Основи захисту обьiкту господарськоi дiяльностi

МРЖЖНАРОДНИЙ УНРЖВЕРСИТЕТ ФРЖНАНСРЖВ

КРИВОРРЖЗЬКА ФРЖЛРЖЯ

КАФЕДРА ГУМАНРЖТАРНОРЗ

ПРЖДГАТОВКИ

"ОСНОВИ ЗАХИСТУ ОБтАЩРДКТУ ГОСПОДАРСЬКОРЗ ДРЖЯЛЬНОСТРЖ"

реферат

Виконав студент

педагогiчного факультету

групи ПП тАУ 04 тАУ 4

Алексанкiн. РЖ. С.

м. Кривий Рiг


План

1. Основи стiйкостi роботи обтАЩiктiв.

2. Основнi напрямки пiдвищення стiйкостi роботи обтАЩiкта в надзвичайних ситуацiях.

3. Оцiнка стiйкостi обтАЩiкта проти впливу уражених факторiв.


1. Основи стiйкостi роботи об'iктiв

Стiйкiсть роботи об'iкта тАФ це здатнiсть його в надзвичайних ситуацiях випускати продукцiю у запланованому обсязi, необхiдВнноi номенклатури i вiдповiдноi якостi, а у випадку впливу на об'iкт уражаючих факторiв, стихiйних лих та виробничих аварiй тАФ у мiнiмально короткi строки вiдновити своi виробництво. Залежить вона вiд таких основних факторiв: розмiщення об'iкта вiдносно великих мiст, об'iктiв атомноi енергетики, хiмiчноi промисловостi, великих гiдротехнiчних споруд, вiйськових об'iктiв та iн.; природноклiматичних умов, технологii виробництва; надiйностi захисту працюючих, населення вiд впливу уражаючих факторiв, наслiдкiв стихiйних лих i виробничих аварiй, катастроф; надiйностi системи постачання об'iкта всiм необхiдним для виробництва продукцii (паВнливом, мастилами, електроенергiiю, газом, водою, хiмiчними засобаВнми захисту рослин, ветеринарними засобами, мiнеральними добриВнвами, запасними частинами, технiкою та iн.); здатностi iнженерно-технiчного комплексу протистояти надзвичайним ситуацiям; стiйкостi управлiння виробництвом i ЦЗ, психологiчноi пiдготовВнленостi керiвного складу, спецiалiстiв i населення до дiй в екстреВнмальних умовах; навченостi керiвного складу ЦЗ об'iкта i насеВнлення правильно виконувати комплекс заходiв цивiльного захисВнту; масштабiв i ступеня уражаючоi дii стихiйного лиха, виробничоi аварii, катастрофи чи зброi i пiдготовленiсть об'iкта до ведення рятувальних та iнших невiдкладних робiт для вiдновлення поруВншеного виробництва. Данi фактори визначають i основнi вимоги стiйкостi роботи об'iктiв у надзвичайних ситуацiях та шляхи ii пiдвищення.

На мою думку бiльш пiдготовленими до стiйкоi роботи будуть тi об'iкти, якi реально оцiнять фактори, iх несприятливий вплив на виробництво i розроблять вiдповiднi заходи. Завчасне проведення органiзацiйних, агрохiмiчних, агротехнiчних, iнженерно-технiчних, ветеринарно-санiтарних, лiсотехнiчних, лiсогосподарських, мелiоративних та iнших заходiв максимально знизить результати впливу уражаючих факВнторiв мирного i воiнного часу i створить сприятливi умови для швидВнкоi лiквiдацii наслiдкiв надзвичайних ситуацiй.

Робота об'iкта в цiлому складаiться з роботи окремих галузей виробництва. Тому необхiдно розглянути стiйкiсть у надзвичайних умовах окремих галузей виробництва.

2.Основнi напрямки пiдвищення стiйкостi роботи об'iкта в надзвичайних ситуацiях

На основi вивчення факторiв, якi впливають на стiйкiсть роботи об'iктiв, i оцiнки стiйкостi елементiв i галузей виробництва проти уражаючих факторiв ядерноi, хiмiчноi i бiологiчноi зброi, стихiйних лих i виробничих аварiй, необхiдно завчасно органiзувати i провести органiзацiйнi, iнженерно-технiчнi й технологiчнi заходи для пiдвиВнщення стiйкостi роботи.

Здiйснення органiзацiйних заходiв передбачаi завчасну пiдготовВнку всiх структур цивiльного захисту, служб i формувань до надзвиВнчайних ситуацiй.

Вжиттям технологiчних заходiв пiдвищуiться стiйкiсть роботи об'iктiв шляхом змiнювання технологiчних процесiв, режимiв, можВнливих в умовах надзвичайних ситуацiй.

РЖнженерно-технiчнi заходи мають забезпечити пiдвищену стiйкiсть виробничих споруд, технологiчних лiнiй, устаткування, комунiкацiй об'iкта до впливу уражаючих факторiв пiд час надзвичайних ситуацiй.

При проведеннi цих заходiв необхiдно враховувати конкретнi умови об'iкта народного господарства. Проте i загальнi органiзацiйнi iнженерно-технiчнi заходи, якi мають проводитись на всiх об'iктах.

1.ВаВаВаВаВа Забезпечення захисту людей та iх життiдiяльностi. Створення на об'iктi надiйноi системи оповiщення про загрозу нападу противника, радiоактивне забруднення, хiмiчне iВаВа бiологiчне зараВнження, загрозу стихiйного лиха i виробничоi аварii. Органiзацiя розВн
вiдки i спостереження за радiоактивним забрудненням, хiмiчним i бiологiчним зараженням; гiдрометеорологiчне спостереження за рiвнем води, напрямком i швидкiстю вiтру, рухом i поширенням хмари радiоактивного забруднення, СДЯР i ОР.

Створення фонду захисних споруд ЦО, запасiв засобiв iндивiдуВнального захисту i забезпечення своiчасноi видачi iх населенню.

Завчасна пiдготовка до масовоi санiтарноi обробки населення i знезаражування одягу, органiзацiя взаiмодii з установами охорони здоров'я для медичного обслуговування населення у надзвичайних ситуацiях.

Пiдготовка до евакуацii населення, розмiщеного в зонах можлиВнвих руйнувань i катастрофiчного затоплення. Завчасна пiдготовка мiсць евакуацii, органiзацiя прийому евакуйованого населення на територiю населених пунктiв.

Постачання населення продуктами харчування, питною водою, предметами першоi необхiдностi; комунальне побутове обслуговуВнвання населення з урахуванням проведення евакуацiйних заходiв, забезпечення захисту продовольчих запасiв.

Навчання населення способам захисту, надання першоi допомоги, практичним дiям в умовах надзвичайних ситуацiй, морально-психоВнлогiчна пiдготовка населення для виживання.

Забезпечення чiткоi iнформацii про обстановку та правила дiй i поВнведiнки населення в надзвичайних ситуацiях мирного i воiнного часу.

2.ВаВаВаВаВа Захист цiнного й унiкального устаткування. Захистити цiнне i унiкальне устаткування можна завдяки проведенню iнженерно-технiчних заходiв, щоб зменшити небезпеку пошкодження i руйнування цiнного й унiкального устаткування, станкiв з програмВнним керуванням, шлiфувальних, токарних, розточних, зубофрезерних, пресових станкiв, автоматичних конвеiрних лiнiй та iншого устаткування.

Варiантами такого захисту i розмiщення зазначеного устаткуВнвання в заглиблених примiщеннях а також використання спецiальВнних захисних пристосувань, закрiплення станкiв на фундаментах, застосування контрфорсiв для пiдвищення стiйкостi проти перекиВндання обладнання

Пiдвищення стiйкостi мереж комунального господарства.

Для забезпечення стiйкостi роботи об'iктiв повиннi проводитись iнжеВннерно-технiчнi заходи на мережах комунального господарства з метою захисту джерел тепла iз заглибленням у ТСрунт комунiкацiй. Котельнi слiд розмiщувати в спецiальному окремо розмiщеному примiщеннi.

Якщо об'iкт одержуi тепло з мiськоi теплоцентралi, необхiдно провести заходи для забезпечення стiйкостi трубопроводiв i розпоВндiльних пристроiв, пiдведених до об'iкта.

Теплова мережа маi будуватися за кiльцевою системою з проклаВнданням труб у спецiальних каналах зi з'iднанням паралельних дiляВннок. Для вiдключення пошкоджених дiлянок мають бути встановВнленi запiрно-регулючi засувки, вентилi та iн. Цi пристосування неВнобхiдно розмiщувати в оглядових колодязях, на територii, що не заВнвалюiться при руйнуваннi будiвель.

Система каналiзацii маi будуватись окремо: одна для дощових, друга для промислових i господарських вод. На об'iктi маi бути не менше двох виводiв з пiдключенням до мiських каналiзацiйних коВнлекторiв, а також виводи i колодязi з аварiйними засувками на об'iктових колекторах з iнтервалом 50 м на територii, що не завалюiться, для аварiйного скидання неочищеноi води в найближчi штучнi та природнi заглиблення.

На деяких промислових об'iктах i системи для забезпечення техВннологii виробництва: для подання кисню, амiаку, стиснутого повiтря та iнших рiдких i газових реактивiв. Для цих систем розробляють заходи для попередження виникнення вторинних факторiв зброi, стихiйних лих та виробничих аварiй i катастроф.

6.ВаВаВаВаВа Забезпечення стiйкостi роботи паливно-енергетичного комплексу i водопостачання. Створення резерву енергетичних потужВнностей за рахунок автономних пересувних електростанцiй, а також мiсцевих джерел електроенергii. Пiдготовка автономних електроВнстанцiй до роботи за спецiальним режимом (графiком) для забезпеВнчення технологiчних процесiв виробництва, для яких неможливi тривалi перерви в електропостачаннi.

З метою попередження аварiй на електричних мережах необхiдВнно установити автоматичну систему вiдключення при виникненнi перенапруги. Повiтрянi лiнii електропостачання замiнити на пiдземВнно-кабельнi.

Створення необхiдних запасiв (резервiв) паливно-мастильних матеВнрiалiв та iнших видiв палива й органiзацiя iх безпечного зберiгання.

Щоб не допустити зупинки пiдприiмства через дефiцит палива, необхiдно пiдготуватись для роботи на рiзних видах палива: нафта, вугiлля, газ.

Для пiдвищення стiйкостi забезпечення водою слiд провести такi заходи. Необхiдно створити основнi i резервнi джерела водопостаВнчання. Як резервне джерело краще мати артезiанську свердловину, яку необхiдно пiдключити до системи водопостачання. Крiм того, воду можна брати з близько розмiщеноi природноi водойми або споВнрудити штучну водойму чи резервуари з обладнанням пристроiв для збору i перекачування води.

Всi дiлянки водопостачання повиннi бути заглибленi в ТСрунт з обладнанням пожежних гiдрантiв i пристроiв для вiдключення поВншкоджених дiлянок. Локальнi мережi водопостачання окремих веВнликих пiдприiмств варто з'iднати iз загальномiською системою воВндопостачання в iдине кiльце.

Пiдвищенню стiйкостi забезпечення водою сприяi подавання води безпосередньо в мережу поза водонапiрними баштами, спорудження обвiдних лiнiй для подання води поза пошкодженими спорудами.

Завчасне вжиття заходiв захисту вододжерел, водопровiдних споВнруд, свердловин i шахтних колодязiв вiд забруднення радiоактивниВнми речовинами, зараження хiмiчними i бiологiчними засобами.

Пiдготовка мелiоративних, гiдротехнiчних та iригацiйних споруд i систем до експлуатацii в надзвичайних умовах.

7. Стiйкiсть роботи автотранспортноi та iншоi технiки, технологiчного обладнання i механiзмiв. Органiзацiя своiчасного оповiщення гаража, технологiчного парку, iх керiвникiв, водiiв, механiВнзаторiв про загрозу надзвичайноi ситуацii.

Пiдготовка автотранспортноi технiки до проведення робiт в умоВнвах радiоактивного забруднення, хiмiчного бiологiчного зараження i свiтломаскування.

Пристосування i використання всiх видiв транспортних засобiв для евакуацii населення i перевезення потерпiлих.

Розробка заходiв з метою пристосування автотранспортноi, iншоi технiки для виконання завдань ЦЗ.

Пiдвищення стiйкостi роботи об'iктiв народного господарства в надзвичайних умовах

Розробка пристосувань i технологiчних процесiв для вiдбору поВнтужностей тракторiв i автомобiлiв з метою приведення в дiю електВнрогенераторiв i технологiчного обладнання, насосiв для подачi води до мiсця споживання зi свердловин, вiдкритих водойм i шахтних колодязiв.

Пiдготовка всiii технiки для проведення рятувальних та iнших невiдкладних робiт у надзвичайних умовах мирного i воiнного часу.

8.ВаВаВаВаВа Забезпечення стiйкого постачання об'iкта. Для забезпеченВння виробництва продукцii необхiднi електроенергiя, паливо, мастила, засоби захисту рослин, мiндобрива, профiлактичнi й лiкувальнi преВнпарати ветеринарноi медицини, запаснi частини, сировина та iншi маВнтерiально-технiчнi засоби. Забезпечення об'iктiв цими ресурсами дасть можливiсть випускати необхiдну продукцiю в надзвичайних умовах мирного i воiнного часу. Тому повиннi проводитись такi заходи, якi б забезпечили стiйкiсть постачання i сприяли пiдвищенню захисту меВнрежi електро-, водо-, газопостачання, транспортних комунiкацiй i джеВнрел постачання всiм необхiдним для забезпечення функцiонування галузей сiльського господарства в надзвичайних умовах.

З метою попередження аварiй на електричних мережах необхiдВнно встановити автоматичну систему вiдключення перенапруги. ПоВнвiтрянi лiнii електропостачання слiд замiнити на пiдземно-кабельнi.

Газ використовуiться як паливо i на хiмiчних пiдприiмствах у технологiчному процесi. Для безперебiйного забезпечення газом, гаВнзовi мережi необхiдно пiдводити до об'iкта з двох напрямкiв, якi мають бути з'iднанi в iдине кiльце з обладнанням для можливого дистанцiйного автоматичного управлiння й у разi необхiдностi вiдклюВнчення пошкоджених дiлянок.

На великих пiдприiмствах необхiдно мати пiдземнi iмностi iз закачаним резервним газом.

На пiдприiмствах, де використовуiться пара, необхiдно захистиВнти джерела його постачання, заглибити в ТСрунт комунiкацii паропостачання i встановити запiрнi пристосування.

Запас резервних матерiалiв необхiдно розраховувати на такi строки роботи пiдприiмства, за якi можливе вiдновлення регулярного поВнстачання.

Передбачити, на випадок перебоiв в постачаннi пiдприiмствами-су-мiжниками, створення мiсцевих матерiалiв, сировини для виготовленВння комплектуючих виробiв i iнструментiв силами свого пiдприiмства.

9. Забезпечення збереження й вiдновлення будiвель i споруд.
Оцiнка можливих ступенiв руйнування будiвель i споруд господарства, населеного пункту. Визначення обсягу невiдкладних ремонтВн них робiт, потреби в будiвельних матерiалах.

Розрахунок сил i засобiв для проведення невiдкладних ремонтВнних та iнших робiт, а також знезаражування примiщень, виробниВнчих дiлянок i територii.

Створення i пiдготовка спецiальних формувань для ремонтно-вiдновних, будiвельних та iнших робiт на об'iктi. При будiвництвi нових будiвель i захисних споруд врахувати вимоги ЦЗ.

Розробка комплексу протипожежних заходiв, якi виключали б можливiсть виникнення масових пожеж.

10. Забезпечення надiйностi системи управлiння i зв'язку. Органiзацiя захищеного пункту управлiння, оснащення його засобаВнми зв'язку, якi б дали можливiсть швидко доводити сигнали ЦЗ до всiх виробничих пiдроздiлiв i населення у мiсцях проживання.

Розробка документiв, якi регламентують чiткi дii персоналу для забезпечення сталоi роботи об'iкта в надзвичайних умовах.

Пiдготовка необхiдного резерву кадрiв спецiалiстiв, механiзаторiв i керiвних працiвникiв для змiни тим, якi будуть мобiлiзованi.

Планування збору даних про обстановку, передачу команд i розпоВнряджень в умовах впливу на об'iкт уражаючих факторiв. ОрганiзаВнцiя використання радiозасобiв, телефонного зв'язку, посильних для зв'язВнку з вiддаленими населеними пунктами, виробничими пiдроздiлами, а також з колонами евакуйованого населення, що перебувають у дорозi, i вiдповiдальними особами, якi супроводжують пiд час евакуацii.

Забезпечення дублювання лiнiй i каналiв зв'язку.

Для пiдтримання на високому рiвнi ЦЗ регулярно проводити пiдгоВнтовку населення, спецiалiстiв, проводити об'iктовi тренування i коВнманднi навчання.

Ва3. Оцiнка стiйкостi об'iкта проти впливу уражаючих факторiв

Для розробки заходiв пiдвищення i забезпечення стiйкостi робоВнти об'iктiв у надзвичайних ситуацiях необхiдно оцiнити стiйкiсть об'iкта проти впливу уражаючих факторiв.

Вихiдними даними для проведення розрахункiв стiйкостi об'iкта До ураження i: максимальнi значення параметрiв можливих уражаюВнчих факторiв i характеристики елементiв об'iкта.

Параметри уражаючих факторiв можна одержати у вiддiлi або Управлiннi ЦЗ або визначити розрахунковим способом.

Руйнування житлових будинкiв, виробничих примiщень, тваринВнницьких комплексiв, споруд рiзного виробничого призначення може бути у воiнний час вiд вибуховоi хвилi, в мирний час вiд аварiй рiзного характеру, ураганiв i землетрусiв. Дiя ударноi хвилi на об'iкт характеризуiться складним комплексом навантажень: надмiрним тиском, тиском вiдбивання, тиском швидкiсного напору, тиском затiкання, навантаженням вiд сейсмовибухових хвиль.

Все це буде залежати вiд виду i потужностi вибуху, вiдстанi до об'iкта, конструкцii й розмiрiв елементiв об'iкта, орiiнтацii вiдносно вибуху, розмiщення будiвель i споруд, рельiфу мiсцевостi, характеру аварii, сили землетрусу чи бурi.

Осередки ураження при землетрусах за характером руйнувань будiвель i споруд можна порiвняти з осередками ядерного ураження. Тому оцiнку можливих руйнувань при землетрусах можна проводити аналогiчно оцiнцi руйнувань при ядерному вибуху. Як критерiй необхiдно брати не максимальний надмiрний тиск у фронтi ударноi хвилi, а максимальну силу землетрусу в балах за шкалою Рiхтера.

Послiдовнiсть проведення оцiнки:

тАФвизначення максимального надмiрного тиску ударноi хвилi, ∆РФ, сейсмiчноi хвилi чи сили бурi, яка очiкуiться на об'iктi;

тАФвидiлення основних елементiв на об'iктi (склади, майстернi, цехи та iн.), вiд яких залежатиме функцiонування об'iкта i виробництво продукцii;

тАФоцiнка стiйкостi кожного елемента об'iкта;

тАФвизначення межi стiйкостi об'iкта проти впливу ударноi, сейсмiчноi хвилi, урагану за мiнiмальною стiйкiстю його основних елементiв;

тАФпорiвняння розрахованоi межi стiйкостi об'iкта ∆Рфlim, з очiВнкуваним максимальним надмiрним тиском ударноi хвилi ∆Рфmax сейсмiчноi хвилi чи сили бурi. Якщо ∆Рфlim > ∆Рфmax , то об'iкт стiйкий, якщо ж ∆Рфlim < ∆Рфmax, то об'iкт нестiйкий проти ударноi хвилi i аналогiчно до сейсмiчноi хвилi i бурi;

тАФвизначення ступеня можливих руйнувань за таблицею резульВнтатiв оцiнки для елементiв об'iкта при можливому i максимальноВнму значеннi надмiрного тиску ∆Рфmax, тиску сейсмiчноi хвилi чи сили бурi й можливi при цьому втрати (вiдсотки).

На основi результатiв оцiнки стiйкостi об'iкта роблять висновки i пропозицii за кожним елементом i об'iктом в цiлому: межа стiйкостi об'iкта, найбiльш вразливi його елементи, характер i ступiнь руйнуВнвань при максимальному надмiрному тиску, сильному землетрусi йураганi, можливi збитки; межа доцiльного, пiдвищення стiйкостi найбiльш вразливих елементiв об'iкта i пропозицii (заходи) для пiдвиВнщення межi стiйкостi об'iкта.

Оцiнка можливостi виникнення пожеж на об'iктi. Можливiсть виникнення пожеж встановлюють за займистiстю матерiалiв вiд свiтлового iмпульсу ядерного вибуху, руйнування печей, газопровоВндiв, пошкодження електромережi, якi можуть виникнути при аварiВнях, землетрусах, бурях та iн.

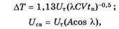
Свiтловий iмпульс можна розрахувати за температурою загоранВння або нагрiвання матерiалiв i виробiв:

де ∆T тАФ пiдвищення температури матерiалу з освiтленого боку, В°С; UTтАФ кiлькiсть свiтлового випромiнювання, яке поглинаiться одиВнницею поверхнi матерiалу (тепловий iмпульс), кДж/м2;Ва λ тАФ коефiцiiнт теплопровiдностi, кВТ/(mК); CV тАФ питома теплопровiднiсть речовиВнни, кДж/(м3 тАв К); tn = 0,02 3√g тАФ час початку найбiльшоi температури вогненного iмпульсу; g - потужнiсть вибуху, Мт; А - коефiцiiнт поглинання свiтловоi енергii матерiалом; λ - кут мiж напрямком поширення свiтла i перпендикуляром до освiтленоi поверхнi.

Оцiнюючи стiйкiсть об'iкта проти свiтлового випромiнювання ядерного вибуху, необхiдно визначити максимальне значення свiтлоВнвого iмпульсу UCBmax яке може бути на об'iктi.

Для оцiнки стiйкостi об'iкта проти свiтлового випромiнювання необхiднi такi вихiднi данi: характеристика будiвель i споруд; хаВнрактер виробництва, якi горючi матерiали застосовуються у виробВнництвi; вид готовоi продукцii та мiсце ii зберiгання.

Оцiнку стiйкостi об'iкта до свiтлового випромiнювання доцiльно проводити у такiй послiдовностi: визначити ступiнь вогнетривкостi будiвель i споруд, виявити горючi матерiали, елементи конструкцiй i речовини; розрахувати свiтловi iмпульси, за яких вiдбудеться спалаВнхування елементiв iз займистих матерiалiв; визначити категорiю виробництва за пожежною небезпекою.

Пожежна небезпека виробництва визначаiться технологiчним процесом, матерiалами якi застосовуються у виробництвi та готовою продукцiiю. За пожежною небезпекою технологiчного процесу всi об'iкти подiляються на п'ять категорiй: А, Б, В, Г, Д.

Категорiя А - склади бензину; примiщення стацiонарних кисВнлотних i лужних акумуляторних установок.

Категорiя Б - цехи приготування i транспортування деревного борошна; розмельнi вiддiли млинiв; цехи виготовлення цукровоi пудри; мазутне господарство електростанцiй.

Категорiя В - лiсопильнi, деревообробнi, столярнi, меблевi, бонВндарнi й лiсотарнi цехи; цехи текстильноi i паперовоi промисловостi, заводи сухоi первинноi обробки льону, конопель i лубтАЩяних волокон, зерноочиснi вiддiлення млинiв i зерновi елеватори; склади паливно-мастильних матерiалiв; вiдкритi склади мастил i мастильне госпоВндарство електростанцiй; закритi склади вугiлля.

Категорiя Г - кузнi; зварнi цехи; примiщення двигунiв внутрiВншнього згоряння; головнi корпуси електростанцiй; розподiльнеобладнання з вимикачами й апаратурою з вмiстом мастила 60кг i менше в одиницi обладнання; високовольтнi лабораторii; котельнi.

Категорiя Д - цехи переробки м'ясних, рибних, молочних проВндуктiв; насосне й водоприймальне обладнання електростанцiй; насоснi станцii для перекачування негорючих рiдин.

До категорiй А, Б i В не належать виробництва, в яких горючi рiдини; гази i пари спалюються як паливо, а також виробництва в яких технологiчний процес протiкаi iз застосуванням вiдкритого вогню. Склади подiляються на категорii вiдповiдно до пожежноi небезпеки матерiалiв що знаходяться на них стосовно вказiвок даних категорiй.

Розрахунковi данi зводять у таблицю результатiв оцiнки i роблять висновки, в яких вказують: межу стiйкостi об'iкта проти свiтлоВнвого iмпульсу Uсвlim; очiкуваний максимальний свiтловий iмпульс Uсвmax; найбiльш пожежонебезпечнi елементи об'iкта i можлива обстановка на об'iктi. Об'iкт вважаiться стiйким проти свiтлового iмпульсу, якщо Uсвlim > Uсвmax.

На основi висновкiв розробляють конкретнi заходи пiдвищення пожежноi стiйкостi об'iкта.

Оцiнка уразливостi об'iкта вiд радiоактивного забруднення i проникаючоi радiацii починаiться з визначення максимальних очiВнкуваних значень рiвня радiацii i дози проникаючоi радiацii.

За показник стiйкостi об'iкта приймаiться допустима доза радiаВнцii, яку можуть одержати люди за час робочоi змiни.

Стiйкiсть об'iкта проти радiацiйного ураження можна оцiнювати у такiй послiдовностi. Визначити: граничнi рiвнi радiацii (Р/год) на об'iктi, за яких можлива виробнича дiяльнiсть у звичайному режимi або в режимах радiацiйного захисту; ступiнь захищеностi працюючих; дози радiацii, якi може одержати виробничий персонал; втрати сiльськогосВнподарських тварин i зниження iх продуктивностi (%); втрати сiльськоВнгосподарських рослин та iх урожайнiсть (%); втрати i ураження лiсоВнвих насаджень i в результатi цього зниження господарськоi дiяльностi лiсогосподарських об'iктiв; стiйкiсть роботи об'iктiв в цiлому.

Пiсля аналiзу зробити висновки про очiкуванi максимальнi рiвнi радiацiйного забруднення територii об'iкта i дози проникаючоi радiацii; ступiнь забезпечення захисту працюючих, тварин i обладнання, технiки, урожаю, кормiв, води; можливiсть безперервноi стiйкоi роВнботи об'iкта за умови, що сумарна доза опромiнення працюючих не перевищуватиме допустимоi дози; можливiсть виробництва заплаВннованоi, доброякiсноi продукцii та заходи пiдвищення стiйкостi роВнботи об'iкта, пiдвищення рiвня захисту працюючих.

Оцiнка можливих збиткiв вiд ядерного вибуху проводиться на основi характеристики впливу кожного з уражаючих факторiв. У зв'язку з тим, що найбiльш небезпечним (за територiiю i тривалiстю ураження) i радiоактивне забруднення мiсцевостi, розглянемо приВнклад розрахунку збиткiв вiд впливу цього уражаючого фактора.

Для оцiнки наслiдкiв впливу радiоактивного забруднення необхiднi такi данi: радiацiйна обстановка в населених пунктах, на вiдкритiй мiсцевостi тАФ мiсцях знаходження людей, на полях i пасовищах, на фермi та дiлянках, де перебуваi худоба поза примiщеннями, можливi втрати людей, поголiв'я сiльськогосподарських тварин, продуктивностi тварин, урожаю сiльськогосподарських культур; чисельнiсть працеВнздатного населення i характеристика його розмiщення (на вiдкритiй мiсцевостi, в будинках, протирадiацiйних укриттях) з урахуванням ступеня захищеностi вiд впливу радiацii; поголiв'я сiльськогосподарВнських тварин у громадському й особистому господарствах за видами i вiковими категорiями, характеристика iх розмiщення на перiод випадання радiоактивних продуктiв; планова продуктивнiсть сiльськогосподарських тварин; площi посiвiв сiльськогосподарських культур, плановi урожайностi й валовi збори урожаю, фази розвитку рослин на |календарний час випадання радiоактивних речовин.

Розрахунки втрат населення. В оцiнцi стiйкостi роботи об'iкта особливе значення маi аналiз розрахунку виробничих сил в умовах радiоактивного забруднення. Розглянемо це на прикладi.

Приклад. Населений пункт потрапив у три дозовi зони: 400тАФ 600, 600тАФ800 i 800тАФ1200 Р. У зв'язку з цим виникла необхiднiсть оцiнити наслiдки впливу радiацii на працездатне населення, сiльськоВнгосподарських тварин i посiви сiльськогосподарських культур.

Працездатне населення. Необхiдно зiбрати данi про чисельнiсть населення, яке потрапило в дозовi зони, з урахуванням його захиВнщеностi.

Потiм складають розрахункову таблицю, в яку переносять данi про чисельнiсть населення в дозових зонах та його захищенiсть, про можливi втрати людей при рiзному ступенi iх захищеностi вiд дii гамма-радiацii. Для кожВнних умов знаходження людей i дозовоi зони втрати людей розрахоВнвують у послiдовностi.

Наприклад, людей, якi потрапили в дозову зону 400тАФ600 Р без укриття (N01) було 15. РЖмовiрнiсть втрат людей (К) у цiй зонi станоВнвить 15 %. Втрати людей, якi знаходилися протягом 4 дiб у данiй дозовiй зонi на вiдкритiй мiсцевостi, дорiвнюватимуть:

Аналогiчно розраховують втрати працездатного населення в усiх iнших дозових зонах з урахуванням умов перебування людей.

Оцiнка стiйкостi до електромагнiтного iмпульсу (ЕМРЖ). З метою пiдвищення стiйкостi роботи об'iктiв необхiдно дати оцiнку стiйкостi до ЕМРЖ електрозабезпечення, засобiв зв'язку, електричних систем, радiотехнiчних засобiв i комп'ютерних систем об'iкта.

Оцiнювання стiйкостi до ЕМРЖ проводиться в такiй послiдовностi: визначаiться очiкувана ЕМРЖ-обстановка, що характеризуiться наявВннiстю ЕМРЖ-сигналiв при ядерному вибуху i параметрами: часом наВнростання i спаду електромагнiтного поля, напруженiстю полiв; виВнзначаються можливi значення токiв i напруг в елементах системи, що наведенi вiд впливу ЕМРЖ визначаiться чутливiсть апаратури i ii елеВнментiв до ЕМРЖ, тобто межовi значення наведених напруг i токiв, коли робота системи ще не порушуiться; електротехнiчна й електронна система розподiляiться на окремi дiлянки, якi аналiзуються з видiВнленням основних, вiд яких залежить робота; визначаiться коефiцiiнт безпеки кожноi дiлянки системи, а також межа стiйкостi системи в цiлому. Одержанi результати розрахункiв аналiзуються й, оцiнюютьВнся а потiм слiд зробити висновки, в яких потрiбно вiдмiтити: найбiльш уразливi дiлянки, ступiнь стiйкостi системи до впливу ЕМРЖ, якi необхiдВнно провести органiзацiйнi й iнженерно-технiчнi заходи спрямованi на пiдвищення стiйкостi уразливих окремих дiлянок i системи в цiлому.

При розробцi iнженерно-технiчних заходiв, спрямованих на пiдвиВнщення стiйкостi електротехнiчних i електронних систем, мають бути застосованi способи боротьби з наслiдками впливу ЕМРЖ або захист вiд проникнення iмпульсiв тАФ не допустити наведенi токи до чутлиВнвих вузлiв i елементiв устаткування.

Сучасний рiвень знань про природу i властивостi ЕМРЖ даi можВнливiсть розробити захист вiд нього i впровадити заходи захисту, до яких входять схеми стiйкi до електромагнiтноi iнтерференцii, радiоВнелектроннi елементи, стiйкi до ЕМРЖ, екранування окремих пристроiв або цiлих електронних систем.

Основна мета захисних пристроiв вiд ЕМРЖ тАФ не допустити навеВнденi токи до чутливих вузлiв. Найбiльш простим способом захисту i укладання обладнання повнiстю або окремих вузлiв у захиснi токопровiднi заземленi екрани i установка спецiальних захисних приВнстроiв на всiх лiнiях, трубопроводах, отворах i вiкнах, якi з'iднують внутрiшнi примiщення з обладнанням i зовнiшнiм середовищем. Ефективним буде заземлення окремих монтажних контурiв (незаВнлежно вiд заземлення екранiв), застосування скручених пар проводiв, провiдних зв'язкiв усерединi обладнання за деревовидною схемою. Для захисту провiдних лiнiй або антен доцiльно послiдовно з грозоВнвим розрядником встановлювати полосовi фiльтри.

Для захисту силового кабелю на входi в обладнання можна застоВнсувати радiочастотнi дросельнi катушки i надшвидкодiючi варистори-резистори, якi мiняють свiй опiр залежно вiд напруги.

Якщо обладнання живить постiйним током iншi прилади i вузли, тодi для захисту вiд ЕМРЖ можна встановлювати додатковi радiочасВнтотнi дросельнi катушки i пристроi, що придушують коливання пеВнрехiдних процесiв.

Антени захищати вiд ЕМРЖ можна за допомогою надшвидкодiючих газорозрядних ламп. Вони витримують у режимi передачi поВнтужнiсть до 100 Вт i захищають вiд ЕМРЖ.

Мiкрофони, зовнiшнi репроВндуктори, iнше периферiйне обВнладнання, а також лiнii, що веВндуть до них, можна захищати за допомогою фiльтрiв нижнiх частот i швидкодiючих варисВнторiв.

Оцiнюючи стiйкiсть роботи i проведення заходiв пiдвищенВння стiйкостi роботи мережi електропостачання, оповiщенВння, ЕОМ та iншого важливого устаткування в умовах надзвиВнчайних ситуацiй керiвникам i спецiалiстам необхiдно враховуВнвати можливе ураження вiд ЕМРЖ та захист вiд нього.

Оцiнка стiйкостi об'iкта проВнти впливу хiмiчних i бiологiчВнних засобiв. Оцiнюючи стiйкiсть об'iкта до впливу ОР i СДЯР неВнобхiдно визначити: тип ОР чи СДЯР, межi осередку хiмiчного зараження й ураження, площу зони зараження; глибину пошиВнрення зараженого повiтря; стiйВнкiсть хiмiчних речовин на мiсцеВнвостi; час можливого перебуванВння людей у засобах захисту оргаВннiв дихання i в захисних споруВндах; кiлькiсть заражених людей, тварин; площi; можливi втрати людей, тварин, загибель сiльськоВнгосподарських культур i лiсових насаджень.

Основним критерiiм стiйВнкостi роботи об'iкта в умовах хiмiчного зараження i втрати людей, тварин i рослин.

Оцiнку стiйкостi об'iкта до впливу бiологiчних засобiв неВнобхiдно починати з таких виВнхiдних даних: встановити вид бiологiчних засобiв, якi можуть бути загрозою для об'iкта, ступiнь небезпеки для людей, тварин; ступiнь захищеностi людей, тварин, продукцii тваринництва i росВнлинництва, води та iн. Оцiнюючи стiйкiсть об'iкта до впливу бiолоВнгiчних засобiв, необхiдно визначити вид збудника, ступiнь його неВнбезпечностi, межi зараження, можливiсть i швидкiсть поширення iнфекцiйних захворювань людей, тварин та небезпечних хвороб росВнлин; можливi втрати людей, тварин, посiвiв сiльськогосподарських культур; необхiднiсть введення карантину й обсервацii.

На основi оцiнки стiйкостi зробити висновки i розробити заходи щодо пiдвищення стiйкостi об'iкта до можливого ураження бiолоВнгiчними засобами та лiквiдацii осередку бiологiчного ураження i вiдновлення стiйкостi виробничоi дiяльностi об'iкта.


Лiтература

1. ВлЦивiльна оборонаВ» М. РЖ. Стеблик, Киiв 2006 р.

2. ВлЦивiльна оборонаВ» за редакцiiю В.С. Франчука, Львiв 2001 р.

3. Перiодичнi видання МНС Украiни 1997- 2007 р.

Вместе с этим смотрят:


Бiологiчна зброя. Ураження при вибухах


Безопасность Республики Беларусь в военной сфере


Боевая служба временного розыскного поста


Боевое применение мотострелковых подразделений, частей, соединений на БМП


Вклад М.В. Фрунзе в развитие советской военной стратегии, оперативного искусства и тактики