечного ребра принимаем однопролетную балку с защемленными опорами.

Расчетное сечение поперечного ребра принимается тавровым с шириной полки bf', равной расстоянию между поперечными ребрами.

h = 13 см, b = (4+10)/2=7 см, b'f = 99 см, h'f = 2,5 см
Расчетный пролет принимается как расстояние в чистоте между продольными ребрами.

Расчетная нагрузка определяется на полосу шириной b'f = 99 см с учетом нагрузки от собственного веса ребра при с = 2500 кг/м3 и гf = 1,1. Собственный вес одного метра ребра 0,07·(0,15-0,025)·1·2500·1,1=24,06 кг/м = 244 Н/м
q = 241 + 688·0,99+(3641 тАУ 1466)·0,99 = 3075 Н/м
Изгибающие моменты определяются с учетом перераспределения усилий вследствие пластических деформаций, пролетный и опорные моменты принимаются одинаковыми.
![]()
Требуемая площадь арматуры в пролете (расчетное сечение тавровое тАУ полка в сжатой зоне), принимаем
Вапри ![]()
![]()
![]()
Проверим положение нейтральной оси ![]()
Ва- нейтральная ось проходит в пределах высоты полки
![]()
Принимаем 1 Ш8 (Аs=0,503см2)
Требуемая площадь арматуры на опорах (расчетное сечение прямоугольное тАУ полка в растянутой зоне)
, ![]()
![]()
![]()
![]()
Принимаем так же как в пролете 1 Ш8 (Аs=0,503см2)
Поперечная сила ![]()
Проверим необходимость расчета хомутов ![]()
![]()
условие удовлетворяется, поперечная арматура по расчету не требуется, принимаем конструктивно хомуты Ш3 мм Вр-I с шагом 15 см.
1.5 Расчет плиты
на общий изгиб по нормальным сечениям
Расчетная схема. Плита покрытия свободно опирается на ригели поперечных рам и при расчете рассматривается как однопролетная свободно опертая балка. В качестве расчетного сечения принимаем тавровое сечение с шириной полки b'f = 298 см

h = 45 см, b = 2b1=2·12=24 см, b'f = 298 см, h'f = 2,5 см
Ширина ребра расчетного таврового сечения принимается равной удвоенной ширине средних значений ширины продольных ребер плиты. При ширине плиты b'f нагрузка, определенная на 1 м кв. умножается на ширину плиты 3м.

Расчетный пролет плиты принимаем из условия, что опорные реакции размещаются от торцов плиты на расстояниях равных 6 см. lp= 596-2·6=584 см
Изгибающий момент и поперечная сила определяются как в свободно опертой балке:
![]()
![]()
Требуемая площадь арматуры при
Ваопределяется в предположении, что нейтральная ось проходит в пределах высоты полки.
![]()
![]()
проверим положение нейтральной оси из условия
; ![]()
нейтральная ось проходит в пределах высоты полки и сечение рассчитывается как прямоугольное шириной b'f=2,24 см (ширина вводимой в расчет полки в каждую сторону от ребра должна быть не более 1/6 части пролета тАУ 1/6 · 6 м = 1 м)
Определим по таблице жR = 0,5 и гS6 = 1,15
![]()
Принимаем 2 Ш10 Ат-IV (Аsр= 1,57см2) по 1 Ш10 в каждом ребре.
1.6 Расчет продольных ребер по наклонным сечениям на поперечную силу
Дополнительные табличные данные. Расчетное сопротивление поперечной арматуры Ш 4 р-I, Rsw=265 МПа, отношение модулей упругости арматуры и бетона
Варасчетная равномерно распределенная нагрузка равна фактической
![]()
контролируемое напряжение в напрягаемой арматуре
;
усилие обжатия
Вакоэффициенты

![]()
Выражения, используемые при расчете хомутов
![]()
![]()
Поперечная сила, которая должна быть воспринята хомутами, определяется в зависимости от выполнения условия:
Ва- удовлетворяется
![]()
Назначаем хомуты 2 Ш4 Вр-I (Аsw = 0,25см2) и определяем шаг хомутов:
Вапревышает конструктивный минимум равный 15 см. Принимаем конструктивно S = 15 см.
Проверим достаточность принятых размеров сечения продольных ребер из условия прочности по наклонной сжатой полосе.

условие выполняется, принятые размеры сечения продольных ребер плиты достаточные.
1.7 Определение геометрических характеристик приведенного сечения

Площадь приведенного сечения
![]()
Статический момент площади приведенного сечения

Расстояние от низшей грани до центра тяжести площади приведенного сечения
Ваи момент инерции сечения

Момент сопротивления приведенного сечения по нижней зоне
![]()
Момент сопротивления приведенного сечения по верхней зоне
![]()
Расстояние от центра тяжести площади приведенного сечения до верхней точки ядра сечения
![]()
Вапредварительно принимаем
Ва, где
- передаточная прочность бетона
ц= 1,6-0,75=0,85
r=0,85·6653/1590=3,56 см
То же до нижней точки ядра сечения
rinf = 0,85·17539/1590 = 9,32 см
Упругопластический момент сопротивления по растянутой зоне
Ва(
=1,75 для таврового сечения с полкой в сжатой зоне)
Упругопластический момент сопротивления по растянутой зоне в стадии изготовления и обжатия элемента
Ва(г=1,5 для таврового сечения с полкой в растянутой зоне).
1.8 Определение потерь предварительного напряжения арматуры
Потери от релаксаций напряжений в арматуре при механическом способе напряжения ![]()
Потери от температурного перепада между натянутой арматурой и упорами отсутствуют ![]()
Потери от деформаций анкеров, расположенных у натянутых устройств:
![]()
Потери от трения арматуры отсутствуют ![]()
Потери от деформации стальной фермы ![]()
Усилия обжатия с учетом потерь ![]()
![]()
Эксцентриситет этого усилия относительно центра тяжести приведенного сечения ![]()
Напряжения в бетоне при обжатии
![]()
Устанавливаем передаточную прочность бетона из условия
Вапринимаем ![]()
тогда ![]()
Вычислим сжимающее напряжение в бетоне на уровне центра тяжести напрягаемой арматуры от усилия обжатия Р1 и с учетом изгибающего момента от веса плиты ![]()
![]()
Принимаем ![]()
Первые потери ![]()
![]()
Напряжение в бетоне с учетом первых потерь
, предварительно определив усилие обжатия с учетом потерь
![]()
![]()
Принимаем ![]()
Потери от усадки бетона ![]()
Потери от ползучести бетона при ![]()
![]()
вторые потери ![]()
Полные потери ![]()
Усилия обжатия с учетом полных потерь
![]()
1.9 Расчет на образование трещин, нормальных к продольной оси
Расчет конструкций третьей категории трещиностойкости производится по нормативным нагрузкам (при гf =1,0). Изгибающий момент от нормативной нагрузки
![]()
Момент образования трещин (при коэффициенте точности натяжения арматуры гsp=1-0,1=0,9)
![]()
33224 < 38151 Нм тАУ трещины в растянутой зоне образуются
Проверим, образуются ли трещины в верхней зоне при отпуске арматуры с упоров (при гsp=1+Дгsp = 1+0,1 = 1,1)
;
Ва- соответствует ![]()
![]()
Ва- условие выполняется,
начальные трещины в верхней зоне не образуются, (изгибающий момент от собственного веса оказывается большим момента от обжатия).
1.10 Расчет на раскрытие трещин, нормальных к продольной оси при гf =1,0
Предельная ширина раскрытия трещин для элементов третьей категории трещиностойкости тАУ непродолжительная аcrc = 0,4мм, продолжительная аcrc = 0,3мм. Определим изгибающие моменты от нормативных нагрузок:
от постоянной и длительной
![]()
От всей нормативной нагрузки
![]()
Определим приращение напряжений в арматуре от действия постоянной и длительной нагрузки:
Вагде z1 = h0 тАУ 0,5hТСf = 40-0,5·2,5=38,75см
lsp = 0, т.к. усилие Р2 приложено в центре тяжести арматуры Аsp , Ws тАУ момент сопротивления сечения по растянутой арматуре
Ws = Аsp z1 = 1,57·38,75 = 60,8 см3
![]()
Приращение напряжений в арматуре от действия полной нагрузки
![]()
Определим ширину раскрытия трещин от непродолжительного действия всей нагрузки
Вагде м=Аsp / вh0 = 1,57/24·40=0,0016
д = 1,0;
=1,0; з = 1,0; d = 25 мм
![]()
Определим ширину раскрытия трещин от непродолжительного действия постоянной и длительной нагрузки
![]()
![]()
![]()
Непродолжительная ширина раскрытия трещин
![]()
Продолжительная ширина раскрытия трещин
![]()
Требования СНиП ширине раскрытия трещин не выполняются. Необходимо увеличить Аsp
1.11 Расчет прогиба плиты
Прогиб плиты определяется от нормативной постоянной и длительной нагрузок изгибающий момент равен М = 33036 Нм
Предельная величина прогиба:
![]()
Определим кривизну оси плиты
Ва,
где суммарная продольная сила от предварительного обжатия с учетом всех потерь при
Вакоэффициент, учитывающий работу бетона на участках с трещинами

при длительно действующей нагрузке,
эксцентриситет ![]()
![]()
Площадь сжатой зоны ![]()
Плечо внутренней пары ![]()
Коэффициенты
=0,9 ;
= 0,15
![]()
прогиб
![]()
Требования СНиП по предельному значению величины прогиба удовлетворяется
2. Расчет прочности сплошной колонны среднего ряда
Данные для расчета сечений: бетон тяжелый класса В15, подвергнутый тепловой обработке при атмосферном давлении, Rb=8,5МПа; Rbt=0,75МПа; Eb=20,5*103МПа
Арматура класса A-III, d >10 мм, Rs = Rsc = 365МПа; Es = 2*105МПа;
Сечение на уровне верха консоли колонны.
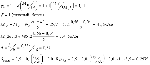
Сечение колонны b*h=50*60 см при а=аТС=4 см; полезная высота сечения h0 = 56 см. В сечении действуют три комбинации расчетных усилий.
Усилия от продолжительного действия нагрузки
Me = -25,7; Ne = -60,1 кН
При расчете сечения на первую и вторую комбинации усилий расчетное сопротивление Rb следует вводить с коэффициентом гb2=1,1 , т.к. в комбинации включены постоянная, снеговая, крановая и ветровая нагрузки; на третью с коэффициентом гb2=0,9 (постоянная и снеговая). Расчет сечения выполняется по 1-й комбинации, как самой невыгодной.
Вычисляют:

необходимо учесть влияние прогиба элемента на его прочность.
Условная критическая сила

Здесь I = bh3/12 = 50 · 603/12 = 900000 см4


Коэффициент ![]()
Расстояние ![]()
При условии, что
Ва, высота сжатой зоны

Относительная высота сжатой зоны ![]()
Граничное значение относительной высоты сжатой зоны бетона

Здесь ![]()
![]()
В случае ![]()

Площадь арматуры
Ваназначают по конструктивным соображениям
Вапринимаем 3 ш16 с As = 6,03см2
Расчет сечения колонны в плоскости, перпендикулярной плоскости изгиба, не делают, т.к.

Сечение в заделке колонны
Усилия от продолжительного действия нагрузки
![]()
При расчете сечения на третью комбинацию усилий расчетное сопротивление Rb следует вводить с коэффициентом гв2 = 0,9.


необходимо учесть влияние прогиба элемента на его прочность
Условная критическая сила

Здесь


при м=0,004 первое приближение

Коэффициент 
Расстояние ![]()
При условии, что As = AТСs высота сжатой зоны
![]()
Относительная высота сжатой зоны ![]()
Граничное значение относительной высоты сжатой зоны бетона

Здесь ![]()
![]()
В случае ![]()
![]()
Площадь арматуры As = AТСs назначаем по конструктивным соображениям As =0,002; Вh0 = 0,002·50·56 = 5,6 см2. Принимаем 3 ш16 с Аs = 6,03 см2.
Расчет сечения колонны в плоскости, перпендикулярной к плоскости изгиба, не выполняют, т.к.
![]()
где ![]()
![]()
3. Расчет фундамента под среднюю колонну сплошного сечения
3.1 Данные для расчета
Грунты основания тАУ пески пылеватые средней плотности, маловлажные. Расчетное сопротивление грунта R0 = 0МПа; бетон тяжелый класса В 12,5;
Rbt =0,66 МПа; арматура из горячекатаной стали класса А-II, Rs = 280 МПа; вес единицы объема материала фундамента и грунта на его обрезах г = 20 кН/м3.
Расчет выполняем на наиболее опасную комбинацию расчетных усилий в заделке колонны: М = 104,1 кНм; N = 1398 кН; Q = 21,3 кН. Нормативное значение усилий на усредненный коэффициент надежности по нагрузке
гf = 1,15; т.е. Мn = =90,5 кНм; Nn = 1215,7 кН; Qn = 18,5 кН.
3.2 Определение геометрических размеров фундамента
Глубину заложения стакана фундамента принимаем 90 см, что не менее значений: Нап ≥ 0,5+0,33hf = 0,5+0,33·1,1 = 0,896 м; Нап >1,5bcol = 1,5·0,5 = 0,75м; Нап ≥ лап = 33·1,6 = 52,8 см, где d = 1,6 см тАУ диаметр продольной арматуры колонны; лап = 33 для бетона класса В 12,5. Расстояние от дна стака-на до подошвы фундамента принята 250 мм. Полная высота фундамента Н = 900+250 = 1150 мм, принимаем 1200 мм, что кратно 300 мм. Глубина заложения фундамента при расстоянии от планировочной отметки до верха фундамента 150 мм. Н1 = 1200+150 = 1350 мм = 1,35 м. Фундамент трехступенчатый, высота ступеней принята одинаковой тАУ 40 см.
Предварительно площадь фундамента определяется:
![]()
Здесь 1,05 тАУ коэффициент, учитывающий наличие момента.
Назначая отношение сторон b/a = 0,8 получаем

Принимаем a*b = 3*2,7м
Так как заглубление фундамента менее 2 м, ширина подошвы более 1м, необходимо уточнить расчетное сопротивление грунта основания по формуле:
![]()
где k1 = 0,05 для пылеватых песков, b0 = 1м; d0 = 2м; d = H1 = 1,35м; b = 2,7м.
При пересчете размеров фундамента с уточненным значением R получаем:
A = 3,2 м , b = 2,6 м. Окончательно принимаем a*b = 3,6*3 м. Площадь подошвы фундамента
,
момент сопротивления ![]()
Определяем рабочую высоту фундамента из условия прочности на продавливание по формуле:
![]()
где h = 0,6 м тАУ высота сечения колонны; bcol = 0,5 м тАУ ширина сечения колонны
p = N/A = 1215,7/10,8 = 112,6 кН/м2; Rbt = гb2·
Rbt = 1,1·0,66 = 0,726 МПа = 726кН/м2
Полная высота фундамента Н = 0,35+0,05 = 0,4 м < 1,2 м. Следовательно, принятая высота фундамента достаточна.
Определяем краевое давление на основание. Изгибающий момент в уровень с подошвой ![]()
Нормативная нагрузка от веса фундамента и грунта на его обрезах ![]()
При условии, что

3.3 Расчет арматуры фундамента
Определяем напряжение в грунте под подошвой фундамента в направлении длинной стороны а без учета веса фундамента и грунта на его уступах от расчетных нагрузок:

Расчетные изгибающие моменты:
в сечении I-I
![]()
где ![]()
в сечении II-II
![]()
в сечении III-III
![]()
Требуемое сечение арматуры:

Принимаем 16 ш10 А-РЖРЖ с Аs = 12,56 см2. Процент армирования
![]()
Арматура, укладываемая параллельно меньшей стороне фундамента, определяется по изгибаемому моменту в сечении IV-IV:

Принимаем 10 ш14 А-РЖРЖ с Аs = 15,39 см2. Процент армирования
![]()
1. Байков В.Н. Железобетонные конструкции. Общий курс. Москва. Стройиздат 1991г.
2. МУ и примеры расчета элементов железобетонных конструкций по КП №2. Макеевка 1995г.
Вместе с этим смотрят:
Авангардизм як явище архiтектури ХХ столiття
Автоматическая автозаправочная станция на 250 заправок в сутки
Анализ деятельности строительного предприятия "Луна-Ра-строй"
Анализ проектных решений 20-ти квартирного жилого дома