Проектирование электродвигателя постоянного тока
МИНЕСТЕРСТВО ОБРАЗОВАНИЯ РОССИЙСКОЙ ФЕДЕРАЦИИ
ПЕНЗЕНСКИЙ ГОСУДАРСВЕННЫЙ УНИВЕРСИТЕТ
КафедратАЭАЭЭС и СтАЭ
Курсовой проект
По дисциплине тАЭЭлектромеханикатАЭ
Тема тАЭПроектирование электродвигателя постоянного токатАЭ
-
Выполнил: ст. гр.05ТС-1
Белов А.А.
Проверил: Джазовский Н.Б.
ПЕНЗА 2007 г.
Техническое задание
Объект проектирования - электродвигатель постоянного тока общего назначения.
Номинальный режим работы - продолжительный (S1).
Номинальная отдаваемая мощность (P2) 3 кВт.
Частота сети 50 Гц.
Номинальная частота вращения 1500 об/мин.
Предел регулирования частоты вращения вверх от номинальной ослаблением поля главных полюсов 3000 об/мин.
То же, вниз от номинальной частоты изменением напряжения на якоре 500 об/мин.
Номинальное напряжение 60 В.
Кратковременная перегрузка по току (Imax/IH) 1,5.
Род возбуждения - параллельное со стабилизирующей последовательной обмоткой.
Источник и условия питания - теристорные преобразователи с коэффициентом пульсации не более 1,1.
Способ охлаждения ICO141: с наружным обдувом от вентилятора, расположенного на валу двигателя.
Изоляция класса нагревостойкости F.
Степень защиты от внешних воздействий IP44: закрытое исполнение.
Исполнение по способу монтажа IM 1001: машина с двумя подшипниковыми щитами на лапах, с одним горизонтально направленным цилиндрическим концом вала.
Климатические условия и категория размещения У4: умеренный климат, закрытое отапливаемое помещение, вентилируемое.
Вероятность безотказной работы обмотки за наработку 10000 часов Pоб=0,9.
Форма выступающего конца вала цилиндрическая.
Способ соединения с приводным механизмом - упругая муфта.
Содержание
1. Главные размеры
2. Сердечник якоря
3. Расчет сердечника главных полюсов
4. Сердечники добавочных полюсов
5. Станина
6. Обмотка якоря
7. Обмотка якоря с овальными полузакрытыми пазами
8. Обмотка добавочных полюсов
9. Стабилизирующая последовательная обмотка главных полюсов
10. Характеристика намагничивания машин
11. Параллельная обмотка главных полюсов
12. Стабилизирующая последовательная обмотка
13. Обмотка добавочных полюсов
14. Щетки и коллектор
15. Коммутационные параметры
16. Номинальный режим
17. Регулирование частоты вращения вверх
18. Регулирование частоты вращения вниз
19. Масса и динамические показатели
Список используемой литературы
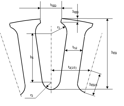
1. Главные размеры

![]()
h=132 мм
h1=8¸5 мм
DН1max=252 мм
DH2max=130 мм
∆шт=5 мм - припуск на штамповку.
Ширина резаной ленты, из которой штампуются листы сердечника якоря: 135 мм.
Диаметр корпуса:
![]()
Ва(внутренний диаметр сердечника статора)
Принимаем число пар полюсов равное 2p=4.
Наружный диаметр сердечника якоря:
DH2=125
Принимаем отношение ЭДСк напряжению: kн=0,899
Принимаем отношение тока якоря к току машины: kт=0,962
Предварительное КПД: η΄=0,82
Расчетная (внутренняя) мощность:
![]()
Принимаем изоляцию класса нагревостойкости F.
Предварительное значение электромагнитных нагрузок A'2 и B'δ:
A'2=150; B'δ=0,58;
Коэффициент полюсной дуги: α'=0,606
Расчетная длина сердечника якоря:
![]()
Отношение длины сердечника к его диаметру (расчетное и максимальное):

2. Сердечник якоря
Принимаем для сердечника якоря: сталь 2013, толщина 0,5 мм, листы сердечника якоря лакированные; форма пазов для двигателя полузакрытая овальная; род обмотки для двигателя - двухслойная всыпая; скос пазов для двигателя на ½ рубцового деления. Изолирование листов стали - лакирование (коэффициент заполнения стали
).
Припуск на сборку сердечника по ширине паза для штампов: bс=0,1 мм.
Конструктивная длинна сердечника якоря: ![]()
Эффективная длинна сердечника якоря: ![]()
Предельное значение внутреннего диаметра листов якоря: D2=41 мм.
3. Расчет сердечника главных полюсов
Принимаем для сердечников главных полюсов сталь 3411, толщина 1 мм, листы сердечников полюсов неизолированные; компенсационная обмотка не требуется; вид воздушного зазора между главными полюсами и якорем эксцентричный.

Рис. Лист главного полюса некомпенсированной машины с эксцентричным зазором.
Коэффициент заполнения сердечника сталью: kс=0,98
Количество главных полюсов: 2p=4
Воздушный зазор между якорем и полюсной дугой: ![]()
Высота зазора у оси полюса: ![]()
Высота зазора у края полюса: ![]()
Длинна сердечника полюса: ![]()
Полюсное деление: Ва![]()
Расчетная ширина полюсной дуги: ![]()
Действительная ширина полюсной дуги:
![]()
![]()
![]()
Предварительная магнитная индукция в сердечнике полюса: ![]()
Предварительное значение магнитного потока в воздушном зазоре:
![]()
Эффективная длинна сердечника полюса:
![]()
Ширина сердечника полюса:
![]()
где, (
) - коэффициент магнитного рассеяния главных полюсов.
Ширина уступа полюса, предназначенная для упора обмотки возбуждения при ее креплении: ![]()
Высота в сечении листа главного полюса:
![]()
4. Сердечники добавочных полюсов
Принимаем для сердечников добавочных полюсов сталь марки 3411 толщиной 1 мм, листы сердечников неизолированные.
![]() |
Рис. Лист добавочного полюса с шихтовкой вдоль оси машины.
Коэффициент заполнения сердечника сталью: ![]()
Количество добавочных полюсов: ![]()
Длина наконечника добавочного полюса: ![]()
Длина сердечника добавочного полюса: ![]()
Предварительный выбор среднего воздушного зазора между якорем и добавочным полюсом: ![]()
5. Станина
Принимаем монолитную станину из стали марки Ст.3.
Длина станины:
![]()
Предварительная магнитная индукция в станине: ![]()
Высота станины:
![]()
Средние значения высоты станины применяемые на практике: ![]()
Магнитная индукция в месте распространения магнитного потока в станине при входе его в главный полюс:
![]()
Внутренний диаметр монолитной станины:
![]()
Высота главного полюса:
![]()
Высота добавочного полюса:
![]()
6. Обмотка якоря
Предварительное значение тока якоря:
![]()
Принимаем волновую обмотку из провода ПТЭ-155.
Количество пар параллельных ветвей обмотки якоря: 2a=2
Предварительное количество витков обмотки якоря:
![]()
Количество проводников лежащих рядом по ширине в пазу: ![]()
Предварительное количество витков в секции:
![]()
Округляем предварительное количество витков в секции: ![]()
Предварительное количество пазов якоря:
![]()
Округляем предварительное количество пазов якоря: ![]()
Количество коллекторных пластин:
![]()
Зубцовое деление по наружному диаметру якоря:
![]()
Наружный диаметр коллектора при полузакрытых пазах якоря и отсутствии петушков на коллекторе:
![]()
Коллекторное деление:
![]()
Проверка максимального напряжения между соседними коллекторными пластинами при нагрузке:
![]()
где,
Ва- коэффициент искажения поля, равный отношению максимальных значений магнитной индукции при нагрузке и при холостом ходе.
Уточнение максимального напряжения между соседними коллекторными пластинами: ![]()
Уточнение числа витков обмотки якоря:
![]()
Количество эффективных проводников в пазу:
![]()
Ток в пазу:
![]()
Уточняем линейные нагрузки якоря:
![]()
Шаг обмотки по реальным пазам:
![]()
Элементарные пазы
, где
Ва- шаг по коллектору:
![]()
Первый частичный шаг по элементарным пазам:
![]()
Второй частичный шаг по элементарным пазам:
![]()
Высота паза в штампе якоря: ![]()
Высота спинки якоря:
![]()
7. Обмотка якоря с овальными полузакрытыми пазами

Рис. Форма и размер полузакрытого овального паза якоря.
Предварительная магнитная индукция в спинке якоря:
![]()
Магнитная индукция в спинке якоря:
.Магнитная индукция в зубцах ротора:
. Ширина зуба:
![]()
Радиус паза обмотки:
![]()
Радиус паза больший:
![]()
Значение ширины зуба, получаемое в соответствии с
:
![]()
![]()
Расстояние между центрами радиусов:
![]()
Площадь поперечного сечения паза в штампе:
![]()
Площадь поперечного сечения паза в свету:

Площадь поперечного сечения корпусной изоляции:
![]()
Площадь поперечного сечения клина и прокладок:
![]()
Площадь поперечного сечения паза, занимаемая обкладкой:
![]()
Предварительный диаметр провода с изоляцией:

Отношение номинального диаметра неизолированного провода к диаметру изолированного провода:
![]()
Коэффициент заполнения паза:
![]()
Площадь поперечного сечения неизолированного провода: ![]()
Плотность тока в обмотке:
![]()
Удельная тепловая нагрузка якоря от потерь в обмотке:
![]()
Допустимое значение удельной тепловой нагрузки якоря от потерь в обмотке:
![]()
Среднее зубцовое деление якоря:
![]()
Средняя ширина секции обмотки:
![]()
Средняя длинна одной лобовой части секции:
![]()
Средняя длинна витка обмотки:
![]()
Сопротивление обмотки при температуре 20 В°С:
![]()
Сопротивление обмотки при температуре 20 В°С в относительных еденицах:
![]()

Рис. Пазы овальные полузакрытые.
Обмотка двухслойная, всыпная.
(1 - Синтофолий;
2 - Стеклолакоткань)
Сопротивление обмотки при температуре 20 В°С в относительных единицах:
![]()
Длинна вылета лобовой части обмотки:
![]()
Ширина шлица паза:
![]()
8. Обмотка добавочных полюсов
Поперечная МДС якоря:
![]()
Предварительное количество витков катушек добавочного полюса:
![]()
Уточненное количество витков: ![]()
Уточненная МДС катушки:
![]()
Уточненное отношение МДС:
![]()
Среднее значение плотности тока в обмотке добавочных полюсов: ![]()
Предварительная площадь поперечного сечения проводника:
![]()
Принимаем провод ПЭТП - 155.
Принимаем стандартные размеры проводника (прямоугольного) без изоляции:
. Площадь поперечного сечения принятого провода:
. Размер провода с изоляцией:
. Уточненная плотность тока в обмотке:
![]()
Предварительная ширина катушки: ![]()
Средняя длинна витка многослойной катушки из изолированных проводов:
![]()
Сопротивление обмотки при температуре 20В°С:
![]()
Приближенная оценка правильности вычисления сопротивления обмотки при температуре 20 В°С:
![]()
9. Стабилизирующая последовательная обмотка главных полюсов
МДС стабилизирующей обмотки на полюс:
![]()
Предварительное количество витков в катушке:
![]()
Уточненное количество витков в катушке: ![]()
Уточненное значение МДС обмотки:
![]()
Предварительная ширина катушки: ![]()
Средняя ширина витка многослойной катушки из изолированных проводов:
![]()
Сопротивление обмотки при температуре 20В°С:
![]()
Приближенная оценка правильности вычисленного сопротивления обмотки при температуре 20 В°С:
![]()
10. Характеристика намагничивания машин
Сопротивление обмоток якорной цепи двигателя, приведенное к стандартной рабочей температуре:
![]()
Уточнение ЭДС при номинальном режиме работы двигателя:
![]()
Уточненный магнитный поток:
![]()
Площадь поперечного сечения в воздушном зазоре:
![]()
Уточненная магнитная индукция в воздушном зазоре:
![]()
Коэффициент, уточняющий увеличение магнитного сопротивления воздушного зазора вследствие зубчатого строения якоря:
![]()
Общий коэффициент воздушного зазора:
![]()
МДС для воздушного зазора:
![]()
Площадь равновесного поперечного сечения зубцов:
![]()
Уточненная магнитная индукция в зубцах:
![]()
Напряженность магнитного поля в зубцах ротора и якоря: ![]()
Средняя длинна пути магнитного потока:
![]()
МДС для зубцов:
![]()
Площадь поперечного сечения спинки якоря без аксиальных каналов:
![]()
Уточненная магнитная индукция в спинке якоря:
![]()
Уточенная напряженность магнитного поля в зубцах ротора и якоря:
. Средняя длинна пути магнитного потока:
![]()
МДС для стенки якоря:
![]()
Площадь поперечного сечения сердечника полюса:
![]()
Уточненная магнитная индукция в сердечнике полюса:
![]()
Уточненная напряженность магнитного поля в сердечнике полюса: ![]()
Средняя длина пути магнитного потока: ![]()
МДС для сердечника полюса:
![]()
Эквивалентный зазор в стыке между главным полюсом и станиной:
![]()
МДС для зазора:
![]()
Площадь поперечного сечения станины:
![]()
Уточненная магнитная индукция в станине:
![]()
Уточненная напряженность магнитного поля в станине: ![]()
Средняя длинна пути магнитного потока:
![]()
МДС для станины:
![]()
Суммарная магнитная сила магнитной цепи:
![]()
Коэффициент насыщения магнитной цепи:
![]()
11. Параллельная обмотка главных полюсов
Размагничивающееся действие поперечной МДС якоря:
![]()
Размагничивающееся действие поперечной МДС якоря: ![]()
Размагничивающее действие:
![]()
МДС обмотки параллельного возбуждения главных полюсов:
![]()
Определение средней длинны витка обмотки:![]()
Средняя длинна витка обмотки:
![]()
Предварительное поперечное сечение провода: ![]()
Принимаем круглый провод марки ПЭТ - 155.
Площадь поперечного сечения провода марки ПЭТ - 155: ![]()
Уточненный коэффициент запаса:
![]()
Диаметр изолированного провода: ![]()
Уточненный диаметр изолированного провода: ![]()
Среднее значение плотности тока в обмотке главного полюса: ![]()
Предварительное количество витков одной катушки:
![]()
Уточненное количество витков: ![]()
Уточненная плотность тока в обмотке:
![]()
Сопротивление обмотки при t = 20 В°С:
![]()
Максимальный ток обмотки:
![]()
Максимальная МДС: ![]()
Принимаем трапециидальную форму поперечного сечения катушки с раскладкой витков по средней ширине NШ=34, по высоте NВ=42.
Ширина катушки на соответствующем участке: ![]()
Высота катушки на рассматриваемом участке: ![]()
12. Стабилизирующая последовательная обмотка
Ширина катушки на соответствующем участке: ![]()
![]() |
Рис. Эскиз расположения катушек в межполюсном окне двигателя.
Высота катушки на соответствующем участке:
![]()
13. Обмотка добавочных полюсов
Принимаем форму параллелепипеда.
Соответствующая ширина катушки: ![]()
Высота катушки на соответствующем участке:
![]()
14. Щетки и коллектор
Стандартная ширина щетки: ![]()
Стандартная длинна щетки: ![]()
Число перекрытых щеткой коллекторных делений:
![]()
где, tk - коллекторное деление.
Диэлектрическая проницаемость коллектора:
![]()
Ширина зоны коммутации:
![]()
Отношение ширины зоны коммутации к нейтральной зоне (между соседними наконечниками главных полюсов):
![]()
Контактная площадь одной щетки:
![]()
Необходимая контактная площадь всех щеток:
![]()
Количество щеток на одном бракете:
![]()
Количество щеток на одном бракете (округленное): ![]()
Уточненная контактная площадь всех щеток:
![]()
Уточненная плотность тока под щетками:
![]()
Активная длинна коллектора:
![]()
Окружная скорость коллектора при номинальной частоте вращения:
![]()
1
5. Коммутационные параметры
Проводимость рассеяния:
![]()
Максимально возможная окружная скорость якоря:
![]()
Реактивная ЭДС коммутирующих секций:
![]()
Среднее значение магнитной индукции в зазоре под добавочным полюсом:
![]()
Коэффициент, учитывающий увеличение магнитного сопротивления воздушного зазора вследствие зубчатого строения якоря:
![]()
Общий коэффициент воздушного зазора:
![]()
Необходимый зазор в добавочном полюсе:
![]()
Уточненный коэффициент показывающий влияние магнитного сопротивления воздушного зазора вследствие зубчатого строения якоря:
![]()
Уточненный необходимый зазор в добавочном полюсе:
![]()
Магнитный поток в зазоре под добавочным полюсом при нормальной нагрузке:
![]()
Магнитный поток в зазоре под добавочным полюсом при нагрузке:
![]()
Магнитный поток в сердечнике добавочного полюса при нормальной нагрузке:
![]()
Магнитный поток в сердечнике добавочного полюса при нагрузке:
![]()
Площадь поперечного сечения сердечника добавочного полюса:
![]()
Магнитная индукция в сердечнике добавочного полюса при нагрузке:

Расчетная магнитная индукция на участках станины, в которых суммируются магнитные потоки главных и добавочных полюсов:
![]()
Предельно допустимое максимальное значение магнитной индукции на участках станины, в которых суммируются магнитные потоки главных и добавочных полюсов: ![]()
Расчетная магнитная индукция на участках спинки якоря, в которых суммируются магнитные потоки главных и добавочных полюсов:
![]()
Предельно допустимое максимальное значение магнитной индукции на участках спинки якоря: ![]()
16. Номинальный режим
Масса стали зубцов якоря с овальными полузакрытыми пазами:
![]()
Магнитные потери в зубцах:
![]()
Масса стали спинки якоря:

Магнитные потери в спинке якоря:
![]()
Суммарные магнитные потери в стали:
![]()
Потери трение щеток о коллектор:
![]()
Потери на трение подшипников, трение о воздух и на вентиляцию машины:
![]()
Суммарные механические потери:
![]()
Добавочные потери у некомпенсированного двигателя:
![]()
Электромагнитная мощность двигателя:
![]()
ЭДС якоря двигателя:

Ток якоря двигателя:
![]()
Уточненный ток двигателя:
![]()
Подводимая мощность двигателя:
![]()
Суммарные потери в двигателе:
![]()
КПД машины:
![]()
Уточненный магнитный поток:
![]()
МДС магнитной цепи двигателя: ![]()
Размагничивающее действие:
![]()
Уточненное значение МДС оболочки:
![]()
Необходимая МДС параллельной или независимой обмотки главных полюсов двигателя:
![]()
Момент вращения на валу двигателя:
![]()
17. Регулирование частоты вращения вверх
Магнитный поток при наибольшей частоте вращения:
![]()
МДС при минимальном магнитном потоке: ![]()
Минимальный ток возбуждения:
![]()
Минимальная величина регулирующего сопротивления:
![]()
Частота вращения при холостом ходе:
![]()
18. Регулирование частоты вращения вниз
Допустимый момент вращения на валу при наименьшей частоте вращения двигателя:
![]()
Магнитный поток при наименьшей частоте вращения:

Ток якоря при nmin:

ЭДС при nmin:
![]()
Напряжение в якоре при nmin:
![]()
Результирующая МДС при nmin: ![]()
Размагничивающая МДС реакции якоря:

МДС стабилизирующей обмотки:

МДС обмотки возбуждения главных полюсов:
![]()
Ток обмотки возбуждения:
![]()
Максимальная величина регулируемого сопротивления:
![]()
19. Масса и динамические показатели
Масса проводов обмотки якоря:
![]()
Масса обмотки добавочных полюсов:
![]()
Масса стабилизирующей последовательной обмотки:
![]()
Масса параллельной или независимой обмотки главных полюсов:
![]()
Масса меди коллектора:
![]()
Суммарная масса проводов обмотки и меди коллектора:
![]()
Масса стали зубцов якоря с овальными полузакрытыми пазами: ![]()
Масса стали спинки якоря: ![]()
Масса сердечников главных полюсов:
![]()
Масса сердечников добавочных полюсов:
![]()
Масса массивной станины:
![]()
Суммарная масса активной стали:
![]()
Масса изоляции машины:
![]()
Масса конструкционных материалов:
![]()
Масса машины:
![]()
Динамический момент инерции якоря:

Электромеханическая постоянная времени якоря:
![]()
Список используемой литературы
1. "Проектирование электрических машин", О.Д. Гольдберг, Я.С. Гурин, И.С. Свириденко, Москва, "Высшая школа", 2001 г.
2. "Электрические машины", И.П. Копылов, Москва, "Высшая школа", 2002 г.
Вместе с этим смотрят:
IP-телефония. Особенности цифровой офисной связи

