Управление конкурентоспособностью продукции на предприятии (на примере ООО "Мясокомбинат Бугульминский")

1. Теоретические основы конкурентоспособности продукции

1.1 Понятие и содержание конкурентоспособности продукции

1.2 Показатели конкурентоспособности продукции и методы их оценки

1.3 Оценка конкурентоспособности продукции

2. Современное состояние управления конкурентоспособностью продукции ООО "Мясокомбинат "Бугульминский"

2.1 Общая характеристика ООО "Мясокомбинат Бугульминский"

2.2 Анализ системы управления на предприятии

2.3 Исследование управления конкурентоспособности ООО "Мясокомбинат Бугульминский"

3. Основные направления повышения конкурентоспособности продукции ООО "Мясокомбинат Бугульминский"

3.1 Разработка положения по работе отдела сбыта и отдела маркетинга

3.2 Оценка социальной и экономической эффективности от внедрения рекомендаций и предложений

Выводы и предложения

Список использованной литературы

Приложения


Введение

Рыночная деятельность фирмы немыслима без участия в конкурентной борьбе. Конкуренция является механизмом соперничества, состязательности участников рынка за право поиска своего покупателя, за возможность продажи товара на наиболее выгодных условиях, захвата определенной доли рынка и получении соответствующей прибыли. Она побуждает товаропроизводителя совершенствовать и обновлять свою продукцию, повышать ее качество, то есть делать ее конкурентоспособной.

Конкурентоспособность тАУ это свойство продукции (товара) выступать на рынке наравне с присутствующими там аналогичными товарами. Она имеет три степени оценки: высокую, среднюю, низкую.

Для конкурентоспособности потребительских товаров характерен рыночный успех на конкретном рынке в условиях конкурентной борьбы за определенный период времени. Это означает, что по своим совокупным характеристикам такие товары способны выдерживать конкуренцию аналогов:

- функциональную (наиболее приемлемым способом удовлетворять потребность пользователей и формировать у них новые потребности);

- предметную (быть лучшими среди хороших, выделяться важными параметрами потребительских свойств);

- видовую (иметь лучший дизайн).

Главными составляющими конкурентоспособности продукции (товара) служат следующие характеристики: технические (классификационные, нормативные, конструктивные, эргономические, экологические, эстетические), экономические (стоимость, расходы по доставке и вводу в эксплуатацию, энерго- и ресурсоемкость) и организационные (система скидок, гарантий, уровень сервиса).

В самом общем виде конкурентоспособность может быть представлена в следующем виде:

- технический уровень товара;

- уровень маркетинга и рекламно-информационного обеспечения;

- соответствие требованиям потребителя, техническим условиям и стандартам:

- организация сервиса, авторского надзора, гарантийного обеспечения, обучение персонала приобретающей стороны;

- срок поставки (разработки, создания, продажи), сроки гарантий;

- цена, условия платежей;

- актуальность (своевременность) появления данного товара на конкурентном рынке.

Конкурентоспособность продукции (товара) может проявиться лишь при условии формирования конкурентной среды, т.е. рынка, на котором независимые фирмы-продавцы свободно соперничают за право продавать свой товар независимому покупателю.

Среди обилия коммерческих структур в каждом сегменте рынка, потребитель сегодня ищет, как правило, не столько фирму с минимальными ценами, сколько надежную, зарекомендовавшую себя с хорошей стороны организацию, способную предложить качественный товар на выгодных условиях. В связи с этим исключительно важным становится поддержание доброго имени компании, что достигается, в первую очередь, созданием и развитием конкурентных преимуществ над соперниками на рынке по различным областям деятельности.

Чтобы выжить в динамически развивающемся рынке, необходимо развиваться и самой фирме. То, что хорошо сегодня, не обязательно будет достаточно завтра, видение перспектив и направлений развития, умение предугадать шаги конкурентов и правильно выбрать направления своих превентивных и ответных шагов, вот, далеко не полный перечень моментов требующих постоянного внимания грамотного руководителя.

Само понятие конкуренция означает динамичный и непрерывно возобновляемый процесс соперничества. Поэтому актуальность темы управление конкурентоспособностью продукции трудно переоценить.

Данная работа охватывает широкий спектр проблем, связанных с перечисленными выше составляющими конкурентоспособности продукции.

Тема конкурентоспособность является достаточно разработанной как в зарубежной, так и в отечественной литературе. В научную литературу термин "конкуренция" вошел благодаря работам тАУ Адама Смита. Впоследствии над развитием теории конкуренции работали также Д.Рикардо, Дж.Робинсон, А. Маршал, М.Портер и др. Среди российских ученых свой вклад внесли тАУ В.Леонтьев, Г.Л.Азоев, Р.А.Фатхутдинов и др.

Практическое значение работы определяется возможностью использования ее результатов при управлении конкурентоспособностью продукции.

Объектом исследования является ООО "Мясокомбинат Бугульминский".

Предметом исследования выступает система и процесс управления конкурентоспособностью продукции на предприятии.

Методологической основой послужили теории и концепции, традиционные как для современной западной, так и для отечественной управленческой науки.

В работе были использованы фактические материалы, опубликованные в научной литературе и периодической печати, а также материалы, собранные автором на ООО "Мясокомбинат Бугульминский".

Целью настоящей работы является изучение управление конкурентоспособностью продукции и определение направлений ее совершенствования.

Для достижения указанной цели необходимо решить ряд задач:

- дать общую характеристику предприятия;

- проанализировать систему управления в организации;

- провести исследование конкурентоспособности продукции;

- разработать положения по работе отдела маркетинга и отдела сбыта;

- оценить социальную и экономическую эффективность от внедрения предложений и рекомендаций.

Работа состоит из трех глав, выводов и предложений, списка использованной литературы и приложения.

Первая глава посвящена теоретическим основам конкурентоспособности продукции.

Во второй главе работы дается общая характеристика деятельности ООО "Мясокомбинат Бугульминский", исследуется конкурентоспособность продукции данного предприятия.

В третьей главе автор предлагает основные направления совершенствования управления конкурентоспособностью продукции исследуемого предприятия. Дается оценка экономической и социальной эффективности от внедрения предложений и рекомендаций.

Общий объем дипломной работы 78 страниц.


1. Теоретические основы конкурентоспособности продукции

1.1 Понятие и содержание конкурентоспособности продукции

Конкуренция - это процесс управления субъектом своими конкурентными преимуществами для одержания победы или достижения других целей в борьбе с конкурентами за удовлетворение объективных и субъективных потребностей в рамках законодательства либо в естественных условиях.

Как было доказано многими экономистами, конкуренция является движущей силой развития общества, главным инструментом экономии ресурсов (например, в Японии ресурсы используются в целом в три раза эффективнее, чем в России), повышения качества товаров и уровня жизни населения. Поэтому конкуренция - очень сложное понятие. Особенно важно изучить ее механизм в условиях российской экономики, только начинающей осваивать этот механизм [21. С. 74].

Сущность конкурентоспособности организации тАУ совокупность трудового и научно-производственного потенциала организации, способного создавать и производить продукцию определённого уровня конкурентоспособности.

Конкурентоспособность организации по структуре и содержанию представлена как взаимообусловленное единство двух составляющих: конкурентоспособности продукции и ресурсного потенциала организации.

Управление конкурентоспособностью организации представляет собой область знаний и профессиональной деятельности, направленных на формирование и обеспечение достижения целей по повышению конкурентоспособности организации.

Сложность и многоаспектность, а так же разрозненность качественных характеристик конкурентоспособности в существующих определениях требуют уточнения понятия конкурентоспособности.

Конкурентоспособность товара тАУ это совокупность потребительских и экономических характеристик товара, обеспечивающих прибыльность производства и удовлетворение конкретной потребности покупателя в конкурентных условиях [6. С. 34] .

Конкурентоспособность отдельного товара рассматривается с точки зрения потребителя и производителя. Покупателя на конкурентном рынке интересует совокупность потребительских и стоимостных характеристик товара только с точки зрения эффективности потребления, а производителя, кроме того, тАУ эффективность производства. На основании указанного обстоятельства и с целью объективной оценки вводится двойное понятие о конкурентоспособности товара:

Вн конкурентоспособность товара по потреблению тАУ это совокупность потребительских и стоимостных характеристик товара в сфере потребления относительно аналогичных характеристик товаров-конкурентов;

Вн конкурентоспособность товара по потреблению и производству тАУ это совокупность потребительских и экономических характеристик товара в сферах потребления и производства относительно аналогичных характеристик товаров-конкурентов.

Для определения цены потребления в зависимости от потребительских характеристик вводится понятие конкурентоспособности товара по ценообразованию.

Конкурентоспособность товара по ценообразованию тАУ это совокупность потребительских характеристик товара в сфере потребления относительно аналогичных характеристик товаров-конкурентов.

С целью всесторонней, комплексной и количественной оценки уровня и динамики повышения конкурентоспособности организации требуется уточнить понятия конкурентоспособности продукции.

Конкурентоспособность продукции по потреблению тАУ это средневзвешенный показатель конкурентоспособности выпускаемых товаров, оцененных по потребительским и стоимостным параметрам относительно товаров тАУ конкурентов.

Конкурентоспособность продукции по потреблению и производству тАУ это средневзвешенный показатель конкурентоспособности выпускаемых товаров, оцененных по потребительским и экономическим параметрам относительно товаров тАУ конкурентов.

Интегральный показатель конкурентоспособности товара определяется на базе групповых параметров или показателей и характеризует конкурентоспособность изделия по определённой совокупности технико-экономических параметров относительно аналогичных параметров конкурирующих товаров.

С целью более объективной оценки конкурентоспособности товара и продукции предлагается производить её средневзвешенными интегральными показателями конкурентоспособности:

- средневзвешенный интегральный показатель конкурентоспособности товара - это интегральные показатели конкурентности товара по определённой совокупности параметров, взвешенные относительно нескольких конкурирующих товаров;

- средневзвешенный интегральный показатель конкурентоспособности продукции - это средневзвешенные интегральные показатели конкурентности товаров по определённой совокупности параметров, взвешенные относительно выпускаемых товаров предприятия [52. С. 74].

К факторам конкурентоспособности можно отнести: качество товара и его соответствие спросу; экологическую чистоту; себестоимость и цену; дизайн и рекламные мероприятия; формы продвижения товара и обслуживания потребителей. Качество товара зависит от набора потребительских параметров, т.е. признаков, характеризующих важнейшие потребительские функции товара, его свойства, удовлетворяющие какие-либо потребности потенциальных покупателей.

При изучении конкурентоспособности продукции необходимо выбрать атрибуты, на основе изучения которых проводится сравнение. Понятие "атрибут" включает характеристики продукта и выгоды потребителей. При традиционной оценке конкурентоспособности обычно считают, что связь между результирующим показателем конкурентоспособности и факторными является функциональной.

Факторы, определяющие предпочтение, необходимо выявлять в каждом случае. Они определяются в зависимости от особенностей продукции.

Различают жесткие потребительские параметры, которые соответствуют строго регламентируемым стандартами конструктивным и технологическим признакам, его потребительским свойствам и функциям, а также мягкие потребительские параметры, отражающие эстетические психологические свойства товара.

Обычно на рынке представлено большое количество различных видов товаров. Комплекс товаров одного и того же потребительского назначения, но с разными потребительскими параметрами, например мощностью, производительностью, уровнем потребляемой энергии, внешним оформлением и т.д., образует параметрический ряд.Его размах (число подобных товаров) обусловлен многими причинами, в частности конкуренцией. Место каждого такого товара в параметрическом ряду характеризуется параметрическим индексом. Он представляет собой процентное отношение фактического потребительского параметра к эталонной величине, определяемой экспертным путем и опросами [9. С. 133].

Совокупность множества относительных параметров, характеристик и показателей, участвующих в определении единичных, групповых и интегральных показателей конкурентоспособности продукции, объективно отражает конкурентность работы организации. Стратегия конкурентоспособности продукции и организации осуществляется позиции интегральной оценки результативности системы. Отсюда возникает необходимость содержательного и количественного технико-экономического обоснования параметров, характеристик и показателей, которые присутствуют в интегральных показателях конкурентоспособности продукции по потреблению и производству.

По своей сути конкурентоспособность продукции тАФ это ее оценка потребителем. Свойство это зависит не только от самого продукта, но в значительной мере от продуктов-конкурентов, на фоне которых потребитель и дает свою оценку конкурентоспособности именно данного образца, а точность этой оценки подтверждает фактом траты денег на покупку.

1.2 Показатели конкурентоспособности продукции и методы их оценки

Одной из основных проблем конкурентоспособности товара является получение ее числовой оценки. Для эффективного управления системой качества на предприятии необходимо располагать как системой показателей, так и способами их расчета. Важная роль при оценке конкурентоспособности товара принадлежит технико-экономическим показателям.

Технические показателихарактеризуют технический уровень продукции, ее свойства, определяющие основные области применения, и функции, которые продукция должна выполнять в процессе потребления. К ним относятся показатели: назначения, надежности и долговечности, технологичности, эргономические, экологические и др.

Показатели назначенияпродукции характеризуют технические свойства изделия, обеспечивающие возможность его использования в соответствии с условиями эксплуатации. К ним относятся: показатели состава и структуры продукции, размеров, веса, используемые для непосредственного сравнения продукции.

Показатели эргономические характеризуют продукцию с точки зрения ее соответствия свойствам и особенностям человеческого организма. К таким показателям относятся: гигиеничность (освещенность, токсичность, уровень шума, вибрации, запыленности); антропометрические (соответствие размерам и форме человеческого тела); физиологические, психологические и др. Обычно значения таких показателей определяются национальным законодательством или международными нормами.

Показатели эстетические характеризуют внешнюю форму продукции - ее привлекательность, информационную выразительность, рациональность формы, целостность композиции, совершенство производственного исполнения, эмоциональное воздействие на конкретного покупателя.

Показатели экологическиехарактеризуют соответствие требованиям по защите окружающей среды, определяемым стандартами, нормами и правилами, установленными национальными и международными организациями в области охраны окружающей среды. При несоблюдении этих показателей продукция теряет полностью свою конкурентоспособность.

Экономические показателидают стоимостную оценку затрат покупателя (условия и сроки поставки, виды и способы расчетов с покупателями и др.). Эти затраты называют ценой потребления продукции [22. С. 23] .

Оценка показателей конкурентоспособности продукции проводятся в сравнении с аналогичной или взятой за эталон. А окончательное решение по выбору номенклатуры показателей, используемых при оценке конкурентоспособности продукции, принимается экспертной комиссией с учетом конкретных условий использования этой продукции и целей оценки.

Сущность метода экспертных оценок заключается в проведении экспертами интуитивно-логического анализа проблемы с количественной оценки суждений и формальной обработки результатов. Получаемо в результате обобщенное мнение экспертов принимается как решение проблемы.

Оценить конкурентоспособность продукции также можно на основе анализа его полезного эффекта. Полезный эффект тАУ это отдача объекта, интегральный показатель как система используемых в конкретных условиях частных показателей качества объекта, удовлетворяющих конкретную потребность. Эффективность объекта рассчитывается по формуле:

,(1)

где Пс тАУ полезный срок эффекта за нормативный срок его службы в условиях конкретного рынка, единица полезного эффекта.

Зс тАУ совокупные затраты за жизненный цикл объекта в условиях конкретного рынка, денежная оценка.

По своей сути эта формула представляет собой показатель "качество-цена", который условно отражает количество качества на единицу цены.

Недостатком этого метода является игнорирование предельных уровней качества и цены, а также применение только для однопараметрических объектов.

"По системе 11111-55555", без учета весомости факторов, конкурентоспособность продукции определяется как сумма баллов по каждому фактору. Эксперт (один или группа) назначает оценку фактора от 1 (минимум, наихудшее значение фактора) до 5 (наилучшее значение). Так, продукция низкого качества, предлагаемая по весьма высокой цене, имеющая к тому же низкое качество и высокие эксплуатационные затраты, будет иметь оценки 1-2 балла и его конкурентоспособность может быть допустим, 1211. По этой системе минимальное значение конкурентоспособности будет равно 5 (1+1+1+1+1), максимальное тАУ 25 (5+5+5+5+5). Оцениваемая продукция имеет конкурентоспособность, равную 6 из 25, т.е. в 4 раза отстает от лучших образцов.

Для получения интегральной оценки конкурентных преимуществ продукции используется формула:


КПт = ,(2)

где КПт тАУ конкурентных преимуществ конкретной продукции;

i = 1,2,тАж., n тАУ номер конкурентного преимущества конкретной продукции;

j = 1,2,тАж., m тАУ номер фактора i-го конкурентного преимущества продукции;

- весомость i-го конкурентного преимущества; ;

Ва= весомость j-го фактора i-го конкурентного преимущества; ;

ПiтАУ относительное или нормативное значение i-го конкурентного преимущества;

ФijтАУ относительное или нормативное значение i-го фактора j-го конкурентного преимущества.

Интегральный показатель конкурентных преимуществ продукции характеризует его потенциальную конкурентоспособность

Обычно на рынке представлено большое количество различных видов товаров. Комплекс товаров одного и того же потребительского назначения, но с разными потребительскими параметрами, например мощностью, производительностью, уровнем потребляемой энергии, внешним оформлением и т.д., образует параметрический ряд.Его размах (число подобных товаров) обусловлен многими причинами, в частности конкуренцией. Место каждого такого товара в параметрическом ряду характеризуется параметрическим индексом. Он представляет собой процентное отношение фактического потребительского параметра к эталонной величине, определяемой экспертным путем и опросами. Жесткие параметрические индексы строятся на основе объективных технико-экономических показателей, сравниваемых с нормативами или стандартами, а мягкие индексы базируются на экспертных квалиметрическихмоделях.

КвалиметриятАФ наука, объединяющая методы количественной оценки качества чего-либо (кого-либо).

Обобщающую характеристику конкурентоспособности продукции (Iкст) можно получить с помощью интегрального индекса. Он показывает, как соотносятся между собой параметрические индексы сравниваемых товаров.

Если по данному товару Iкст > 1, то он считается конкурентоспособным.

Этот метод оценки конкурентоспособности продукции имеет как достоинства, так и недостатки. Достоинство его заключаются в следующем. Метод дает четкое разграничение потребительских параметров, последовательность их оценки, а также критерий, на основе которого можно сформулировать однозначный вывод: конкурентоспособна продукция или нет. Что касается недостатков, то, во-первых; появляются сомнения относительно применения большого числа экспертных оценок, которым свойственна известная субъективность. Возникает проблема, связанная с определением достоверных коэффициентов важности (весов) факторов, учитываемых при расчете сводных параметрического индекса и индекса экономических параметров. Во-вторых, если в расчетах используются потребительские и экономические параметры (факторы) только по одному изделию, (пусть даже типовому), то интегральный индекс конкурентоспособности продукции будет иметь частное значение [39. С. 265].

Наибольшее практическое значение имеют количественные параметры. Так, по результатам конкурентной борьбы за рынок сбыта конкурентоспособность продукции предприятия может быть определена отношением занимаемых долей рынка.

Ксп1/2 = , (3)


где Ксп1/2 тАУ конкурентоспособность продукции первого предприятия относительно продукции второго предприятия;

V1 и V2 тАУ соответственно доли продукции первого и второго предприятий.

Если продукция одного предприятия занимает 20% целевого рынка, а другого тАФ 10%, то это означает, что продукция первого предприятия в два раза конкурентоспособнее продукции второго предприятия. Измерение возможно как в натуральных, так и в стоимостных показателях, которые более точны при дифференциации цен и качества продукции [17. С. 303].

Идеальный вариант тАФ это когда доля рынка равна 100%, конкурентоспособность продукции предприятия абсолютная, конкурентов нет. Наихудший вариант, когда доля рынка равна 0%. В этом случае продукция предприятия оказывается ненужной покупателю, а конкурентоспособность продукции предприятия равна нулю.

Промежуточный вариант тАФ рынок поделен поровну между первым и вторым предприятиями, конкурентоспособность продукции одинакова и равна единице (относительно друг друга). Обратным доле рынка показателем является вероятность покупки.

Например, пусть два аналогичных вида продукции, производимых разными предприятиями, продаются по одинаковой цене (массовое производство). Они идентичны по качеству, а влияние других факторов сведено к нулю. В этом случае рынок распределится равнозначно 50/50, конкурентоспособность продукции первого и второго предприятий одинакова, как и вероятность покупки. В частности из двух покупок при общем достаточно большом их числе одна придется на продукцию первого предприятия, другая тАФ на продукцию второго. Объем рынка может быть измерен в натуральных показателях. Однако для обеспечения сопоставимости (например, при разных ценах на продукцию) необходимо использовать стоимостные показатели [5. С. 166]

Итак, конкурентоспособность продукциипредприятия может быть определена в стоимостных показателях в виде отношения занимаемых долей рынка, а также как вероятность покупки продукции. Использование стоимостных показателей составляет базу для планирования и контроля, т.е. управления ростом конкурентоспособности продукции предприятия. Таким образом:

1)единственным экспертом в части оценки конкурентоспособности продукции является покупатель, для которого эта продукция и производится.

2)При оценке конкурентоспособности в расчет может приниматься только сопоставимая продукция, причем даже не на товарных рынках, а на целевых сегментах товарных рынков; оценивать конкурентоспособность предприятия агрегированием показателей его продукции не всегда целесообразно;

3)Чем выше уровень конкурентоспособности продукции предприятия, тем выше вероятность ее продажи и завоевания большей доли целевого рынка;

4) Справедливо и обратное утверждение: чем большая доля целевого рынка завоевана предприятием, тем выше уровень конкурентоспособность его продукции [29. С. 87].

Таким образом, предлагаемый метод оценки конкурентоспособности продукции по завоеванной предприятием доле целевого рынка прост, достаточно объективен и информативен. Он позволяет формировать реальную картину конкурентоспособности продукции предприятия и управлять ею. На основе получаемой информации предприятия могут достаточно достоверно планировать объемы продаж своей продукции на перспективу.


1.3 Оценка конкурентоспособности продукции

Конкурентоспособность продукции - решающий фактор его коммерческого успеха на развитом конкурентном рынке. Это многоаспектное понятие, означающее соответствие товара условиям рынка, конкретным требованиям потребителей не только по своим качественным, техническим, экономическим, эстетическим характеристикам, но и по коммерческим и иным условиям его реализации (цена, сроки поставки, каналы сбыта, сервис, реклама). Более того, важной составной частью конкурентоспособности продукции является уровень затрат потребителя за время эксплуатации. Иначе говоря, под конкурентоспособностью понимается комплекс потребительских и стоимостных (ценовых) характеристик продукции, определяющих его успех на рынке, т.е. преимущество именно этой продукции над другими в условиях широкого предложения конкурирующих товаров аналогов. И поскольку за товарами стоят их изготовители, то можно с полным основанием говорить о конкурентоспособности соответствующих предприятий, объединений, фирм, равно как и стран, в которых они базируются. Любая продукция, находящийся на рынке, фактически проходит там проверку на степень удовлетворения общественных потребностей: каждый покупатель приобретает ту продукцию, которая максимально удовлетворяет его личные потребности, а вся совокупность покупателей ту продукцию, которая наиболее полно соответствует общественным потребностям, нежели конкурирующая с ним продукция.

Поэтому конкурентоспособность (т.е. возможность коммерчески выгодного сбыта на конкурентном рынке) продукции можно определить, только сравнивая продукцию конкурентов между собой. Иными словами, конкурентоспособность понятие относительное, чётко привязанное к конкретному рынку и времени продажи. И поскольку у каждого покупателя имеется свой индивидуальный критерий оценки удовлетворения собственных потребностей, конкурентоспособность приобретает ещё и индивидуальный оттенок [48. С. 55-56].

Наконец, конкурентоспособность определяется только теми свойствами, которые представляют заметный интерес для покупателя (и, естественно, гарантируют удовлетворение данной потребности). Все характеристики изделия, выходящие за рамки этих интересов, рассматриваются при оценки конкурентоспособности как не имеющие к ней отношения в данных конкретных условиях. Превышение норм, стандартов и правил (если только оно не вызвано предстоящим повышением государственных и иных требований) не только не улучшает конкурентоспособность изделия, но, напротив, нередко снижает её, поскольку ведёт к росту цены, не увеличивая с точки зрения покупателя потребительской ценности, в силу чего представляется ему бесполезным. Изучение конкурентоспособности продукции должно вестись непрерывно и систематически, в тесной привязке к фазам его жизненного цикла, чтобы своевременно улавливать момент начала снижения показателя конкурентоспособности и принять соответствующие решения (например, снять изделие с производства, модернизировать его, перевести на другой сектор рынка). При этом исходя из того, что выпуск предприятием нового продукта прежде чем старый исчерпал возможности поддержания своей конкурентоспособности, обычно экономически нецелесообразен.

Вместе с тем любая продукция после выхода на рынок начинает постепенно расходовать свой потенциал конкурентоспособности. Такой процесс можно замедлить и даже временно задержать, но остановить невозможно. Поэтому новое изделие проектируется по графику, обеспечивающему его выход на рынок к моменту значительной потери конкурентоспособности прежним изделием. Иначе говоря, конкурентоспособность новой продукции должна быть опережающей и достаточно долговременной.

Обеспечение конкурентоспособности продукции на требуемом уровне предполагает необходимость её количественной оценки. Без такой оценки конкурентоспособности все предусматриваемые предприятием меры по поддержанию продукции (товара, услуги) на должном уровне останутся благим пожеланием. Отправной момент оценки конкурентоспособности любой продукции формирование цели исследования [12. С. 118].

Анализ конкурентоспособности начинается с оценки нормативных параметров. Если хотя бы один из них не соответствует уровню, который предписан действующими нормами и стандартами, то дальнейшая оценка конкурентоспособности продукции нецелесообразна, независимо от результата сравнения по другим параметрам. В то же время, превышение норм и стандартов и законодательства не может рассматриваться как преимущество продукции, поскольку с точки зрения потребителя оно часто является бесполезным и потребительской стоимости не увеличивает. Исключения могут составить случаи, когда покупатель заинтересован в некотором превышении действующих норм и стандартов в расчете на ужесточение их в будущем.

Если необходимо определить положение данной продукции на ряду аналогичных, то достаточно провести их прямое сравнение по главным параметрам. При исследовании, ориентированном на оценку перспектив сбыта товара на конкретном рынке, анализ предполагает использование информации, включающей сведения об изделиях, которые выйдут на рынок, динамику спроса, предполагаемые изменения в соответствующем законодательстве и др. Однако, независимо от целей исследования, основой для оценки конкурентоспособности является изучение рыночных условий. После выбора продуктов (товаров, услуг), по которым будет проводиться анализ, на основе изучения рынка и требований покупателей определяется номенклатура параметров участвующих в оценке. При анализе должны использоваться те же категории, которыми оперирует потребитель, выбирая продукцию. По группам параметров (технических и экономических) проводятся сравнения для выяснения, насколько параметры близки к соответствующему параметру потребности.

Номенклатура параметров, используемых при оценке конкурентоспособности, включает две обобщающие группы:

- параметров качества (технических);

- экономических параметров.

К группе технических относятся параметры потребности, которые характеризуют содержание этой потребности и условия ее удовлетворения. К ним относятся:

- параметры назначения;

- эргономические параметры;

- эстетические параметры;

- нормативные параметры.

К группе экономических параметров относятся полные затраты потребителя (цена потребления) по приобретению и потреблению продукции, а также условиями ее приобретения и использования на конкретном рынке. Полные затраты потребителя в общем случае включают единовременные и текущие затраты

Окончательное решение по выбору номенклатуры параметров, используемых при оценке конкурентоспособности продукции, принимается экспертной комиссией с учетом конкретных условий использования этой продукции и целей оценки [22. С. 303].

Среди наиболее часто используемых методов оценки конкурентоспособности продукции является метод расчета единичных и групповых показателей. В основе данного тАУ традиционного метода лежит расчет единичных и групповых показателей, на базе которых определяется интегральный показатель конкурентоспособности. Рассмотрим его более подробно [9. С. 234].

На первом этапе выбирается база сравнения. В качестве базы для сравнения может служить лучший из уже существующих на целевом рынке или в мире товаров-конкурентов, или более совершенный образец, появление которого ожидается в ближайшем будущем, или некоторый абстрактный эталон. Если разбить товары на три группы, а именно:

- имеющие аналоги и уже выведенные на рынок;

- имеющие аналоги и находящиеся на стадии разработки;

- не имеющие аналогов,

то получаем, что первый вариант базы сравнения лучше использовать для первой группы, второй тАФ для группы 2, третий тАФ для группы 3.

На втором этапе выделяются наиболее значимые для потребителя критерии. Они делятся на две группы: потребительские и экономические. Первые включают в себя качественные характеристики товара (производительность, габариты, экологическая безопасность, надежность и т.д.), вторые - цену товара, затраты на транспортировку, монтаж и эксплуатацию, что в целом составляет цену потребления. Значение критерия у базисной модели обозначим РБ, а у сравниваемого образца - Рi.

На третьем этапе по каждому критерию рассчитывается единичный показатель конкурентоспособности (qi).

qi = (4)

На четвертом этапе внутри каждой группы критериев производят ранжирование показателей по степени их значимости для потребителя и в соответствии с этим присваивают им вес: ani - для потребительских и аэi- для экономических показателей. Причем

Ва(5)


где n и m тАФ количество потребительских и экономических параметров соответственно.

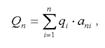
На пятом этапе проводится расчет группового показателя как сводного параметрического индекса конкурентоспособности:

Ва(6)

где Qn и Qэ - сводные параметрические индексы конкурентоспособности по потребительским и экономическим свойствам соответственно.

На шестом этапе рассчитывается интегральный показатель конкурентоспособности (К):

(7)

В результате оценки конкурентоспособности продукции могут быть приняты следующие решения:

- изменение состава, структуры применяемых материалов (сырья, полуфабрикатов), комплектующих изделий или конструкции продукции;

- изменение порядка проектирования продукции;

- изменение технологии изготовления продукции, методов испытаний, системы контроля качества изготовления, хранения, упаковки, транспортировки, монтажа;

- изменение цен на продукцию, цен на услуги, по обсл

Вместе с этим смотрят:


Advertising in the trade market


PR в банковской системе


PR как технология эффективного управления фирмой


PR-анализ фирмы


PR-кампании: понятие, организация, проведение