Пассивные линейные измерительные преобразователи синусоидальных напряжений и токов
Курсовая работа
на тему:
"Пассивные линейные измерительные преобразователи синусоидальных напряжений и токов"
1. Первичные измерительные преобразователи тока
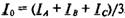
К измерительным органам воздействующая величина тАФ ток тАФ обычно подводится от первичных измерительных преобразователей тока. Они обеспечивают изоляцию цепей тока измерительных органов от высокого напряжения и позволяют независимо от номинального первичного тока получить стандартное значение вторичного тока. Наиболее распространенными первичными преобразователями тока являются измерительные трансформаторы тока ТА. В системах электроснабжения применяют также измерительные преобразователи тока, названные магнитными трансформаторами тока. На их основе разработаны так называемые дискретные трансформаторы тока.
Измерительные трансформаторы тока. Они имеют стандартный номинальный вторичный ток lном = 1; 5 А при любых значениях номинального первичного тока lном; допускается изготовление трансформаторов тока с номинальным вторичным током l2иом = 2; 2,5 А. Трансформаторы тока используют и в сетях напряжением до 1 кВ.
Для правильного действия особенно релейной защиты требуется точная работа трансформаторов тока при токах перегрузки электроустановки и токах КЗ, которые во много раз могут превышать их номинальные первичные токи, особенно в сетях напряжением до 1 кВ. Правильная работа быстродействующих устройств защиты и автоматики должна обеспечиться при переходных процессах в трансформаторах тока. Особенностью измерительных трансформаторов тока является режим короткого замыкания его вторичной цепи. Первичная обмотка трансформатора ТА с числом витков w, включается в цепь первичного тока L, сети, а ко вторичной обмотке с числом витков >2 подключаются цепи тока измерительных органов, например измерительных реле тока КА1, КА2 с относительно малым сопротивлением. Начала и концы обмоток трансформатора тока указываются на их выводах. Выводы первичной обмотки Лх и Л2, маркируются произвольно, а выводы вторичной обмотки тАФ с учетом принятого обозначения выводов первичной обмотки. При этом за начало вторичной обмотки Я, принимается вывод, из которого мгновенный ток l2 направляется в цепь нагрузки, когда в первичной обмотке ток /, направлен от начала Лх к концу Л2. При такой маркировке мгновенное значение тока в обмотке реле имеет то же направление, что и при включении его непосредственно в защищаемую цепь.
На рис. 1, о показаны направления токов /,, /2 для некоторого момента времени и принятой намотки витков. Направление магнитного потока Ф, при заданном направлении тока /, определяется по правилу буравчика.

Ток i2 всегда направлен так, что размагничивает магнитопровод. При этом результирующий магнитный поток Ф, согласно закону полного тока, создается совместным действием магнитодвижущих сил и i2w2 обеих обмоток. Соотношение синусоидальных токов изображается обычно векторной диаграммой. Векторная диаграмма может быть изображена и имеет определенный смысл только при условии, что для каждой из величин выбрано условное положительное направление. Так, из диаграммы следует, что ток l2 отстает по фазе от тока l', на угол у. Это означает, что ток i2 достигает, например, положительного максимального мгновенного значения позже, чем ток ц на время
Однако указанный момент времени становится неопределенным, если неизвестно, какое из двух возможных направлений тока l2 считается положительным. Если для одного положительного направления ток h отстает по фазе от тока l', на угол
, для другого направления тока l2 угол сдвига фаз равен
. Поэтому при построении векторной диаграммы первичного и вторичного токов трансформатора тока ТА необходимо задаться их условными положительными направлениями. Если для первичного тока l, принять положительное направление от начала к концу обмотки, а для вторичного l2 тАФ от конца к началу обмотки, как показано стрелками на рис. 1, о, то векторы МДС первичной и вторичной обмоток оказываются направленными противоположно. При этом, согласно закону полного тока,
Результирующая МДС Епш создается частью тока /,, которая называется током намагничивания, т. е.![]()
В идеальном трансформатЪре результирующая МДС £иам = 0. При этом
![]()
![]()
или
![]()
Токи 12 и L1 равны и совпадают по фазе. Если положительное направление токов /, и /2 принято от начала обмоток к их концам, то МДС обеих обмоток направлены одинаково; а токи /2 и /', изображаются векторами, сдвинутыми по фазе на угол л. В дальнейшем при построении векторных диаграмм условное положительное направление тока /, принимается от начала к концу обмотки, а тока /2 тАФ от конца.к началу. Для реального трансформатора и принятых условных положительных направлениях токов
, откуда
или
![]()
Этому соответствует электрическая схема замещения трансформатора тока. Здесь ко вторичной обмотке приведены также сопротивления первичной обмотки Z\ и ветви намагничивания Z'HaM. Эта схема принципиально не отличается от схемы замещения, например, силового трансформатора. В отличие от него трансформатор тока питается от источника тока. Поэтому первичный ток /, и МДС не зависят от режима работы трансформатора тока.
Из схемы замещения видно, что сопротивление первичной обмотки Z\ не влияет на распределение тока между ветвью намагничивания Z'H2M и ветвью нагрузки, поэтому из схемы, изображенной на рис. 1.2, б, в соответствии с которой построена векторная диаграмма, оно исключено.
За исходный при построении диаграммы принят ток намагничивания 1'^. Магнитный поток Ф отстает от тока на некоторый угол у, определяемый потерями в стали. Положительное направление ЭДС £2 принято совпадающим с положительным направлением тока £2, т. е. от конца к началу вторичной обмотки. В связи с этим ЭДС Е2> наводимая потоком Ф_ во вторичной обмотке, опережает его на угол л/2.

В замкнутой вторичной обмотке проходит ток ^, отстающий от ЭДС £2на некоторый угол, определяемый соотношением составляющих RujX сопротивлений Z2 и ZH.
По схеме замещения и выражению определяют ток 1\. Из векторной диаграммы видно, что вторичный ток /2 отличается от приведенного первично-' го /| по значению на Д/ и по фазе на угол 8. Ток 1'иш значительно меньше тока 1\, поэтому результирующая МДС FKiM, определяющая рабочий магнитный Поток ф_ и ЭДС £2, во много раз меньше МДС первичной обмотки Очевидно, что чем меньше сопротивление нагрузки ZH, т. е. чем ближе режим цепи вторичной обмотки к режиму короткого замыкания, тем большая часть тока /.
2. Первичные измерительные преобразователи напряжения
К измерительным органам воздействующая величина тАФ напряжение тАФ обычно подводится от первичных измерительных преобразователей напряжения. Они, как и первичные измерительные преобразователи тока, обеспечивают изоляцию цепей напряжения измерительных органов от высокого напряжения и позволяют независимо от номинального первичного напряжения получить стандартное значение номинального вторичного напряжения U2n0M = 100 В. Распространенной разновидностью первичного измерительного преобразователя напряжения является измерительный трансформатор напряжения ТУ.
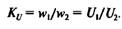
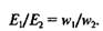
Особенностью измерительного трансформатора напряжения является режим холостого хода его вторичной цепи. Первичная обмотка трансформатора ТУ с числом витков щ включается на напряжение сети М\- Под действием напряжения по обмотке w, проходит ток намагничивания /тАЮщ, создающий в магнитопроводе магнитный поток Ф. Магнитный поток, в свою очередь, наводит в первичной w, и вторичной w2 обмотках ЭДС с действующими значениями соответственно £, = 4,44/w,Ф, Е2 = 4,44/й'2Ф. Отсюда ![]()

Отношение называется коэффициентом трансформации и обозначается Ки. В режиме холостого хода ток /2 = 0, а ток в первичной обмотке L\ тАФ £Влм- При этом £/> = Е2 и напряжение £/, незначительно отличается от ЭДС £,.
Поэтому
![]()
Работа трансформатора с нагрузкой ZH сопровождается прохождением тока 12 и увеличением тока /',. Эти токи создают падение напряжения AU в первичной и вторичной обмотках, вследствие чего U2 = U\ тАФ AU. Из векторной диаграммы следует, что вторичное напряжение U2 отличается от приведенного первичного Щ_х по значению на AU и по фазе на угол" 8. Поэтому трансформатор имеет две погрешности: погрешность напряжения fv= тАв 100 или вследствие незначительного угла 8
![]()
тАФ угловую погрешность, которая определяется углом 8 между векторами напряжений. Вместе с ним возрастают и погрешности, поэтому нормальным режимом работы трансформатора напряжения является режим, близкий к холостому ходу.
В условиях эксплуатации трансформатор напряжения может работать с различными погрешностями. В зависимости от погрешностей по ГОСТ 1983 тАФ 77Е установлены четыре класса точности: 0,2; 0,5; 1 и 3 соответственно погрешностям напряжения fv в процентах. Номинальная мощность трансформатора отнесена к определенному классу точности. Однако по условию нагрева он может допускать перегрузки в несколько раз, выходя при этом из заданного класса точности. Начала и концы обмоток трансформатора напряжения TV маркируются в соответствии с правилом, изложенным при рассмотрении трансформаторов тока. При этом напряжения t/, и U2, направленные одинаково от одноименных концов обмоток, совпадают по фазе, если пренебречь падениями напряжения в обмотках трансформатора напряжения. Принято обозначать: А тАФ начало первичной обмотки, а тАФ начало вторичной обмотки; X тАФ конец первичной обмотки, х тАФ конец вторичной обмотки. Для трансформаторов напряжения, как и для трансформаторов тока, в зависимости от принятого положительного направления тока и напряжения можно построить векторные диаграммы с совпадающими или противоположно направленными векторами вторичного. Первичная обмотка трансформатора включается на напряжение двух любых фаз. Такая схема применяется в тех случаях, когда достаточно иметь одно междуфазное напряжение, например напряжение Мвс-
Схема соединения обмоток трансформаторов напряжения в открытый треугольник. Первичные обмотки двух однофазных трансформаторов напряжения включаются на два любых междуфазных напряжения. Вторичные обмотки соединяются последовательно. Такая схема дает возможность включать реле на все междуфазные напряжения и на напряжения фаз по отношению к искусственной нейтральной точке системы междуфазных напряжений. В последнем случае включение можно выполнить тремя реле, обмотки которых имеют равные сопротивления и соединены в звезду. Схема соединения двух однофазных трансформаторов в открытый треугольник является наиболее распространенной. Она не может применяться в тех случаях, когда необходимо иметь фазные напряжения относительно земли.
Схема соединения обмоток трансформаторов напряжения в звезду, как и рассмотренная схема соединения обмоток в открытый треугольник, дает возможность включать реле на любые междуфазные напряжения и на напряжения фаз относительно искусственной нейтральной точки системы междуфазных напряжений, а также по отношению к земле, т. е. на любые фазные напряжения.
Рассматриваемую схему можно выполнить посредством трех однофазных трансформаторов напряжения или одного трехфазного пятистержневого. Применение трехфазных трехстержневых трансформаторов напряжения в данном случае не допускается в связи с тем, что при замыкании на землю в сети по первичным обмоткам трансформатора через его заземленную нейтраль проходят большие токи намагничивания нулевой последовательности и трансформатор сильно перегревается.
Схема соединения обмоток трансформаторов напряжения в фильтр напряжения нулевой последовательности. Напряжения отдельных последовательностей можно выделить из полных фазных напряжений посредством фильтров напряжений симметричных составляющих. Так, для получения напряжения нулевой последовательности Uq первичные обмотки трансформаторов должны соединяться в звезду с заземленной нейтралью. Полученные при этом вторичные фазные напряжения суммируются путем соединения вторичных обмоток в разомкнутый треугольник, к которому подключается реле.

Напряжение на обмотке реле
![]()
При отсутствии в полных фазных напряжениях составляющих нулевой последовательности напряжение на выходе разомкнутого треугольника близко к нулю. В связи с погрешностью трансформаторов напряжения, наличием в первичных напряжениях гармонических, кратных трем и по другим причинам на зажимах разомкнутого треугольника в нормальном режиме возникает напряжение небаланса, которое обычно не превышает £/н6 = 3..4 В. Опыт эксплуатации свидетельствует, что трансформаторы напряжения с заземленной первичной обмоткой в сетях с изолированной нейтралью при замыканиях на землю часто повреждаются. Причинами повреждений являются феррорезонансные явления, вследствие которых через обмотки высшего напряжения трансформатора проходят токи, многократно превышающие номинальные значения. Поэтому сам трансформатор напряжения нуждается в защите.
Обычно трансформаторы напряжения изготовляют с двумя вторичными обмотками, одну из которых можно использовать в схеме соединения звезды, а другую тАФ разомкнутого треугольника. В системах с заземленной нейтралью напряжение на зажимах разомкнутого треугольника при замыкании на землю не превышает фазного Щ, а в системах с изолированной нейтралью оно может достигать ЪЩ, поэтому номинальное вторичное фазное напряжение обмоток, соединяемых в разомкнутый треугольник, принимается равным UlmM тАФ 100 В, если трансформатор устанавливается в системе с заземленной нейтралью, и равным Ulmu = 100/3 В, если трансформатор устанавливается в системе с изолированной или заземленной через дугогасящий реактор нейтралью.
Выполнение вторичных цепей трансформаторов напряжения и контроль за их состоянием. Исходя из требований техники безопасности вторичные обмотки трансформаторов напряжения в установках напряжением 500 В и выше должны обязательно заземляться. Предохранители с первичной стороны трансформаторов напряжения не защищают их от перегрузок и коротких замыканий в их вторичных цепях. Поэтому все незаземленные провода, подключаемые к вторичным обмоткам трансформаторов напряжения, соединяются с ними через низковольтные плавкие предохранители или малогабаритные автоматические выключатели, которые являются.более быстродействующими; они надежнее и удобнее предохранителей. Перегорание предохранителей или срабатывание автоматических выключателей и возможные обрывы в цепях напряжения могут повлечь за собой неправильное действие некоторых устройств зашиты и автоматики. Поэтому они должны снабжаться специальными устройствами, автоматически выводящими их из действия при нарушениях целей напряжения. В тех случаях, когда указанные нарушения непосредственно не приводят к неправильной работе устройств защиты и автоматики, достаточна сигнализация об исчезновении напряжения.
3. Реакторы и трансреакторы
Реактор LR состоит из обмотки w и ферромагнитного магнито-про-вода. Ферромагнитные материалы, из которых выполняют магнитопровод реактора, имеют нелинейную характеристику намагничивания B=f, что обусловливает уменьшение их магнитной проницаемости ц. с увеличением напряженности магнитного поля Н. Индуктивное сопротивление реактора XL пропорционально магнитной проницаемости и, поэтому оно изменяется с изменением тока в обмотке реактора.

Для уменьшения этой зависимости и обеспечения относительного постоянства сопротивления магнитопровод реактора выполняется разомкнутым. Вместе с тем в ряде устройств, например в магнитных усилителях, используют так назы ваемые управляемые реакторы, сопротивление которых путем соответствующего управления изменяют в требуемых пределах. Для этой цели на замкнутом магнитрпроводе реактора кроме основной обмотки предусмотрена обмотка управления wy, по которой проходит постоянный ток управления /у. Путем изменения этого тока изменяют магнитное состояние магнитопровода, его магнитную проницаемость и тем самым сопротивление XL.
Однако необходимо иметь в виду, что характеристики намагничивания ферромагнитных материалов, используемых в управляемых реакторах, имеют выраженный прямоугольный характер. С некоторым допущением их можно представить характеристикой, изображенной на рис. 5, г. При этом магнитопровод имеет два состояния: ненасыщенное и насыщенное. В первом случае ц и XL бесконечно велики, а во втором равны нулю. Следовательно, процесс управления не сопровождается непрерывным изменением индуктивного сопротивления. Действительный характер явления подробно рассмотрен в.
В измерительных органах часто ток преобразуется в напряжение путем включения в цепь тока балластных резисторов, реакторов, иногда конденсаторов. Однако в цепи тока можно включать лишь относительно малые сопротивления. Соответственно получаются низкие напряжения, для повышения которых необходим трансреактор.
Трансреактор ТИК выполняет функции реактора и трансформатора, преобразующих ток в напряжение. Он состоит из обмотки w{ тока, разомкнутого магнитопровода и вторичной обмотки щ, находящейся в ре-жиме, близком к холостому ходу. Поэтому ток /. Он состоит из двух обычных магнитных усилителей, управляемых общим током /у. Обмотки смещения wm включаются так, что характеристика одного магнитного усилителя АЫ смещается в сторону отрицательных значений /у, а другого AL2 тАФ в сторону положительных значений. При этом в случае /у = 0 наблюдается равенство выходных токов магнитных усилите лей /н1 = /н2.

Если нагрузка ZH включена на разность токов, то с изменением полярности тока управления /у изменяется фаза и тока нагрузки /н.
5. Насыщающиеся трансформаторы тока
В дифференциальной токовой защите для улучшения ее характеристик при переходных процессах применяются насыщающиеся трансформаторы тока. На основе НТТ выполняют измерительные реле двух разновидностей: с насыщающимися трансформаторами тока и с магнитным торможением. При внешних коротких замыканиях и при включениях, например, силовых трансформаторов возникает переходный процесс. Как в том, так и в другом случае защита действовать не должна. Однако ток переходного процесса воздействует на дифференциальную защиту. В начальный момент он обычно содержит апериодическую слагающую. Она и используется для обеспечения недействия защиты, имеющей НТТ.
Насыщающийся трансформатор тока TLAT содержит трехстержне-вой ферромагнитный сердечник. Воздействующая величина поступает в первичную обмотку wu а к вторичной w2 подключается измерительное максимальное реле тока КА. Характеристика /р =J{Ii) насыщающегося трансформатора зависит от характера изменения тока /,. Если ток /, синусоидальный, то магнитная индукция в сердечнике изменяется в широких пределах тАФ Bmin<В< +Втях.
Указанному изменению индукции пропорционально среднее значение ЭДС вторичной обмотки и ток /р в реле. В этом случае НТТ действует как обычный трансформатор тока.
Апериодическая слагающая изменяет режим работы НТТ, она насыщает его магнитопровод. На рис. 10, б показан случай, когда ток /бр из-за апериодической слагающей полностью смещен относительно оси времени. Прохождение такого тока по обмотке w, НТТ сопровождается изменением индукции только в пределах +BS>В> +ВГ.

Поэтому среднее значение ЭДС вторичной обмотки и ток в реле получаются намного меньшими, несмотря на то, что ток /6ртах > Imi. Обмотки
предусмотрены для усиления действия апериодической слагающей. Они соединены так, что магнитные потоки левого и среднего стержней складываются. Поэтому часть тока обмотки w, попадает в обмотку w2 путем двойной трансформации. Таким образом, апериодическая слагающая не трансформируется в обмотку w'K и ухудшает трансформацию периодической слагающей. Ток двойной трансформации поэтому оказывается относительно мал. При отсутствии апериодической слагающей ток двойной трансформации возрастает.
Изменять характеристику НТТ можно также путем изменения степени его намагничивания дополнительным током управления /у. Для этого предусматривается обмотка управления wy. Магнитный поток Фу, обусловленный током /у, замыкается только в крайних стержнях магнитопровода и намагничивает их. Для исключения влияния на работу реле ЭДС, индуцированных этим потоком в секциях вторичной обмотки w2, секции включены так, чтобы ЭДС вычитались. При этом магнитный поток Ф, от тока в первичной обмотке индуцирует в этом контуре ЭДС, действующие согласно и обусловливающие ток в обмотке реле. Таким образом, в НТТ существует трансформаторная связь только между обмотками w, и w2, зависящая от степени намагничивания магнитопровода, т. е. от тока /у. С увеличением тока /у, например от /у1 до /у3, степень намагничивания увеличивается и для получения одного и того же вторичного тока /р, необходимо увеличивать ток /, соответственно от
до
Зависимость
называется тормозной характеристикой, а обмотка управления тАФ тормозной обмоткой.

6. Фазоповоротные и частотно-зависимые схемы
Фазоповоротные схемы. С помощью фазоповоротных схем производят линейные преобразования напряжения в напряжение. При этом напряжение на выходе схемы смещается по фазе относительно напряжения на ее входе на некоторый угол а. В процессе преобразования может измениться и значение величины.
Одна из фазоповоротных схем показана на рис. 12, о. Схема содержит две одинаковые резисторно-конденсаторные цепи, соединенные параллельно, к которым подводится напряжение Uv Преобразованное напряжение
измеряют между точками вид.
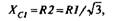
Электрическая цепь из последовательно соединенных резисторов Rl, R2 и конденсаторов CI, С2 с сопротивлениями R и Хс дает возможность получать напряжения
пропорциональные подведенному напряжению Ци но смещенные относительно него по фазе на некоторые углы в стороны опережения и отставания, которые определяются соотношением R и Хс, а угол между UR и Цс во всех случаях остается равным я/2.

Таким образом, напряжения Цх, Цк и Цс образуют прямоугольный треугольник, опирающийся на диаметр окружности тАФ вектор напряжения Hi с вершиной, скользящей по дуге окружности при изменении соотношения Я и Хс. На этой основе построена векторная диаграмма фазоповоротной схемы.
Фазоповоротная схема, преобразующая ток /, в ток
, показана на рис. 12, е. Ее векторная диаграмма не требует пояснений. Изменение угла а достигается изменением сопротивления резистора Я
В ряде случаев на выходе того или иного элемента необходимо иметь величину вида
, Если это ток, то для получения к21 используют рассмотренную фазоповоротную схему. Преобразовать напряжение в ток можно путем включения в цепь сопротивления На рис. 13, а показана схема, состоящая из двух цепей. На вход одной подается напряжение Л, а на вход другой тАФ ток /. Цепи соединены параллельно, и этим достигается получение в нагрузке ZтАЮ суммарного тока
. На рис. 13, б показана схема для получения величин
и
____являющихся напряжениями. При этом напряжение к2£ получено с помощью трансреактора ТАК
Частотно-зависимые схемы. В ряде автоматических устройств используется изменение частоты синусоидального напряжения. Составной частью измерительных органов этих устройств являются так называемые частотно-зависимые схемы. Изменение частош. напряжения на входе преобразуется ими в изменения амплитэдры или фазы напряжения на выходе.
На рис. 14, а показана частотно-зависимая схема, преобразующая изменение частоты в изменения фазы. Ее использовали, например, для выполнения измерительного реле частоты РЧ-1.


Схема состоит из частотно-зависимого элемента и делителя напряжения. На вход схемы подается напряжение Ц с изменяющейся частотой. Ток £к, проходящий по цепи делителя, и напряжение Цк совпадают по фазе с напряжением JZ. Фаза тока в цепи частотно-зависимого элемента относительно напряжения U определяется соотношением сопротивлений Хы и Хс, которые зависят от частоты. При этом ток LtРИ может опережать, совпадать и отставать по фазе от напряжения Ц. Напряжение Hue совпадает по фазе с током Таким образом, изменение частоты напряжения Ы. сопровождается изменением угла <р сдвига фаз между напряжениями Hue и Ur- Схема выполнена так, что напряжение Ц'ю отстает от напряжения JZ*, если частота /' напряжения И больше частоты действия реле
, а
опережает его, если![]()
7. Фильтры симметричных составляющих тока и напряжения
При нарушении симметричного режима трехфазной системы, например вследствие несимметричных коротких замыканий, в полных фазных токах и напряжениях наряду с током /, и напряжением U\ прямой последовательности появляются составляющие обратной последовательности /2, Ы.2 и нулевой последовательности /0, Но. Это дает возможность, в частности, выполнить защиту, реагирующую на появление данных составляющих. Для их выделения из полных фазных токов и напряжений используют устройства, называемые фильтрами симметричных составляющих.
Фильтр тока обратной последовательности. Первичный ток обратной последовательности определяется выражением
, где
тАФ фазные токи соответственно
фаз А, В и С;
тАФ оператор фазы.
Таким образом, складывая геометрически вторичный ток /тАЮ с повернутыми против часовой стрелки на угол
током 1Ъ и на угол![]()
током /с, из несимметричной системы вторичных фазных токов можно выделить составляющую обратной последовательности. В общем случае при наличии несимметрии в полных фазных токах содержатся все симметричные составляющие, а на выходе фильтра должен появиться только ток обратной последовательности. Для упрощения фильтра к нему подводят токи, уже не содержащие составляющих нулевой последовательности. Если это фазные токи, то из них предварительно исключают ток нулевой последовательности, т. е. фильтр включают на разности токов, например и. Составляющие нулевой последова-тАв тельности в фазных токах равны по абсолютному значению и совпадают по фазе, поэтому в разностях фазных токов,, они отсутствуют. В связи с этим фильтры тока обратной последовательности включают и на разности фазных токов. Существует множество различных схем фильтров. Один из них тАФ активно-емкостный фильтр, используемый в устройствах полупроводниковых реле тока обратной последовательности РТФ-8УХЛ4, РТФ-9УХЛ4, предназначенных для защиты электрических установок. Фильтр состоит из вторичных измерительных трансформаторов тока TLA1 и TLA2. Первичные обмотки трансформаторов включены на разности токов ЦтАЮ - /0) и - К вторичным обмоткам трансформаторов подключены рези-сторно-конденсаторные цепи так, что токи 1'аи£'с разветвляются между.сопротивлениями резисторов R и конденсаторов С. При этом в цепи тп ток
. Для получения фильтра тока обратной последовательности необходимо сопротивления резисторов R1, R2 и конденсаторов Ха, Ха выбрать так, чтобы при отсутствии в полных фазных токах, а следовательно, и в токах
тока обратной последовательности ток /тАЮтАЮ отсутствовал.
Этому соответствует векторная диаграмма токов. Здесь токи прямой последовательности
, проходящие по цепи тп, равны и имеют противоположные направления, поэтому
При построении векторной диаграммы заданными являлись векторы токов прямой последовательности
а определению подлежали их составляющие /ш, 1хС2 и соответственно
представляющие собой катеты треугольников тока, как и в фазопо-воротной схеме. Из векторной диаграммы следует
![]()
Так как сопротивления обратно пропорциональны токам, то
![]()
Для обеспечения равенства токовпо абсолютному значению необ-
ходимо, чтобы![]()
![]()
при этом
Если на вход фильтра подать только токи обратной последовательности, то этому случаю будет соответствовать векторная диаграмма, показанная на рис. 15, е.

Она отличается от векторной диаграммы токов прямой последовательности тем, что векторы токов
меняются местами.
При этом на выходе фильтра в цепи тп появляется значительный ток
. Из рассмотрения векторных диаграмм следует, что если в токах, подводимых к фильтру, содержатся составляющие прямой и обратной последовательностей, то на выходе фильтра появляется ток 1ттАЮ, пропорциональный только току обратной последовательности.
В нормальном режиме и при трехфазных коротких замыканиях к фильтру тока обратной последовательности подводятся токи, содержащие только составляющие прямой последовательности. Поэтому в этих режимах ток в нагрузке фильтра отсутствует. Однако в действительности за счет погрешностей в работе фильтра и наличия некоторой несимметрии подводимых токов в нагрузке фильтра, в частности в обмотке реле, имеется небольшой ток, называемый током небаланса.
Рассмотренный фильтр тока обратной последовательности превращается в фильтр тока прямой последовательности, если поменять местами токи на входных зажимах 1а и /с. Распространение получили также комбинированные фильтры, которые одновременно выделяют составляющие прямой и обратной последовательностей. Такой фильтр в общем случае можно получить, если расстроить фильтр'тока обратной последовательности, изменяя, например, сопротивление резистора R2.
Фильтр тока нулевой последовательности. В соответствии с методом симметричных составляющих первичный ток нулевой последовательности![]()
Токи можно сложить, если вторичные обмотки трансформаторов тока, установленных в трех фазах, соединить параллельно одноименными выводами, а к точкам соединения подключить обмотку реле КА. При этом![]()

Для реальных трансформаторов тока с учетом их токов намагничивания и коэффициентов трансформации ток в реле
![]()
или
![]()
Ток нулевой последовательности появляется при повреждениях на землю. В других режимах, когда он отсутствует, через реле проходит только ток небаланса
, который увеличивается с возрастанием первичного тока и появлением в нем апериодической слагающей. Рассмотренная схема соединения трансформаторов тока ТА 1тАФТАЗ называется трехтрансформаторным первичным фильтром тока нулевой последовательности. Он используется обычно в защитах элементов сетей с заземленными нейтралями.
Применяется также однотрансформаторный первичный фильтр, представляющий собой специальный измерительный трансформатор тока нулевой последовательности. Трансформатор состоит из тороидального магнитопровода М, на котором располагается вторичная обмотка. Магнитопровод надевается на трехфазный кабель К, который является первичной обмоткой ТИП. Изготовляются также трансформаторы тока нулевой последовательности с магнитопроводом прямоугольной формы для шинного токопровода.
Первичным током ТИП является сумма фазных токов, проходящих по проводам кабеля или шинам. В нормальном режиме и при многофазных коротких замыканиях сумма фазных токов равна нулю, поэтому магнитный поток в магнитопроводе отсутствует, а ЭДС вторичной обмотки и ток в реле КА тоже равны нулю.
При замыкании на землю эквивалентный первичный ток определяется токами нулевой последовательности. Он обусловливает в магнитопроводе поток, который наводит ЭДС во вторичной обмотке ТНП, возбуждающую ток в реле. Таким образом, ток в обмотке реле появляетс* только при замыкании на землю; он пропорционален току нулевой последовательности /0.
В действительности в ТНП осуществляется суммирование не токов IA, IBt £с, а соответствующих магнитных потоков Ф^, Ф_д и Ф_с, которые, замыкаяа по магнитопроводу, образуют результирующий поток первичной обмотю-Ф = + Ф_д + Ф_с. Взаимные индуктивности между проводами фаз защищаемой установки и вторичной обмоткой ТНП не одинаковы, что обусловливает наличие некоторого потока небаланса Фн6 в магнитопроводе и тока небалансе /н6 в обмотке реле при нормальной работе и многофазных коротких замыканиях, не связанных с землей.
Таким образом, существенное отличие ТНП от трехтрансформаторногс фильтра состоит в том, что его ток небаланса определяется только несимметрией расположения проводов фаз кабеля относительно магнитопровода и вторичной обмотки. Поэтому он значительно меньше тока небаланса трехтрансформа-торного фильтра и обычно не превышает /н6 = 8.. 10 мА. Область применение ТНП определяется защитами от замыкания на землю в системах с изолированной и компенсированной нейтралью.
Для повышения чувствительности защиты трансформатор тока нулевой последовательности выполняют с подмагничиванием. Сущность подмагничивания состоит в том, что с помощью дополнительной обмотки в ТНП создается вспомогательный магнитный поток, благодаря которому трансформатор работает в оптимальном режиме, отдавая вс вторичную цепь наибольшую мощность. Первичная обмотка ТНП состоит из одного витка, поэтому магнитодвижущая сила F3, обусловленная первичным током замыкания на землю в сети с изолированной нейтралью, мала. Из характеристики намагничивания ТНП видно. что при отсутствии подмагничивания МДС F3 создает во вторичной обмотке ТНП небольшую ЭДС £2.

При наличии подмагничивания магнитодвижущая сила FnM перемещает рабочую точку
Вместе с этим смотрят:
IP-телефония. Особенности цифровой офисной связи