10 способов решения квадратных уравнений
Копьевская сельская средняя общеобразовательная школа
10 способов решения квадратных уравнений
Автор: Реутова Екатерина Викторовна, 11 кл.
Руководитель: Патрикеева Галина Анатольевна,
учитель математики
с.Копьево, 2007
Содержание
1. История развития квадратных уравнений
1.1 Квадратные уравнения в Древнем Вавилоне
1.2 Как составлял и решал Диофант квадратные уравнения
1.3 Квадратные уравнения в Индии
1.4 Квадратные уравнения у ал- Хорезми
1.5 Квадратные уравнения в Европе XIII - XVII вв
1.6 О теореме Виета
2. Способы решения квадратных уравнений
Заключение
Литература
1. История развития квадратных уравнений
1.1 Квадратные уравнения в Древнем Вавилоне
Необходимость решать уравнения не только первой, но и второй степени еще в древности была вызвана потребностью решать задачи, связанные с нахождением площадей земельных участков и с земляными работами военного характера, а также с развитием астрономии и самой математики. Квадратные уравнения умели решать около 2000 лет до н. э. вавилоняне.
Применяя современную алгебраическую запись, можно сказать, что в их клинописных текстах встречаются, кроме неполных, и такие, например, полные квадратные уравнения:
X2 + X = ¾; X2 - X = 14,5
ВаПравило решения этих уравнений, изложенное в вавилонских текстах, совпадает по существу с современным, однако неизвестно, каким образом дошли вавилоняне до этого правила. Почти все найденные до сих пор клинописные тексты приводят только задачи с решениями, изложенными в виде рецептов, без указаний относительно того, каким образом они были найдены.
ВаНесмотря на высокий уровень развития алгебры в Вавилоне, в клинописных текстах отсутствуют понятие отрицательного числа и общие методы решения квадратных уравнений.
1.2 Как составлял и решал Диофант квадратные уравнения.
В ВлАрифметикеВ» Диофанта нет систематического изложения алгебры, однако в ней содержится систематизированный ряд задач, сопровождаемых объяснениями и решаемых при помощи составления уравнений разных степеней.
ВаПри составлении уравнений Диофант для упрощения решения умело выбирает неизвестные.
ВаВот, к примеру, одна из его задач.
Задача 11. ВлНайти два числа, зная, что их сумма равна 20, а произведение - 96В»
ВаДиофант рассуждает следующим образом: из условия задачи вытекает, что искомые числа не равны, так как если бы они были равны, то их произведение равнялось бы не 96, а 100. Таким образом, одно из них будет больше половины их суммы, т.е. 10 + х, другое же меньше, т.е. 10 - х. Разность между ними 2х.
Отсюда уравнение:
(10 + х)(10 - х) = 96
или же:
100 - х2 = 96
Вах2 - 4 = 0 (1)
Отсюда х = 2. Одно из искомых чисел равно 12, другое 8. Решение х = -2 для Диофанта не существует, так как греческая математика знала только положительные числа.
ВаЕсли мы решим эту задачу, выбирая в качестве неизвестного одно из искомых чисел, то мы придем к решению уравнения
у(20 - у) = 96,
Вау2 - 20у + 96 = 0. (2)
Ясно, что, выбирая в качестве неизвестного полуразность искомых чисел, Диофант упрощает решение; ему удается свести задачу к решению неполного квадратного уравнения (1).
1.3Квадратные уравнения в Индии
Задачи на квадратные уравнения встречаются уже в астрономическом тракте ВлАриабхаттиамВ», составленном в 499 г. индийским математиком и астрономом Ариабхаттой. Другой индийский ученный, Брахмагупта (VII в.), изложил общее правило решения квадратных уравнений, приведенных к единой канонической форме:
Ваах2 + х = с, а > 0. (1)
В уравнении (1) коэфиценты, кроме а, могут быть и отрицательными. Правило Брахмагупты по существу совпадает с нашим.
ВаВ Древней Индии были распространены публичные соревнования в решении трудных задач. В одной из старинных индийских книг говорится по поводу таких соревнований следующее: ВлКак солнце блеском своим затмевает звезды, так ученый человек затмит славу другого в народных собраниях, предлагая и решая алгебраические задачиВ». Задачи часто облекались в стихотворную форму.
ВаВот одна из задач знаменитого индийского математика XII в. Бхаскары.
Задача 13.
ВлОбезьянок резвых стая А двенадцать по лианамтАж
Власть поевши, развлекалась. Стали прыгать, повисаятАж
Их в квадрате часть восьмая Сколько ж было обезьянок,
На поляне забавлялась. Ты скажи мне, в этой стае?В»
Решение Бхаскары свидетельствует о том, что он знал о двузначности корней квадратных уравнений (рис. 3).

Соответствующее задаче 13 уравнение:
(x/8)2 + 12 = x
Бхаскара пишет под видом:
х2 - 64х = -768
и, чтобы дополнить левую часть этого уравнения до квадрата, прибавляет к обеим частям 322, получая затем:
х2 - 64х + 322 = -768 + 1024,
(х - 32)2 = 256,
х - 32 = В± 16,
х1 = 16, х2 = 48.
1.4 Квадратные уравнения у ал тАУ Хорезми
ВаВ алгебраическом трактате ал - Хорезми дается классификация линейных и квадратных уравнений. Автор насчитывает 6 видов уравнений, выражая их следующим образом:
Ва1) ВлКвадраты равны корнямиВ», т.е. ах2 + с = х.
Ва2) ВлКвадраты равны числуВ», т.е. ах2 = с.
Ва3) ВлКорни равны числуВ», т.е. ах = с.
Ва4) ВлКвадраты и числа равны корнямВ», т.е. ах2 + с = х.
Ва5) ВлКвадраты и корни равны числуВ», т.е. ах2 + bx = с.
Ва6) ВлКорни и числа равны квадратамВ», т.е. bx + с = ах2.
ВаДля ал - Хорезми, избегавшего употребления отрицательных чисел, члены каждого их этих уравнений слагаемые, а не вычитаемые. При этом заведомо не берутся во внимание уравнения, у которых нет положительных решений. Автор излагает способы решения указанных уравнений, пользуясь приемами ал - джабр и ал - мукабала. Его решения, конечно, не совпадает полностью с нашим. Уже не говоря о том, что оно чисто риторическое, следует отметить, например, что при решении неполного квадратного уравнения первого вида
ал - Хорезми, как и все математики до XVII в., е учитывает нулевого решения, вероятно, потому, что в конкретных практических задачах оно не имеет значения. При решении полных квадратных уравнений ал - Хорезми на частных числовых примерах излагает правила решения, а затем и геометрические доказательства.
Задача 14. ВлКвадрат и число 21 равны 10 корням. Найти кореньВ» (подразумевается корень уравнения х2 + 21 = 10х).
Решение автора гласит примерно так: раздели пополам число корней, получишь 5, умножишь 5 само на себя, от произведения отними 21, останется 4. Извлеки корень из 4, получишь 2. Отними 2 от5, получишь 3, это и будет искомый корень. Или же прибавь 2 к 5, что даст 7, это тоже есть корень.
Трактат ал - Хорезми является первой, дошедшей до нас книгой, в которой систематически изложена классификация квадратных уравнений и даны формулы их решения.
1.5 Квадратные уравнения в Европе XIII - XVII вв
Формулы решения квадратных уравнений по образцу ал - Хорезми в Европе были впервые изложены в Вл Книге абакаВ», написанной в 1202 г. итальянским математиком Леонардо Фибоначчи. Этот объемистый труд, в котором отражено влияние математики, как стран ислама, так и Древней Греции, отличается и полнотой, и ясностью изложения. Автор разработал самостоятельно некоторые новые алгебраические примеры решения задач и первый в Европе подошел к введению отрицательных чисел. Его книга способствовала распространению алгебраических знаний не только в Италии, но и в Германии, Франции и других странах Европы. Многие задачи из Вл Книги абакаВ» переходили почти во все европейские учебники XVI - XVII вв. и частично XVIII.
ВаОбщее правило решения квадратных уравнений, приведенных к единому каноническому виду:
х2 + bx = с,
при всевозможных комбинациях знаков коэффициентов , с было сформулировано в Европе лишь в 1544 г. М. Штифелем.
ВаВывод формулы решения квадратного уравнения в общем виде имеется у Виета, однако Виет признавал только положительные корни. Итальянские математики Тарталья, Кардано, Бомбелли среди первых в XVI в. Учитывают, помимо положительных, и отрицательные корни. Лишь в XVII в. Благодаря труда Жирара, Декарта, Ньютона и других ученых способ решения квадратных уравнений принимает современный вид.
1.6 О теореме Виета
Теорема, выражающая связь между коэффициентами квадратного уравнения и его корнями, носящая имя Виета, была им сформулирована впервые в 1591 г. следующим образом: ВлЕсли B + D, умноженное на A - A2, равно BD, то A равно В и равноDВ».
ВаЧтобы понять Виета, следует вспомнить, что А, как и всякая гласная буква, означало у него неизвестное (наше х), гласные же В,D - коэффициенты при неизвестном. На языке современной алгебры вышеприведенная формулировка Виета означает: если имеет место
Ва(а + )х - х2 = ab,
т.е.
х2 - (а + )х + а = 0,
то
х1 = а, х2 = .
ВаВыражая зависимость между корнями и коэффициентами уравнений общими формулами, записанными с помощью символов, Виет установил единообразие в приемах решения уравнений. Однако символика Виета еще далека от современного вида. Он не признавал отрицательных чисел и по этому при решении уравнений рассматривал лишь случаи, когда все корни положительны.
2. Способы решения квадратных уравнений
Квадратные уравнения - это фундамент, на котором покоится величественное здание алгебры. Квадратные уравнения находят широкое применение при решении тригонометрических, показательных, логарифмических, иррациональных и трансцендентных уравнений и неравенств. Все мы умеем решать квадратные уравнения со школьной скамьи (8 класс), до окончания вуза.
ВаВ школьном курсе математики изучаются формулы корней квадратных уравнений, с помощью которых можно решать любые квадратные уравнения. Однако имеются и другие способы решения квадратных уравнений, которые позволяют очень быстро и рационально решать многие уравнения. Имеется десять способов решения квадратных уравнений. Подробно в своей работе я разобрала каждый из них.
1. СПОСОБ: Разложение левой части уравнения на множители.
Решим уравнение
х2 + 10х - 24 = 0.
Разложим левую часть на множители:
х2 + 10х - 24 = х2 + 12х - 2х - 24 = х(х + 12) - 2(х + 12) = (х + 12)(х - 2).
Следовательно, уравнение можно переписать так:
(х + 12)(х - 2) = 0
Так как произведение равно нулю, то, по крайней мере, один из его множителей равен нулю. Поэтому левая часть уравнения обращается нуль при х = 2, а также при х = - 12. Это означает, что число 2 и - 12 являются корнями уравнения х2 + 10х - 24 = 0.
2. СПОСОБ: Метод выделения полного квадрата.
Решим уравнение х2 + 6х - 7 = 0.
Выделим в левой части полный квадрат.
Для этого запишем выражение х2 + 6х в следующем виде:
х2 + 6х = х2 + 2тАв х тАв 3.
В полученном выражении первое слагаемое - квадрат числа х, а второе - удвоенное произведение х на 3. По этому чтобы получить полный квадрат, нужно прибавить 32, так как
х2 + 2тАв х тАв 3 + 32 = (х + 3)2.
Преобразуем теперь левую часть уравнения
х2 + 6х - 7 = 0,
прибавляя к ней и вычитая 32. Имеем:
х2 + 6х - 7 = х2 + 2тАв х тАв 3 + 32 - 32 - 7 = (х + 3)2 - 9 - 7 = (х + 3)2 - 16.
Таким образом, данное уравнение можно записать так:
(х + 3)2 - 16 =0, (х + 3)2 = 16.
Следовательно, х + 3 - 4 = 0, х1 = 1, или х + 3 = -4, х2 = -7.
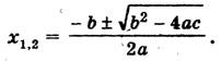
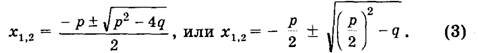
3. СПОСОБ: Решение квадратных уравнений по формуле.
Умножим обе части уравнения
ах2 + х + с = 0, а ≠ 0
на 4а и последовательно имеем:
4а2х2 + 4ах + 4ас = 0,
((2ах)2 + 2ах тАв + 2) - 2 + 4ac = 0,
(2ax + b)2 = b2 - 4ac,
2ax + b = В± √ b2 - 4ac,
2ax = - b В± √ b2 - 4ac,

Примеры.
а) Решим уравнение: 4х2 + 7х + 3 = 0.
а = 4, = 7, с = 3, D = 2 - 4ac = 72 - 4 тАв 4 тАв 3 = 49 - 48 = 1,
D > 0, два разных корня;
![]()
![]()
Таким образом, в случае положительного дискриминанта, т.е. при
2 - 4ac >0 , уравнение ах2 + х + с = 0 имеет два различных корня.
б) Решим уравнение: 4х2 - 4х + 1 = 0,
а = 4, = - 4, с = 1, D = 2 - 4ac = (-4)2 - 4 тАв 4 тАв 1= 16 - 16 = 0,
D = 0, один корень;
![]()
![]()
Итак, если дискриминант равен нулю, т.е. 2 - 4ac = 0, то уравнение
ах2 + х + с = 0 имеет единственный корень,
в) Решим уравнение: 2х2 + 3х + 4 = 0,
а = 2, = 3, с = 4, D = 2 - 4ac = 32 - 4 тАв 2 тАв 4 = 9 - 32 = - 13 , D < 0.
Данное уравнение корней не имеет.
Итак, если дискриминант отрицателен, т.е. 2 - 4ac < 0,
уравнение ах2 + х + с = 0 не имеет корней.
Формула (1) корней квадратного уравнения ах2 + х + с = 0 позволяет найти корни любого квадратного уравнения (если они есть), в том числе приведенного и неполного. Словесно формула (1) выражается так: корни квадратного уравнения равны дроби, числитель которой равен второму коэффициенту, взятому с противоположным знаком, плюс минус корень квадратный из квадрата этого коэффициента без учетверенного произведения первого коэффициента на свободный член, а знаменатель есть удвоенный первый коэффициент.
4. СПОСОБ: Решение уравнений с использованием теоремы Виета.
Как известно, приведенное квадратное уравнение имеет вид
х2 + px + c = 0. (1)
Его корни удовлетворяют теореме Виета, которая при а =1 имеет вид
x1 x2 = q,
x1 +x2 = -
Отсюда можно сделать следующие выводы (по коэффициентам p и q можно предсказать знаки корней).
Ваа) Если сводный член q приведенного уравнения (1) положителен (q > 0), то уравнение имеет два одинаковых по знаку корня и это зависти от второго коэффициента . Если р < 0, то оба корня отрицательны, если р < 0, то оба корня положительны.
Например,
x2 тАУ 3x + 2 = 0; x1 = 2 иx2 = 1, так какq = 2 > 0 и = - 3 < 0;
x2 + 8x + 7 = 0; x1 = - 7 иx2 = - 1, так какq = 7 > 0 и= 8 > 0.
б) Если свободный член q приведенного уравнения (1) отрицателен (q < 0), то уравнение имеет два различных по знаку корня, причем больший по модулю корень будет положителен, если < 0 , или отрицателен, если > 0 .
Например,
x2 + 4x тАУ 5 = 0; x1 = - 5 иx2 = 1, так какq= - 5 < 0 и = 4 > 0;
x2 тАУ 8x тАУ 9 = 0; x1 = 9 иx2 = - 1, так какq = - 9 < 0 и = - 8 < 0.
5. СПОСОБ: Решение уравнений способом ВлпереброскиВ».
Рассмотрим квадратное уравнение
ах2 + х + с = 0, где а ≠ 0.
Умножая обе его части на а, получаем уравнение
а2х2 + ах + ас = 0.
Пусть ах = у, откуда х = у/а; тогда приходим к уравнению
у2 + by + ас = 0,
равносильно данному. Его корни у1и у2 найдем с помощью теоремы Виета.
Окончательно получаем
х1 = у1/а и х1 = у2/а.
При этом способе коэффициент а умножается на свободный член, как бы ВлперебрасываетсяВ» к нему, поэтому его называют способом ВлпереброскиВ». Этот способ применяют, когда можно легко найти корни уравнения, используя теорему Виета и, что самое важное, когда дискриминант есть точный квадрат.
Пример.
Решим уравнение 2х2 тАУ 11х + 15 = 0.
Решение. ВлПеребросимВ» коэффициент 2 к свободному члену, в результате получим уравнение
у2 тАУ 11у + 30 = 0.
Согласно теореме Виета
![]()
![]()
![]()
![]()
у1 = 5ВаВа ВаВаВаВах1 = 5/2 ВаВаВаВаВаВаx1 = 2,5
Вау2 = 6 ВаВаВаx2 = 6/2 ВаВаВаВаВаВаВаВаx2 = 3.
Ответ: 2,5; 3.
6. СПОСОБ: Свойства коэффициентов квадратного уравнения.
А. Пусть дано квадратное уравнение
ах2 + х + с = 0, где а ≠ 0.
1) Если, а+ + с = 0 (т.е. сумма коэффициентов равна нулю), то х1 = 1,
х2 = с/а.
Доказательство. Разделим обе части уравнения на а ≠ 0, получим приведенное квадратное уравнение
x2 + /aтАв x + c/a = 0.
ВаСогласно теореме Виета
x1 + x2 = - /a,
x1x2 = 1тАв c/a.
ВаПо условию а тАУ + с = 0, откуда = а + с. Таким образом,
x1 + x2 = - а + b/a= -1 тАУ c/a,
Ваx1x2 = - 1тАв ( - c/a),
т.е. х1 = -1 и х2 = c/a, что м требовалось доказать.
Примеры.
1) Решим уравнение 345х2 тАУ 137х тАУ 208 = 0.
Решение. Так как а + + с = 0 (345 тАУ 137 тАУ 208 = 0), то
х1 = 1, х2 = c/a = -208/345.
Ответ: 1; -208/345.
2)Решим уравнение 132х2 тАУ 247х + 115 = 0.
Решение. Так как а + + с = 0 (132 тАУ 247 + 115 = 0), то
х1 = 1, х2 = c/a = 115/132.
Ответ: 1; 115/132.
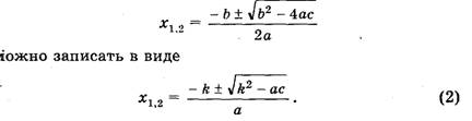
Б. Если второй коэффициент = 2kтАУ четное число, то формулу корней

Пример.
Решим уравнение 3х2 тАФ 14х + 16 = 0.
Решение. Имеем: а = 3, = тАФ 14, с = 16, k = тАФ 7;
D = k2 тАУ ac = (- 7)2 тАУ 3 тАв 16 = 49 тАУ 48 = 1, D > 0, два различных корня;

Ответ: 2; 8/3
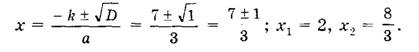
В. Приведенное уравнение
х2 + рх + q= 0
совпадает с уравнением общего вида, в котором а = 1, = р и с = q. Поэтому для приведенного квадратного уравнения формула корней


принимает вид:
Формулу (3) особенно удобно использовать, когда р тАФ четное число.
![]()
Пример. Решим уравнение х2 тАУ 14х тАУ 15 = 0.
Решение. Имеем: х1,2 =7В±
Ответ: х1 = 15; х2 = -1.
7. СПОСОБ: Графическое решение квадратного уравнения.

Если в уравнении
х2 + px + q = 0
перенести второй и третий члены в правую часть, то получим
х2 = - px - q.
Построим графики зависимости у = х2 и у = - px - q.
ВаГрафик первой зависимости - парабола, проходящая через начало координат. График второй зависимости -
прямая (рис.1). Возможны следующие случаи:
- прямая и парабола могут пересекаться в двух точках, абсциссы точек пересечения являются корнями квад- ратного уравнения;

- прямая и парабола могут касаться ( только одна общая точка), т.е. уравнение имеет одно решение;
- прямая и парабола не имеют общих точек, т.е. квадратное уравнение не имеет корней.
Примеры.
1) Решим графически уравнение х2 - 3х - 4 = 0 (рис. 2).
Решение. Запишем уравнение в виде х2 = 3х + 4.
Построим параболу у = х2 и прямую у = 3х + 4. Прямую
у = 3х + 4 можно построить по двум точкам М (0; 4) и
N (3; 13). Прямая и парабола пересекаются в двух точках
А и В с абсциссами х1 = - 1 и х2 = 4. Ответ: х1 = - 1;
х2 = 4.

2) Решим графически уравнение (рис. 3) х2 - 2х + 1 = 0.
Решение. Запишем уравнение в виде х2 = 2х - 1.
ВаПостроим параболу у = х2и прямую у = 2х - 1.
Прямую у = 2х - 1 построим по двум точкам М (0; - 1)
и N(1/2; 0). Прямая и парабола пересекаются в точке А с
абсциссой х = 1. Ответ: х = 1.

3) Решим графически уравнение х2 - 2х + 5 = 0 (рис. 4).
Решение. Запишем уравнение в виде х2 = 5х - 5. Построим параболу у = х2 и прямую у = 2х - 5. Прямую у = 2х - 5 построим по двум точкам М(0; - 5) и N(2,5; 0). Прямая и парабола не имеют точек пересечения, т.е. данное уравнение корней не имеет.
Ответ. Уравнение х2 - 2х + 5 = 0 корней не имеет.
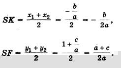
8. СПОСОБ: Решение квадратных уравнений с помощью циркуля и линейки.

Графический способ решения квадратных уравнений с помощью параболы неудобен. Если строить параболу по точкам, то требуется много времени, и при этом степень точности получаемых результатов невелика.
ВаПредлагаю следующий способ нахождения корней квадратного уравнения ах2 + х + с = 0 с помощью циркуля и линейки (рис. 5).
ВаДопустим, что искомая окружность пересекает ось
абсцисс в точках В(х1; 0 ) и D (х2; 0), где х1 и х2 - корни уравнения ах2 + х + с = 0, и проходит через точки
А(0; 1) и С(0; c/a) на оси ординат. Тогда по теореме о секущих имеем OB тАв OD = OA тАв OC, откуда OC = OB тАв OD/ OA= х1х2/ 1 = c/a.
Центр окружности находится в точке пересечения перпендикуляров SF и SK, восстановленных в серединах хорд AC и BD, поэтому

![]()
Итак:
1) построим точки (центр окружности) и A(0; 1);
2) проведем окружность с радиусом SA;
3) абсциссы точек пересечения этой окружности с осью Ох являются корнями исходного квадратного уравнения.
При этом возможны три случая.
1) Радиус окружности больше ординаты центра (AS > SK, или R > a + c/2a), окружность пересекает ось Ох в двух точках (рис. 6,а) В(х1; 0) и D(х2; 0), где х1 и х2 - корни квадратного уравнения ах2 + х + с = 0.
![]()
2) Радиус окружности равен ординате центра (AS = SB, или R = a + c/2a), окружность касается оси Ох (рис. 6,б) в точке В(х1; 0), где х1 - корень квадратного уравнения.
3) Радиус окружности меньше ординаты центра окружность не имеет общих точек с осью абсцисс (рис.6,в), в этом случае уравнение не имеет решения.






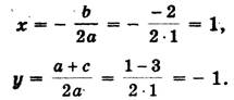
Пример.

Решим уравнение х2 - 2х - 3 = 0 (рис. 7).
Решение. Определим координаты точки центра окружности по формулам:

Проведем окружность радиуса SA, где А (0; 1).
Ответ:х1 = - 1; х2 = 3.
9. СПОСОБ: Решение квадратных уравнений с помощью Ваномограммы.
ВаЭто старый и незаслуженно забыты способ решения квадратных уравнений, помещенный на с.83 (см. Брадис В.М. Четырехзначные математические таблицы. - М., Просвещение, 1990).
ВаТаблица XXII. Номограмма для решения уравнения z2 + pz + q = 0. Эта номограмма позволяет, не решая квадратного уравнения, по его коэффициен там определить корни уравнения.

Криволинейная шкала номограммы построена по формулам (рис.11):
![]()
Полагая ОС = р, ED = q, ОЕ = а (все в см.), из подобия треугольников САН и CDF получим пропорцию

откуда после подстановок и упрощений вытекает уравнение
z2 + pz + q = 0,
причем буква z означает метку любой точки криволинейной шкалы.
Примеры.
1) Для уравнения z2 - 9z + 8 = 0 номограмма дает корни

z1 = 8,0 и z2 = 1,0 (рис.12).
2) Решим с помощью номограммыуравнение
2z2 - 9z + 2 = 0.
Разделим коэффициенты этого уравнения на 2, получим уравнение
z2 - 4,5z + 1 = 0.
Номограмма дает корни z1 = 4 иz2 = 0,5.
3) Для уравнения
z2 - 25z + 66 = 0
коэффициенты p и q выходят за пределы шкалы, выполним подстановку z = 5t, получим уравнение
t2 - 5t + 2,64 = 0,
Вакоторое решаем посредством номограммы и получим t1 = 0,6 и t2 = 4,4, откудаz1 = 5t1 = 3,0 иz2 = 5t2 = 22,0.
10. СПОСОБ: Геометрический способ решения квадратных Вауравнений.
ВаВ древности, когда геометрия была более развита, чем алгебра, квадратные уравнения решали не алгебраически, а геометрически. Приведу ставший знаменитым пример из ВлАлгебрыВ» ал - Хорезми.
Примеры.
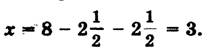
Ва1) Решим уравнение х2 + 10х = 39.
ВаВ оригинале эта задача формулируется следующим образом : ВлКвадрат и десять корней равны 39В» (рис.15).
Решение. Рассмотрим квадрат со стороной х, на его сторонах строятся прямоугольники так, что другая сторона каждого из них равна 2,5, следовательно, площадь каждого равна 2,5х. Полученную фигуру дополняют затем до нового квадрата ABCD, достраивая в углах четыре равных квадрата , сторона каждого их них 2,5, а площадь 6,25.

Площадь Sквадрата ABCD можно представить как сумму площадей: первоначального квадрата х2, четырех прямоугольников (4тАв 2,5х = 10х ) и четырех пристроенных квадратов (6,25тАв 4 = 25), т.е. S =х2 + 10х + 25. Заменяя
х2 + 10х числом 39, получим, что S = 39 + 25 = 64, откуда следует, что сторона квадрата ABCD, т.е. отрезок АВ = 8. Для искомой стороны х первоначального квадрата получим

2) А вот, например, как древние греки решали уравнение у2 + 6у - 16 = 0.
Решение представлено на рис. 16, где
у2 + 6у = 16, или у2 + 6у + 9 = 16 + 9.
Решение. Выражения у2 + 6у + 9 и 16 + 9 геометрически представляют собой один и тот же квадрат, а исходное уравнение у2 + 6у - 16 + 9 - 9 = 0 - одно и то же уравнение. Откуда и получаем, что у + 3 = В± 5, или у1 = 2, у2 = - 8 (рис.16).

3) Решить геометрически уравнение у2 - 6у - 16 = 0.
Преобразуя уравнение, получаем
у2 - 6у = 16.
На рис. 17 находим ВлизображенияВ» выражения у2 - 6у, т.е. из площади квадрата со стороной у два раза вычитается площадь квадрата со стороной, равной 3. Значит, если к выражению у2 - 6у прибавить 9, то получим площадь квадрата со стороной у - 3. Заменяя выражение у2 - 6у равным ему числом 16,
получаем: (у - 3)2 = 16 + 9, т.е. у - 3 = В± √25, или у - 3 = В± 5, где у1 = 8 и у2 = - 2.

Заключение
ВаКвадратные уравнения находят широкое применение при решении тригонометрических, показательных, логарифмических, иррациональных и трансцендентных уравнений и неравенств.
Однако, значение квадратных уравнений заключается не только в изяществе и краткости решения задач, хотя и это весьма существенно. Не менее важно и то, что в результате применения квадратных уравнений при решении задач не редко обнаруживаются новые детали, удается сделать интересные обобщения и внести уточнения, которые подсказываются анализом полученных формул и соотношений.
Хочется отметить и то, что излагаемая тема в этой работе еще мало изучена вообще, просто ею не занимаются, поэтому она таит в себе много скрытого и неизвестного, что дает прекрасную возможность для дальнейшей работы над ней.
Здесь я остановилась на вопросе решения квадратных уравнений, а что,
если существуют и другие способы их решения?! Опять находить красивые закономерности, какие-то факты, уточнения, делать обобщения, открывать все новое и новое. Но это вопросы уже следующих работ.
ВаПодводя итоги, можно сделать вывод: квадратные уравнения играют огромную роль в развитии математики. Все мы умеем решать квадратные уравнения со школьной скамьи (8 класс), до окончания вуза. Эти знания могут пригодиться нам на протяжении всей жизни.
Так как эти методы решения квадратных уравнений просты в применении, то они, безусловно, должно заинтересовать увлекающихся математикой учеников. Моя работа дает возможность по-другому посмотреть на те задачи, которые ставит перед нами математика.
Литература:
1. Алимов Ш.А., Ильин В.А. и др. Алгебра, 6-8. Пробный учебник для 6-8 классовой средней школы. - М., Просвещение, 1981.
2. Брадис В.М. Четырехзначные математические таблицы для средней школы.Изд. 57-е. - М., Просвещение, 1990. С. 83.
3. Кружепов А.К., Рубанов А.Т. Задачник по алгебре и элементарным функциям. Учебное пособие для средних специальных учебных заведений. - М., высшая школа, 1969.
4. Окунев А.К. Квадратичные функции, уравнения и неравенства. Пособие для учителя. - М., Просвещение, 1972.
5. Пресман А.А. Решение квадратного уравнения с помощью циркуля и линейки. - М., Квант, № 4/72. С. 34.
6. Соломник В.С., Милов П.И. Сборник вопросов и задач по математике. Изд. - 4-е, дополн. - М., Высшая школа, 1973.
7. Худобин А.И. Сборник задач по алгебре и элементарным функциям. Пособие для учителя. Изд. 2-е. - М., Просвещение, 1970.
Вместе с этим смотрят:
РЖнварiантнi пiдпростори. Власнi вектори i власнi значення лiнiйного оператора
РЖнтегральнi характеристики векторних полiв
Автокорреляционная функция. Примеры расчётов