Золотое сечение тАУ одно из ярких проявлений гармоничности в природе
Человек различает окружающие его предметы по форме. Интерес к форме какого-либо предмета может быть продиктован жизненной необходимостью, а может быть вызван красотой формы. Форма, в основе построения которой лежат сочетание симметрии и золотого сечения, способствует наилучшему зрительному восприятию и появлению ощущения красоты и гармонии. Целое всегда состоит из частей, части разной величины находятся в определенном отношении друг к другу и к целому. Принцип золотого сечения тАУ высшее проявление структурного и функционального совершенства целого и его частей в искусстве, науке, технике и природе.
О золотом сечении знали еще в древнем Египте и Вавилоне, в Индии и Китае. Великий Пифагор создал тайную школу, где изучалась мистическая суть Влзолотого сеченияВ». Евклид применил его, создавая свою геометрию, а Фидий тАФ свои бессмертные скульптуры. Платон рассказывал, что Вселенная устроена согласно Влзолотому сечениюВ». А Аристотель нашел соответствие Влзолотого сеченияВ» этическому закону. Высшую гармонию Влзолотого сеченияВ» проповедовали Леонардо да Винчи и Микеланджело, ведь красота и Влзолотое сечениеВ» тАФ это одно и то же. Христианские мистики рисовали на стенах своих монастырей пентаграммы Влзолотого сеченияВ», таким образом, спасаясь от Дьявола. При этом ученые тАФ от Пачоли до Эйнштейна тАФ искали, но так и не нашли его точного значения. Бесконечный ряд после запятой тАФ 1,6180339887.. Странная, загадочная, необъяснимая вещь: эта божественная пропорция мистическим образом сопутствует всему живому. Неживая природа не знает, что такое Влзолотое сечениеВ». Но вы непременно увидите эту пропорцию и в изгибах морских раковин, и в форме цветов, и в облике жуков, и в красивом человеческом теле. Все живое и все красивое тАФ все подчиняется божественному закону, имя которому тАФ Влзолотое сечениеВ».
Золотое Сечение
Золотое сечение (золотая пропорция) тАФ пропорциональное деление отрезка на неравные части, при котором весь отрезок так относится к большей части, как сама большая часть относится к меньшей; или другими словами, меньший отрезок так относится к большему, как больший ко всему a : b = b : c или с : b = b : а.

Рис. 1. Геометрическое изображение золотой пропорции
Практическое знакомство с золотым сечением начинают с деления отрезка прямой в золотой пропорции с помощью циркуля и линейки.

Рис. 2. Деление отрезка прямой по золотому сечению. BC = 1/2 AB; CD = BC
Из точки В восставляется перпендикуляр, равный половине АВ. Полученная точка С соединяется линией с точкой А. На полученной линии откладывается отрезок ВС, заканчивающийся точкой D. Отрезок AD переносится на прямую АВ. Полученная при этом точка Е делит отрезок АВ в соотношении золотой пропорции.
Отрезки золотой пропорции выражаются бесконечной иррациональной дробью AE = 0,618.., если АВ принять за единицу, ВЕ = 0,382.. Для практических целей часто используют приближенные значения 0,62 и 0,38. Если отрезок АВ принять за 100 частей, то большая часть отрезка равна 62, а меньшая тАУ 38 частям.
Свойства золотого сечения описываются уравнением:
![]()
Одно из решений которого равно: ![]()
Второе решение называется основанием золотой пропорции и обозначается: φ
![]()
Число φ обладает уникальными математическими свойствами. Это единственное число, кроме нуля, удовлетворяющее рекуррентному соотношению:

В геометрии существуют различные способы построения золотой пропорции, причем характерно, что для построения достаточно взять самые простые геометрические фигуры тАУ квадрат или прямоугольный треугольник с соотношением катетов 1:2. Если с середины стороны квадрата провести окружность радиусом, равным диагонали полуквадрата, то на ее пересечении с продолженной стороной квадрата получим отрезок, который меньше стороны квадрата в соответствии с золотой пропорцией. Еще проще построение золотой пропорции в прямоугольном треугольнике 1:2:
. Достаточно провести две дуги окружности, пересекающиеся в одной точке на гипотенузе, и большой катет будет разделен в соответствии с золотой пропорцией.
Золотое сечение можно увидеть и в пентаграмме - так называли греки звездчатый многоугольник. Он служит символом Пифагорейского союза тАУ религиозной секты и научной школы по главе с Пифагором, которая проповедовала братскую любовь к друг другу, отречение от внешнего мира, общность имущества и т.д. На подобных устоях основывались очень многие секты. Но Пифагорийский союз отличало от других то, что пифагорейцы считали возможным добиться очищения духа при помощи математики. По их теории, в основу мирового порядка положены числа. Мир, считали они, состоит из противоположностей, а гармония приводит противоположности к единству. Гармония же заключается в числовых отношениях. Пифагорейцы приписывали числам различные свойства. Так, четные числа они называли женскими, нечетные (кроме 1) тАУ мужскими. Число 5 тАУ как сумма первого женского числа (2) и первого мужского (3) тАУ считалось символом любви. Отсюда такое внимание к пентаграмме, имеющей 5 углов.
Благоговейное отношение к пентаграмме было характерно и для средневековых мистиков, которые многое заимствовали у пифагорейцев. В средние века считалось, что пентаграмма служит охранным знаком от сатаны. Вспомним, например, как описывает Гете проникновение дьявола Мефистофеля в келью доктора Фауста, на которой была начертана пентаграмма. Мефистофель сначала послал черного пуделя отгрызть кончик двери с частью пентаграммы. Только после этого он смог предстать перед Фаустом.
Интересно, что стороны пентаграммы, пресекаясь, образуют правильный пятиугольник, в котором пресечение диагоналей дает нам новую пентаграмму, а в пересечении ее сторон мы снова видим правильный пятиугольник, открывающий возможность построения новой пентаграммы. И так далее до бесконечности.
Золотой прямоугольник обладает многими необычными свойствами. Отрезав от него квадрат, сторона которого равна меньшей стороне прямоугольника, мы снова получим золотой прямоугольник меньших размеров. Продолжая отрезать квадраты, мы будем получать все меньшие и меньшие золотые прямоугольники (рис.3)

Рис. 3. Золотой прямоугольник
Тем самым будет построен пример совершенного квадрируемого прямоугольника бесконечного порядка. Точки, делящие стороны прямоугольников в среднем и крайнем отношении, лежат на логарифмической спирали, закручивающейся внутрь.
Полюс спирали лежит на пересечении пунктирных диагоналей. Разумеется, Влвращающиеся квадратыВ», как их принято называть, могут не только закручивать, но и раскручивать спираль. Для этого лишь требуется строить не уменьшающиеся, а все увеличивающиеся квадраты. Логарифмическая спираль тАУ единственный тип спирали, не меняющей своей формы при увеличении размеров. Если в логарифмической спирали из центра О провести прямую, то образующиеся отрезки ОА, ОВ, ОС, ОD и т. д., полученные при пересечении прямой с витками спирали, образуют геометрическую прогрессию, то есть ОА/ОВ=ОВ/ОС=ОС/OD=тАж= m, где m тАУ постоянное число.
Отрезки радиуса, заключенного между последовательными витками спирали, также образуют прогрессию с отношением АВ/ВС=ВС/СD=тАж=n. Частным случаем спирали является такая, которая отвечает значению n, равному Ф, т. е. золотой пропорции. Такая спираль называется Влкривой гармонического возрастанияВ».
Согласно современным представлениям золотое деление тАУ это асимметричная симметрия. В науку о симметрии вошли такие понятия, как статическая и динамическая симметрия. Статическая симметрия характеризует покой, равновесие, а динамическая тАУ движение, рост. Так, в природе статическая симметрия представлена строением кристаллов, а в искусстве характеризует покой, равновесие и неподвижность. Динамическая симметрия выражает активность, характеризует движение, развитие, ритм, она тАУ свидетельство жизни. Статической симметрии свойственны равные отрезки, равные величины. Динамической симметрии свойственно увеличение отрезков или их уменьшение, и оно выражается в величинах золотого сечения возрастающего или убывающего ряда.
Числа Фобиначчи
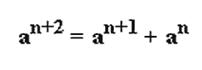
В математике хорошо известна последовательность чисел 1,1,2,3,5,8,13,21,.., называемая числами Фибоначчи (ряд Фибоначчи) и образуемая по рекуррентной формуле:

где n - натуральное число и начальные члены равны 1 и 1.
Особенность последовательности чисел состоит в том, что каждый ее член, начиная с третьего, равен сумме двух предыдущих 2 + 3 = 5; 3 + 5 = 8; 5 + 8 = 13, 8 + 13 = 21; 13 + 21 = 34 и т.д., а отношение смежных чисел ряда приближается к отношению золотого деления. Так, 21 : 34 = 0,617, а 34 : 55 = 0,618. Это отношение обозначается символом Ф. Только это отношение - 0,618 : 0,382 - дает непрерывное деление отрезка прямой в золотой пропорции, увеличение его или уменьшение до бесконечности, когда меньший отрезок так относится к большему, как больший ко всему.
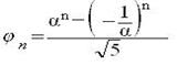
Ярким примером проявления чисел Фибоначчи в живой природе является филлотаксис Французский математик Бине показал, как связаны числа Фибоначчи и основание золотой пропорции:

Эта формула интересна тем, что справа находятся иррациональные числа α и
, а слева всегда целое. Нужно отметить асимметричность знаменателя правой части формулы 5. Из последней формулы легко получить следующее соотношение :

которое вместе с формулами показывает глубокую связь между числами Фибоначчи и основанием золотой пропорции. В этих можно заметить почти ВлмистическоеВ» присутствие числа 5.
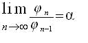
Если в рекурсивной последовательности, образуемой по формуле 4, задать произвольные начальные члены, то предел отношения двух соседних членов этого ряда все равно будет стремиться к α (формула 6). Даже некоторое количество арифметических ошибок в вычислении φi при 1
Основание золотой пропорции является инвариантом рекурсивных соотношений 4 и 6. В этом проявляется ВлустойчивостьВ» золотого сечения, одного из принципов организации живой материи.
Так же, основание золотой пропорции является решением двух экзотических рекурсивных последовательностей (рис 4.)
|
|
Вместе с этим смотрят:
Анатомическое строение растений
Анатомия и физиология заднего мозга. Строение и механизм кровообращения
Анатомо-физологические механизмы безопасности и защиты человека от негативного воздействия
Бiологiчне рiзноманiття людських рас
